모두CBT | 국가고시 실기시험 부시기!

소방전기 22년 2회. 해설 페이지

소방전기 22년 2회.

    1

    소방전기 22년 2회.

    정전기로 인한 화재를 줄이고 방지하기 위한 대책 중 틀린 것은?

    접지, 도체, 70%, 이온화

    2

    소방전기 22년 2회.

    위험물안전관리법령상 위험물로 분류되는 것은?

    1류 : 질산나트륨, 과산화나트륨

    6류 : 과산화수소

    3

    소방전기 22년 2회.

    이산화탄소 20g은 약 몇 mol 인가?

    이산화탄소 CO2 분자량 C(12) + 2*0(16) = 44g/mol

    이산화탄소 mol = 20g / 44g/mol = 0.45 mol

    4

    소방전기 22년 2회.

    물질의 연소 시 산소 공급원이 될 수 없는 것은?

    산소공급원이 되려면 분자식 내에 산소를 포함해야함

    탄화칼슘 - CaC2

    과산화나트륨 - Na2O2

    질산나트륨 - NaNO3

    압축공기 - N2+O2 등등

    5

    소방전기 22년 2회.

    Fourier법칙(전도)에 대한 설명으로 틀린 것은?

    퓨리에의 열전도 법칙 Q=kA(T2-T1)/L

    Q:전도열, k :열전도율 ,A :단면적 ,(T2-T1): 온도차 , L :벽체두께

    따라서 퓨리에의 열전도 법칙이용 두께에 반비례 하고 단면적, 온도차, 열전도율에 비례한다

    6

    소방전기 22년 2회.

    할론 소화설비에서 Halon 1211 약제의 분자식은?

    C/F/Cl/Br

    7

    소방전기 22년 2회.

    제 4류위험물의 성질은 ?

    위험물 종류

    1류(산화성 고체)-6류(산화성 액체)

    2류(가연성 고체)-4류(인화성 액체)

    3류(자연발화성 및 금수성 물질)-5류(자기반응성 물질)

    8

    소방전기 22년 2회.

    목재 화재 시 다량의 물을 뿌려 소화할 경우 기대되는 주된 소화효과는?

    1. 제거소화 : 가연물을 제거하여 소화하는 방법

    2. 냉각소화 : 점화원을 냉각시켜 소화하는 방법(다량의 물을 뿌려 소화하는 방법)

    3. 부촉매소화(=화학소화) : 연쇄반응을 차단하여 소화하는 방법

    4. 희석소화 : 기체,고체,액체에서 나오는 분해가스나 증기의 농도를 낮춰 소화하는 방법

    9

    소방전기 22년 2회.

    물이 소화 약제로써 사용되는 장점이 아닌 것은?

    탄화칼륨이 물이나  습기를 접촉하면 인화성가스를 발하여 불이 붙으므로 화학반응이 일어나지 않는다는 것은 옳치않다

    10

    소방전기 22년 2회.

    분말소화약제 중 탄산수소칼륨(KHCO3)과 요소(CO(NH2)2)와의 반응물을 주성분으로 하는 소화약제는?

    제1종 분말 : 탄산수소나트륨 NaHCO3 백색  B급, C급234

    제2종 분말 : 탄산수소칼륨  KHCO3 담회색  B급, C급

    제3종 분말 : 제1인산암모늄 NH4H2PO4 담홍색 ABC급

    제4종 분말 : 탄산수소칼륨 KC2N2H3O3 회색  B급, C급

    11

    소방전기 22년 2회.

    가연물의 제거를 통한 소화 방법과 무관한 것은?

    IG-541은 산소의 공급을 차단하여 소화시키는 원리를 이용한다

    12

    소방전기 22년 2회.

    건물화재의 표준시간-온도곡선에서 화재발생 후 1시간이 경과할 경우 내부 온도는 약 몇 ℃ 정도 되는가

    30분 경과 : 840 deg

    1시간 경과 : 925 ~ 950 deg

    2시간 경과 : 1010 deg

    13

    소방전기 22년 2회.

