모두CBT | 국가고시 실기시험 부시기!

18년 2회.. 해설 페이지

18년 2회..

    1

    18년 2회..

    다음의 소화약제 중 오존 파괴 지수(ODP)가 가장 큰 것은

    할론 1301

    1. 할론약제 중 소화효과가 가장 좋다

    2. 할론약제 중 독성이 가장 약하다

    3. 할론약제 중 오존파괴지수가 가장 높다

    2

    18년 2회..

    자연발화 방지대책에 대한 설명 중 틀린 것은

    3

    18년 2회..

    건축물의 화재발생 시 인간의 피난 특성으로 틀린 것은

    4

    18년 2회..

    건축물에 설치하는 방화구획의 설치기준 중 스프링클러설비를 설치한 11층 이상의 층은 바닥면적 몇 m2 이내마다 방화구획을 하여야 하는가? (단, 벽 및 반자의 실내에 접히는 부분의 마감은 불연재료가 아닌 경우이다

    5

    18년 2회..

    인화점이 낮은 것부터 높은 순서로 옳게 나열된 것은

    이황화탄소 -30°C

    아세톤 -18°C

    애틸알코올 13°C

    6

    18년 2회..

    분말소화약제로서 ABC급 화재에 적응성이 있는 소화약제의 종류는?

    7

    18년 2회..

    조연성 가스에 해당되는 것은?

    8

    18년 2회..

    액화석유가스(LPG)에 대한 성질로 틀린 것은

    LPG는 공기보다 무거움

    9

    18년 2회..

    과산화칼륨이 물과 접촉하였을 때 발생하는 것은

    10

    18년 2회..

    제2류 위험물에 해당되는 것은?

    제 2류 위험물 - 가연성고체

    황화린, 적린, 유황, 철분, 금속분, 마그네슘, 인화성 고체

    11

    18년 2회..

    물리적 폭발에 해당되는 것은

    12

    18년 2회..

    산림화재 시 소화효과를 증대시키기 위해 물에 첨가하는 증점제로서 적합한 것은

    13

    18년 2회..

    물과 반응하여 가연성 기체를 발생하지 않는 것은

    분진폭발을 일으키지 않는 물질

    =물과 반응하여 가연성 기체를 발생하지 않는 것

    - 시멘트

    - 석회석

    - 탄산칼슘(CaCO3)

    - 생석회(CaO) = 산화칼슘

    14

    18년 2회..

    피난계획의 일반원칙 중 Fool Proof 원칙에 대한 설명으로 옳은 것은

    15

    18년 2회..

    물체의 표면온도가 250℃에서 650℃로 상승하면 열 복사량은 약 몇 배 정도 상승하는가?

    스테판ㆍ볼츠만의 법칙    (273+650)^4

                          -----------  =  9.7

                          (273+250)^4

    16

    18년 2회..

    화재발생 시 발생하는 연기에 대한 설명으로 틀린 것은

    17

    18년 2회..

    소화방법 중 제거소화에 해당되지 않는 것은

    2.질식소화

    18

    18년 2회..

    주수소화 시 가연물에 따라 발생하는 가연성 가스의 연결이 틀린 것은

    Al4C3 + 12H2O → 4Al(OH)3 + 3CH4

    (틴화알루미늄)+(물) → (수산화알루미늄)+(메탄)

    19

    18년 2회..

    포소화약제의 적응성이 있는 것은

    20

    18년 2회..

    위험물안전관리법령상 지정된 동식물유류의 성질에 대한 설명으로 틀린 것은?

    요오드값 : 100g 유지가 흡수할수있는 요오드양

    요오드값이 높을 수록 인화성이 높아짐

    21

    18년 2회..

    다음 그림과 같은 브리지 회로의 평형조건은

    문제이미지

    마주보는 저항의 곱은 서로 같다. 이 개념만 가지고 그냥 넘어가세요.

    22

    18년 2회..

    R-C 직렬 회로에서 저항 R을 고정시키고 XC를 0에서 ∞까지 변화시킬 때 어드미턴스 궤적은

    임피던스 궤적 : rl직 rc직 rl병 rc병 - 직직원원 - 1414

    어드미턴스 : 원원직직 - 4141

    23

    18년 2회..