    물질의 취급 또는 위험성에 대한 설명 중 틀린 것은?

    점화원이 될 수 없는 것

    가)흡착열 나)기화열 다)융해열

    14

    소방전기 22년 2회.

    폭굉(detonation)에 관한 설명으로 틀린 것은?

    폭굉은 연소속도가 음속보다 빠를 때 발생하는 현상이다

    15

    소방전기 22년 2회.

    자연발화가 일어나기 쉬운 조건이 아닌 것은?

    열전도율이 작아야 열이 다른 곳으로 전도되지 않아 자연발화가 일어나기 쉽습니다

    16

    소방전기 22년 2회.

    목조건축물의 화재특성으로 틀린 것은?

    목재건축물 은 고운단기형으로

    최성기 온도는 1200~1300도 정도가 된다

    내화건축물은 저온 장기형으로 최성기온도는 900~1100 정도가 된다

    17

    소방전기 22년 2회.

    다음 물질 중 공기 중에서의 연소범위가 가장 넓은 것은?

    부탄: 1.8 ~ 8.4%

    프로판: 2.1~9.5%

    메탄: 5 ~ 15%

    수소: 4 ~ 75%

    18

    소방전기 22년 2회.

    플래시 오버(flash over)에 대한 설명으로 옳은 것은?

    많은 가스가 축적된 상태에서 가스의 온도가 발화점을 넘는 순간 모든 가스가 거의 동시에 발화하는것을 플래시 오버라고한다

    19

    소방전기 22년 2회.

    연기에 의한 감광계수가 0.1m-1, 가시거리가 20~30m일 때의 상황으로 옳은 것은

    감광계수  /  가시거리(m)  /  상황

    0.1      /    20~30        / 연기감지기가 작동할 정도의 농도, 건물내부에 익숙지 못한 사람이 피난할 수 있는 정도의 농도

    0.3      /      5          / 건물 내부에 익숙한 사람이 피난 할 수 있을 정도의 농도

    10        /    0.2~0.5      / 화재 최성기 때의 연기농도, 유도등이 보이지 않을 정도의 농도

    30        /      -        / 출화실에서 연기가 분출될 때의 연기농도

    20

    소방전기 22년 2회.

    프로판가스의 최소점화에너지는 일반적으로 약 몇 mJ 정도 되는가

    일반 탄화수소의 최소점화에너지는 약 0.25mJ이며, 수소는 0.02mJ로써 매우 작음

    21

    소방전기 22년 2회.

    정전용량이 각각 1㎌, 2㎌, 3㎌이고, 내압이 모두 동일한 3개의 커패시터가 있다. 이 커패시터들을 직렬로 연결하여 양단에 전압을 인가한 후 전압을 상승시키면 가장 먼저 절연이 파괴되는 커패시터는? (단, 커패시터의 재질이나 형태는 동일하다.)

    각 커패시터에 걸리는 전압은

    V1:V2:V3=1:1/2:1/3=3:2:1

    V1=3/6V, V2=2/6V, V3=1/6V

    내압이 동일하므로 전원전압을 서서히 상승시

    전압이 많이 걸리는 순으로 파괴된다.

    1uF > 2uF > 3uF

    22

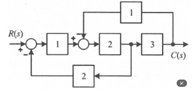
    소방전기 22년 2회.

    그림과 같은 블록선도의 전달함수 

     는?

    문제이미지

    1×2×3 / 1-(-1×2×2-1×2×3)

    = 6 / 1+4+6

    = 6 / 11

    23

    소방전기 22년 2회.

    그림의 단상 반파 정류회로에서 R에 흐르는 전류의 평균값은 약 몇 A 인가? (단, v(t) = 220√2sinωt(V), R=16√2(Ω), 다이오드의 전압강하는 무시한다.)