    비투자율 μs = 500, 평균 자호의 길이 1m의 환상 철심 자기회로에 2mm 의 공극을 내면 전체의 자기저항은 공극이 없을 때의 약 몇 배가 되는가

    자기저항(Rm) = L/(μS) = 자호의 길이 / (투자율*철심의 단면적)

    공극이 있는 경우 진공의 투자율로 계산 필요

    Rm' = L/μS + Lg(공극의 길이)/(μo S)

    Rm'/Rm =  1 + L/Lg * μo/μ= 1 + (1000/2) * (1/500) = 2

    24

    18년 2회..

    1개의 용량이 25W인 객석유도등 10개가 연결되어 있다. 이 회로에 흐르는 전류는 약 몇 A 인가?

    1.소비전력 = 25W * 10 = 250W

    2.250W/220V = 1.136363636........

    따라서 답은 1.14

    25

    18년 2회..

    분류기를 써서 배분을 9로 하기 위한 분류기의 저항은 전류계 내부저항의 몇 배인가

    26

    18년 2회..

    R-L 직렬 회로의 설명으로 옳은 것은?

    문제이미지

    R-L 직렬회로의 설명

    1. v,i는 같은 주파수를 가지는 정현파이다.

    2. v,i의 최대값과 실효값의 비는 루트(R제곱+XL제곱)이다.

    4. RL 직렬회로는 유도성 회로이다. (용량성 회로는 RC 회로)

    27

    18년 2회..


    두 개의 코일 L1과 L2를 동일방향으로 직렬 접속하였을 때 합성인덕턴스가 140mH이고, 반대방향으로 접속 하였더니 합성 인덕턴스가 20mH이었다. 이때, L1 = 40mH이면 결합계수 K는

    가동결합L = L1+L2+2M = 140 = 40+L2+2M ---- ①

    차동결합L = L1+L2-2M = 20  = 40+L2-2M ---- ②

    연립방정식을 이용해서 ①에서 ②빼면 120 = 4M이 된다. 따라서 상호인덕턴스 M은 30mH이다.

    상호인덕턴스를 식 ①, ②에 대입하면 L2=40mH 를 구할 수 있다.

    답 : 결합계수K = M/√(L1L2) = 30/√(40x40) = 0.75 

    28

    18년 2회..

    삼각파의 파형률 및 파고율은

    평균값 = Vm/2

    실효값 = Vm/√3

    파형률 = 실효값 / 평균값 = Vm/√3 / Vm/2 = 1.155  

    파고율 = 최대값 / 실효값 = Vm/ Vm/√3 = 1.732

    29

    18년 2회..


    P형 반도체에 첨가되는 불순물에 관한 설명으로 옳은 것은?

    P형 반도체와 N형 반도체의 비교

    1. 불순물 : 억셉터 / 도너

    2. 원소 : 3가원소 / 5가원소

    3. 전자 : 부족전자 / 과잉전자

    4. 다수캐리어 : 정공(+) / 전자(-)

    5. 공통적으로 게르마늄과 실리콘에 모두 첨가되어 있음

    30

    18년 2회..

    그림과 같은 게이트의 명칭은?

    문제이미지

    OR 은 OUTPUT을 바라본다

    O O 암기하면 다풀린다.


    트렌지스터가 들어있다

    NOT 붙인다.

    31

    18년 2회..

    어떤 코일의 임피던스를 측정하고자 직류전압 30V를 가했더니 300W가 소비되고, 교류전압 100V를 가했더니 1200W가 소비되었다. 이 코일의 리액턴스는 몇 Ω인가?

    1. 직류 전압을 가하면 무효성분인 XL 을 무시하고 R만을 넣어 계산한다

      P = V^2/R

      R = V^2/P = 900/300 = 3


    2. 교류전압이 들어가면 임피던스 Z 성분으로 계산한다.

      P = I^2*R , 1200 = I^2*3

      I = 20

      Z = V/I = 100/20 = 5

      XL = 루트(Z^2 - R^2) = 루트(25 - 9) = 4

    32

    18년 2회..

    저항 6Ω과 유도리액턴스 8Ω이 직렬로 접속된 회로에 100V의 교류전압을 가할 때 흐르는 전류의 크기는 몇 A인가?

    Z=6+j8 |Z|=루트(6^2+8^2)=10

    I=V/R=100/10=a10

    33

    18년 2회..

    백열전등의 점등스위치로는 다음 중 어떤 스위치를 사용하는 것이 적합한가

    시퀀스 배우면 알겁니다.


    백열전구를 동작시키기 위해 a접점스위치를 눌렀다고 합시다.

    복귀형 a접점스위치라면 누를때만 백열전구가 켜집니다.

    복귀형 b접점스위치라면 누를때만 백열전구가 꺼집니다.


    그래서 자기유지회로를 병렬로 이어붙여 a접점이 붙었을때 백열전구를 켜고

    a접점이 복귀되었을때 전류가 백열전구로 계속들어가게해야합니다.

    유지형 스위치가 정답이 됩니다.

    34

    18년 2회..

    L-C 직렬 회로에서 직류전압 E를 t = 0에서 인가할 때 흐르는 전류는?

    문제이미지

    암기하는 수밖에 없습니다.

    나중에 전자파 이론쪽보시면

    특성임피던스 = 루트(L/C) 라는 공식이 있습니다.  

    C는 항상 분모로 갔어 이 느낌으로 암기하면 될겁니다


    L과C가 나누기로있을때 무조건 바닥쪽이 (분모) C, 바닥에 씨를 뿌린다고 생각하면 외우기쉽습니다.

    35

    18년 2회..

    피드백 제어계에 대한 설명 중 틀린 것은

    피드백 제어계의 특징

    1. 정확성이 증가한다.

    2. 대역폭이 증가한다.

    3. 구조가 복잡하고 설치비가 많이 든다.

    4. 계의 특성변화에 대한 입력 대 출력비의 감도가 감소한다.

    5. 반드시 입력과 출력의 비교장치가 필요하다.

    6. 발진을 일으키고 불안전하게 되어가는 경향이 있다

    36

    18년 2회..

    어떤 계를 표시하는 미분 방정식이 

     라고 한다. x(t)는 입력신호, y(t)는 출력신호라고 하면 이계의 전달 함수는?(문제오류로 가답안 발표시 1번으로 발표되었지만 확정답안 발표시 모두 정답처리 되었습니다. 여기서는 1번을 누르면 정답 처리 됩니다.)

    문제이미지

    라플라스 변환하면

    (5S2+3S-2)X(S)=Y(S)에서

    전달함수

    G(S)=Y(S)/X(S)=1/(5S2+3S-2)=1/(5S-2)(S+1) 이므로 정답은 없습니다

    37

    18년 2회..

    측정기의 측정범위 확대를 위한 방법의 설명으로 틀린 것은

    문제이미지

     분류기는 계기에 병렬로 배율기는 직렬로 접속한다

    38

    18년 2회..

    리식 

     를 가장 간소화 하면?

    문제이미지

    B(A'+AC')= B(A'+A)(A'+C')= B(A'+C')  

    답 1번 맞습니다    

    [해설작성자 : 독학화이팅]


    ABC’+A’BC+A’BC’

    BC’(A+A’)+A’BC

    B(C’+CA’)

    B(C’+C)(C’+A’)

    B(A’+C’)

    [해설작성자 : 정드럼님]


    다른 방향 해설 카르노맵사용


      AB    00    01  10    11

    C  0          ({1)        1}

      1          (1)


    () : C가 변화한다. 고정된 A'B

    {} : A가 변환한다. 고정된 BC'

    A'B + BC' = B(A'+C')

    정답은 1번  부울대수 복잡하면 카르노 쓰자..

    [해설작성자 : 카르노맵 좋아용]

    39

    18년 2회..

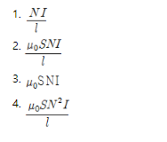
    원형 단면적이 S(m2), 평균자로의 길이가 l(엘)(m), 1m당 권선수의 N회인 공심 환상솔레노이드에 I(아이)(A)의 전류를 흘릴 때 철심 내의 자속은

    문제이미지

    문제에서 '1m당 권선수 N회' 이기 때문에 l=1입니다. 따라서 3번이 답.

    자속 = BS = 투자율 * 자계의 세기 * 단면적 = 진공의 투자율 * 권선수 * 전류 * 단면적 / 길이 = 진공의 투자율 * 1m당 권선수 * 전류 * 단면적

    40

    18년 2회..

    무한정 솔레노이드 자계의 세기에 대한 설명으로 틀린 것은

    자계는 방향과 무관함

    41

    18년 2회..

    소방기본법령상 소방본부 종합상황실 실장이 소방청의 종합상황실에 서면∙모사전송 또는 컴퓨터통신 등으로 보고하여야 하는 화재의 기준 중 틀린 것은?