    문제이미지

    반파 다이오드는 ed = 루트2 * v / 파이 = 0.45v

    따라서 0.45 * 220 = 99

    99 / 16*루트2 = 4.38

    24

    소방전기 22년 2회.

    3상 유도 전동기를 Y 결선으로 운전했을 때 토크가 TY이었다. 이 전동기를 동일한 전원에서 △결선으로 운전했을 때 토크(T)는?

    Y결선시

    기동전압은 델타결선의 1/루트3 배,

    기동전류와 토크는 델타결선의 1/3 배 감소된다

    25

    소방전기 22년 2회.

    제어요소가 제어 대상에 가하는 제어 신호로 제어장치의 출력인 동시에 제어 대상의 입력이 되는 것은

    26

    소방전기 22년 2회.

    어떤 코일의 임피던스를 측정하고자 한다. 이 코일에 30V의 직류전압을 가했을 때 300W가 소비되었고, 100V의 실효치 교류전압을 가했을 때 1200W가 소비되었다. 이 코일의 리액턴스(Ω)는?

    <직류>

    소비전력 P=V^2/R=30^2/R=300[W]

    R=3

    <교류>

    임피던스 Z=R+jX=3+jX

    P=(V^2/Z)×cos@

    =(100^2/루트(3^2+X^2))×3/5=1200[W]

    (여기서 cos@=R/Z)

    X=4

    27

    소방전기 22년 2회.

    적분 시간이 3sec이고, 비례 감도가 5인 PI(비례적분) 제어 요소가 있다. 이 제어 요소의 전달함수는

    5(1+(1/3s))=5+5/3s=(15s+5)/3s

    28

    소방전기 22년 2회.

    100V에서 500W를 소비하는 전열기가 있다. 이 전열기에 90V 의 전압을 인가했을 때 소비되는 전력(W)은?

    P=V^2/R  500W=100^2/R  R=20옴

            P=90^2/20=405W

    29

    소방전기 22년 2회.

    4극 직류 발전기의 전기자 도체 수가 500개, 각 자극의 자속이 0.01Wb, 회전수가 1800rpm일 때 이 발전기의 유도 기전력(V)은? (단, 전기자 권선법은 파권이다.)

    E=p@n(z/a)=p@(N/60)(z/a)

    =4×0.01×(1800/60)×(500/2)

    =300[V]


    피자파이엔/60 = PzΦN/60

    P=극수, z=도체수, Φ=자속, N=회전수, 60=1분

    30

    소방전기 22년 2회.

    진공 중에서 원점에 10-8C의 전하가 있을 때 점(1, 2, 2)m에서의 전계의 세기는 약 몇 V/m 인가?

    쿨롱의 법칙 (9x10^9xQ)/r^2

    =(9x10^9x10^-8)/1제곱+2제곱+2제곱

    31

    소방전기 22년 2회.

    정현파 교류전압 e1(t)과 e2(t)의 합(e1(t) + e2(t))은 몇 V 인가?

    문제이미지

    32

    소방전기 22년 2회.

    60㎐의 3상 전압을 반파 정류하였을 때 리플(맥동) 주파수(㎐)는?

    1f      2f      3f      6f

    단상반파 단상전파 3상반파 3상전파

    33

    소방전기 22년 2회.

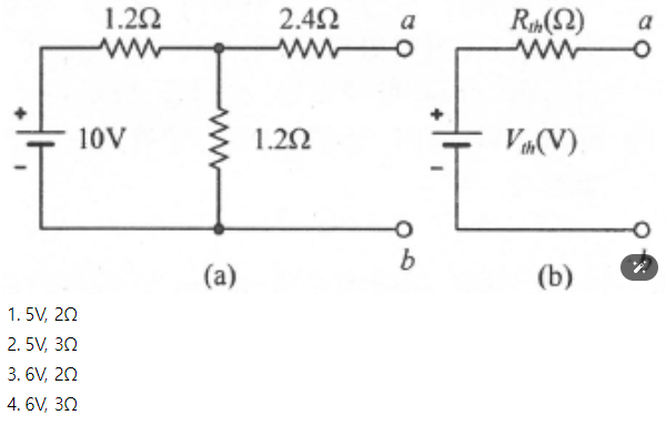
    테브난의 정리를 이용하여 그림 (a)의 회로를 그림 (b)와 같은 등가회로로 만들고자 할 때 Vth(V)와 Rth(Ω)은?