    소방기본법 시행규칙 제3조(종합상황실의 설치.운영)

    1.사망자 5인 / 사상자 10인 발생 화재  2.이재민 100인 발생 화재  3.재산피해액 50억원 발생 화재  

    4.관공서.학교.정부미도정공장.문화재.지하철.지하구

    5.관광호텔. 층수 11층 이상의 건축물. 지하상가. 시장. 백화점. 지정수량3천배 이상의 위험물의 제조소,저장소,취급소.

    6.층수가 5층 이상이거나 객실이 30실 이상인 숙박시설, 층수가 5층 이상이거나 병상이 30개 이상인 종합병원,정신병원,한방병원,요양소.

    7.연면적 1만5천제곱미터 이상인 공장 또는 소방기본법 시행령 제4조제1항 각 목에 따른 화재경계지구에서 발생한 화재.

    8.철도차량,항구에 매어둔 총 톤수가 1천톤 이상인 선박, 항공기,발전소 또는 변전소에서 발생한 화재.

    9.가스 및 화약류의 폭발에 의한 화재.

    10.소방시설설치유지 및 안전관리에 관한 법률」 제8조의 규정에 의한 다중이용업소의 화재

    11.「긴급구조대응활동 및 현장지휘에 관한 규칙」에 의한 통제단장의 현장지휘가 필요한 재난상황 / 언론에 보도된 재난상황 / 그 밖에 국민안전처장관이 정하는 재난상황

    42

    18년 2회..

    소방기본법령상 소방용수시설별 설치기준 중 틀린 것은?

    소화전의 연결금속구의 구경은 65mm로 할 것

    43

    18년 2회..

    소방기본법상 소방본부장, 소방서장 또는 소방대장의 권한이 아닌 것은

    소방대장의 권한 제외

    44

    18년 2회..

    험물안전관리법령상 위험물의 안전관리와 관련된 업무를 수행하는 자로서 소방청장이 실시하는 안전교육대상자가 아닌 것은

    위험물 안전교육 대상자

    1. 안전관리자로 선임된 자

    2. 탱크시험자의 기술인력으로 종사하는 자

    3. 위험물운종사로 종사하는 자

    45

    18년 2회..

    화재예방, 소방시설 설치∙유지 및 안전관리에 관한 법상 소방안전관리대상물의 소방안전 관리자 업무가 아닌 것은?

    46

    18년 2회..

    화재예방, 소방시설 설치∙유지 및 안전관리에 관한 법령상 소방용품이 아닌 것은

    간이소화용구

    팽창진주암이나 물인데, 어디서든 쉽게 구할 수 있는 물건이라 소방용품이아닙니다

    47

    18년 2회..

    화재예방, 소방시설 설치∙유지 및 안전관리에 관한 법령상 스프링클러설비를 설치하여야 하는 특정소방대상물의 기준 중 틀린 것은?

    복합건축물은 5000평방미터 이상인 경우에는 모든 층

    48

    18년 2회..

    소방기본법령상 특수가연물의 저장 및 취급기준, 중 다음 ( ) 안에 알맞은 것은?

    문제이미지

    살수설비가 없다면

    10m 이하 / 바닥면적 50  / (석탄 목탄 200)

    49

    18년 2회..

    위험물안전관리법상 위험시설의 설치 및 변경 등에 관한 기준 중 다음 ( ) 안에 알맞은 것은

    문제이미지

    50

    18년 2회..

    화재예방, 소방시설 설치∙유지 및 안전관리에 관한 법령상 소방안전관리대상물의 소방계획서에 포함되어야 하는 사항이 아닌 것은

    51

    18년 2회..

    소방공사업법령상 공사감리자 지정대상 특정 소방대상물의 범위가 아닌 것은

    케비넷형, 호스릴 방식은 소방용품의 성능검사 등에서만 끼지 나머지는 못낍니다

    52

    18년 2회..

    화재예방, 소방시설 설치∙유지 및 안전관리에 관한 법상 특정소방대상물에 소방시설이 화재안전기준에 따라 설치 유지∙관리되어 있지 아니할 때 해당 특정소방대상물의 관계인에게 필요한 조치를 명할 수 있는 자는?

    위험물, 변경신고, 시내 화재위험구역, 지정 등은 시도지사한테

    현장출동,현장나가서 화재구역지정 본서대 한테 (누가봐도 귀찮고 힘든일)

    뭔가 커다란거를 만들던가 본서대한테 시킬때, 중앙특별조사위원회 같은거 나올때 청장


    이느낌으로 암기하고 문제접근하면됩니다.

    53

    18년 2회..

    위험물안전관리법상 업무상 과실로 제조소등에서 위험물을 유출∙방출 또는 확산시켜 사람의 생명∙신체 또는 재산에 대하여 위험을 발생시킨 자에 대한 벌칙 기준으로 옳은 것은

    54

    18년 2회..

    화재예방, 소방시설 설치∙유지 및 안전관리에 관란 법상 소방시설등에 대한 자체점검을 하지 아니하거나 관리업자 등으로 하여금 정기적으로 점검하게 아니한 자에 대한 벌칙 기준으로 옳은 것은

    55

    18년 2회..

    소방기본법상 소방활동구역의 설정권자로 옳은 것은

    56

    18년 2회..

    소방기본법령상 위험물 또는 물건의 보관기간은 소방본부 또는 소방서의 게시판에 공고하는 기간의 종료일 다음 날부터 며칠로 하는가

    위험물 또는 물건을 보관하는 경우 게시판에 공고하는 기간 : 14일

    게시판에 공고하는 기간의 종료일 다음 날부터 보관기간 : 7일

    57

    18년 2회..


    화재예방, 소방시설 설치∙유지 및 안전관리에 관한 법령상 비상경보설비를 설치하여야 할 특정소방대상물의 기준 중 옳은 것은?

    비상 경보설비 설치대상

    - 지하층, 무창층 : 바닥면적 150제곱미터 이상 (공연장은 100제곱미터 이상)

    - 연면적 400 제곱미터 이상인 곳

    - 지하가 중 터널 : 500m 이상

    - 옥내 작업장 : 근러자 50인 이상

    58

    18년 2회..

    화재예방, 소방시설 설치∙유지 및 안전관리에 관한 법상 특정소방대상물의 피난시설, 방화 구획 또는 방화시설에 폐쇄∙훼손∙변경 등의 행위를 한 자에 대한 과태료 기준으로 옳은 것은?

    59

    18년 2회..

    소방시설공사업법령상 상주 공사감리 대상 기준 중 다음 ( ) 안에 알맞은 것은

    문제이미지


         <문제 해설>

    [별표 3] 소방공사 감리의 종류¸ 방법 및 대상(제9조 관련)(소방시설공사업법 시행령)

    1. 연면적 3만제곱미터 이상의 특정소방대상물(아파트는 제외한다)에 대한 소방시설의 공사

    2. 지하층을 포함한 층수가 16층 이상으로서 500세대 이상인 아파트에 대한 소방시설의 공사

    60

    18년 2회..

    위험물안전관리법상 지정수량 미만인 위험물의 저장 또는 취급에 관한 기술상의 기준은 무엇으로 정하는가?

    61

    18년 2회..

    비상콘센트설비 전원회로의 설치기준 중 틀린 것은?


    <문제 해설>

    <비상콘센트 설비>

    1. 전원회로종류 : 단상교류

    2. 전압 : 220V

    3. 공급용량 : 1.5kVA이상

    4. 플러그 접속기 : 접지형 2극

    5. 하나의 전용회로에 설치하는 비콘갯수는 10개이하

    (전선의 용량은 최대 3개), 전원회로는 각 층에 2개 이상설치

    6. 전원회로의 배선은 내화배선으로하고, 전원으로부터 각 층의 비콘에 분기되는 경우 콘센트마다 분기배선용 차단기를 설치하여야 한다.

    62

    18년 2회..

    불꽃감지기 중 도로형의 최대시야각 기준으로 옳은 것은

    63

    18년 2회..

    비상경보설비를 설치하여야 하는 특정 소방대상물의 기준으로 옳은 것은?

    1. 연면적 400m2(지하가 중 터널 또는 사람이 거주하지 않거나 벽이 없는 축사는 제외함) 이상이거나 지하층 또는 무창층의 바닥면적이 150m2(공연장의 경우 100m2) 이상인 것


    2. 지하가 중 터널로서 길이가 500m 이상인 것


    3. 50명 이상의 근로자가 작업하는 옥내 작업장


    ※ 가스시설 또는 지하구는 제외함

    64

    18년 2회..

    휴대용비상조명등의 설치기준 중 틀린 것은

    휴대용비상조명등 기준

      1. 숙박시설 또는 다중이용업소에는 객실 또는 영업장안의 구획된 실마다 잘 보이는 곳(외부에 설치시 출입문 손잡이로부터 1m 이내 부분)에

        1개 이상 설치

    2. (지하상가 및 지하역사는 제외한다)와 영화상영관에는 보행거리 50m 이내마다 3개 이상 설치

    3. 지하상가 및 지하역사에는 보행거리 25m 이내마다 3개 이상 설치

    4. 설치높이는 바닥으로부터 0.8m 이상 1.5m 이하의 높이에 설치할것

    5. 어둠속에서 위치를 확인할 수 있도록 할 것

    6. 사용 시 자동으로 점등되는 구조일 것

    7. 외함은 난연성능이 있을 것

    8. 건전지를 사용하는 경우에는 방전방지조치를 하여야 하고, 충전식 밧데리의 경우에는 상시 충전되도록 할 것

    9. 건전지 및 충전식 밧데리의 용량은 20분 이상 유효하게 사용할 수 있는 것으로 할 것

    65

    18년 2회..

    객석내의 통로가 경사로 또는 수평로로 되어 있는 부분에 설치하여야 하는 객석유도등의 설치개수 산출 공식으로 옳은 것은

    문제이미지

    66

    18년 2회..

    객석유도등을 설치하지 아니하는 경우의 기준 중 다음 ( ) 안에 알맞은 것은?


    하나의 거실 출입구에 이르는보행거리가 ( ) M 이하 ,

    관련법 개정으로 관련문항 삭제되었음 .

    67

    18년 2회..

    비상벨설비의 설치기준 중 다음 ( ) 안에 알맞은 것은

    문제이미지

    (1) 부식성 가스 또는 습기 등으로 인하여 부식의 우려가 없는 장소에 설치할 것

    (2) 지구음향장치는 소방대상물의 층마다 설치하되, 음향장치까지의 수평거리는 25[m]이하. 다만, 비상방송설비를 비상벨설비 또는 자동식사이렌설비

        와 연동할 때에는 지구음향장치 생략 가능

    (3) 음향장치는 정격전압의 80[%] 전압에서 음향을 발할 수 있을 것

    (4) 음향장치의 음량은 음향장치의 중심으로부터 1[m] 떨어진 위치에서 90[dB] 이상 일 것

    (5) 발신기는 조작이 쉬운장소에 설치하고, 조작스위치는 바닥으로부터 0.8[m]이상 1.5[m]이하 높이에 설치

    (6) 발신기는 소방대상물의 층마다 설치하되, 발신기까지의 수평거리는 25[m]이하. 다만, 보행거리가 40[m]이상일 경우 추가 설치

    (7) 발신기의 표시등은 함의 상부에 설치하되, 그 불빛은 부착면으로부터 15° 이상의 범위 안에서 10[m]이내의 어느 곳에서도 쉽게 식별할 수

        있는 적색등 일 것

    (8) 상용전원 - 축전지 or 교류전압 옥내간선, 전원까지의 배선은 전용으로 할 것

    (9) 비상전원  60분 감시 후 10분 경보할 수 있는 축전지 설비

    (10) 개폐기- “비상벨설비 또는 자동식사이렌설비용” 표지 할 것

    (11) 전원회로 배선  내화배선, 그 밖의 배선  내화 or 내열배선

    (12) 배선은 다른 전선과 별도의 관ㆍ덕트ㆍ몰드ㆍ박스 등에 설치할 것

    68

    18년 2회..

    누전경보기 변류기의 절연저항시험 부위가 아닌 것은

    누전 경보기 절연저항시험

    1. 변류기: DC 500V의 절연저항계로 다음 각 호의 시험을 하는 경우는 5M옴 이상

    - 절연된 1차 권선과 2차 권선 간의 절연저항

    - 절연된 1차 권선과 외부금속부 간의 절연저항

    - 절연된 2차 권선과 외부 금속부 간의 절연저항

    69

    18년 2회..

    피난기구의 설치기준 중 틀린 것은

    피난기구 설치기준 기계로 넘어갔습니다.

    전기는 건너뛰어도 됩니다

    70

    18년 2회..

    소방시설용 비상전원수전설비에서 전력수급용 계기용변성기 ㆍ 주차단장치 및 그 부속기기로 정의되는 것은


    71

    18년 2회..

    비상콘센트설비의 설치기준 중 다음 ( ) 안에 알맞은 것은


    도로터널의 비상콘센트설비는 주행차로의 우측 측벽에 ( )m 이내의 간격으로 바닥으로부터 0.8m 이상 1.5m 이하의 높이에 설치할 것

    1. 지하상가 또는 지하층의 바닥면적의 합계가 3,000m2 이상인 것은 수평거리 25m

    2. 위항 해당하지 아니하는 것은 수평거리 50m

    72

    18년 2회..

    자동화재속보설비 속보기 예비전원의 주위온도 충방전시험 기준 중 다음 ( ) 안에 알맞은 것은

    문제이미지

    자동화재속보설비 속보기 예비전원 방전종지전압 소요시간

    1. 알칼리계 2차 축전지 : 25분

    2. 리듐계 2차 축전지 : 40분

    3. 무보수 밀폐형 연축전지 : 30분

    73

    18년 2회..

    비상방송설비 음향장치 설치기준 중 층수가 5층 이상으로서 연면적 3000m2를 초과하는 특정소방대상물의 1층에서 발화한 때의 경보 기준으로 옳은 것은?

    층수가 11층(공동주택의 경우에는 16층) 이상의 특정소방대상물은 다음의 기준에 따라 경보를 발할 수 있도록 해야 한다.<개정 2023.2.10>

    2층 이상의 층에서 발화한 때에는 발화층 및 그 직상 4개층에 경보를 발할 것<개정 2023.2.10>

    1층에서 발화한 때에는 발화층·그 직상 4개층 및 지하층에 경보를 발할 것<개정 2023.2.10>

    지하층에서 발화한 때에는 발화층·그 직상층 및 기타의 지하층에 경보를 발할 것

    층수가 10층(공동주택의 경우에는 15층) 이하 전층경보

    74

    18년 2회..

    상방송설비 음향장치의 구조 및 성능 기준 중 다음 ( ) 안에 알맞은 것은?

    문제이미지

    75

    18년 2회..

    무선통신보조설비를 설치하여야 할 특정소방 대상물의 기준 중 다음 ( ) 안에 알맞은 것은?


    층수가 30층 이상인 것으로서 ( ) 층 이상 부분의 모든 층

    무선통시보조설비 설치대상

        ① 지하가(터널은 제외)로서 연면적 1000m^2 이상인 것

        ② 지하층의 층수가 3층 이상이고 지하층의 바닥면적의 합계가 1000m^2 이상인 것은 지하층의 모든 층

        ③ 층수가 30층 이상인 것으로서 16층 이상 부분의 모든 층

        ④ 지하가 중 터널로서 길이가 500m 이상인 것

    76

    18년 2회..

    4층 이상의 특정소방대상물에는 ( ) 와 전화통화가 가능한 수신기를 설치할 것

    77

    18년 2회..

    노유자시설 지하층에 적응성을 가진 피난 기구는

    2019.1.1.~2022.12.31. 적용 출제기준에는 피난기구가 제외되었고 기계에만 출제기준이 남아있습니다.

    기출만 간단하게 보고 넘어가시면 될 것 같고 깊이 공부할 필요는 없어보입니다.

    다만 문제에는 오류가 없습니다

    78

    18년 2회..

    자동화재탐지설비의 감지기 중 연기를 감지하는 감지기는 감시챔버로 몇 mm 크기의 물체가 침입할 수 없는 구조이어야 하는가

    감지기 형식승인기준 제5조 구조 및 기능

    연기를 감지하는 감지기는 감시챔버로 1.3±0.05mm 크기의 물체가 침입할 수 없는 구조이어야 한다

    79

    18년 2회..

    무선통신보조설비 증폭기의 비상전원 용량은 무선통신보조설비를 유효하게 몇 분 이상 작동시킬 수 있는 것으로 설치하여야 하는가

    전원은 축전지 및 교류전압 옥내간선으로 한다.

    증폭기의 전면에는 표시등 및 전압계를 설치한다.

    증폭기으 비상전원 용량은 설비를 유효하게 30분이상 작동시킬 수 있어야 한다

    80

    18년 2회..

    광전식 분리형 감지기의 설치기준 중 옳은 것은

    1. 감지기의 수광면은 햇빛을 직접 받지 않도록 설치할 것

    2. 광축(송광면과 수광면의 중심을 연결한 선)은 나란한 벽으로부터 0.6m 이상 이격하여 설치할 것

    3. 감지기의 송광부와 수광부는 설치된 뒷벽으로부터 1.0m 이내 위치에 설치할 것