    문제이미지

    Vth는 가로1.2옴과 세로1.2옴중 세로1.2옴에

    걸리는 전압(=a와 b가 걸린 전압)

    (이때 2.4옴은 전류가 흐르지 않는 필요없는 부분)

    10V를 가로1.2옴과 세로1.2옴에 각각 5V씩 걸리므로

    Vth=5[V]

    Rth는 전압원은 단락(직선으로 연결)하고,

    a와 b사이의 저항들을 합성저항 구하면 됨

    가로1.2옴과 세로1.2옴은 병렬, 2.4옴은 직렬

    합성저항 구하면 Rth=3옴

    34

    소방전기 22년 2회.

    어떤 전압계의 측정 범위를 12배로 하려고 할 때 배율기의 저항은 전압계 내부저항의 몇 배로 해야 하는가?

    전압계의 측정범위배율 = 1 + (배율기 저항)/(전압계의 내부저항)

    12 = 1+ (배율기저항)/(전압계 내부저항)

    배율기저항 = 11 * 전압계 내부저항

    35

    소방전기 22년 2회.

    각 상의 임피던스가 Z = 4+j3(Ω)인 △결선의 평형 3상 부하에 선간전압이 200V인 대칭 3상 전압을 가했을 때 이 부하로 흐르는 선전류의 크기는 몇 A 인가?

    선간전압=상전압=200V

    Z=루트(4^2+3^2)=5

    상전류=상전압/Z=200/5=40V

    선간전류=루트3×상전류=루트3×40

    문제이미지

    36

    소방전기 22년 2회.

    시퀀스회로를 논리식으로 표현하면?

    A와 C는 병렬 ("A+C")

    A+C와 B는 직렬 (A+C)*"B"

    B는 -(B접점 '바')

    따라서 (A+C)*B바

    37

    소방전기 22년 2회.

    그림의 회로에서 a-b 간에 Vab(V)를 인가했을 때 c-d 간의 전압이 100V이었다. 이때 a-b 간에 인가한 전압(Vab)은 몇 V인가?

    c-d 100V이므로 20옴도 100V,

    10옴도 병렬이므로 동일한 100V임.

    20옴에 흐르는 전류=100/20=5A

    10옴에 흐르는 전류=100/10=10A

    회로에 흐르는 총 전류=5+10=15A이므로

    위아래 0.2옴 모두 15A가 흐른다.

    0.2옴에 걸리는 전압을 구해주면

    V=IR=15×0.2=3V

    각 전압이 a-c(3V) c-d(100V) d-b(3V)이므로

    Vab=3+100+3=106V

    38

    소방전기 22년 2회.

    균일한 자기장 내에서 운동하는 도체에 유도된 기전력의 방향을 나타내는 법칙은?

    1. 전동기 원리

    2. 발전기 원리

    3. 도선에 전류가 흐르면 도선을 중심으로 자기장 형성

    4. 폐회로 주변 자기장을 변화시키면 전자유도 발생

    39

    소방전기 22년 2회.

    회로에서 저항 5Ω의 양단 전압 VR(V)은?

    문제이미지

    <3V 전압원일 경우를 생각>

    그외 나머지 모든 전압원,전류원 모두 제거

    2A 전류원이 개방되어 끊어진 회로가 되어

    회로에 전류가 흐르지 않으므로

    5옴에 걸리는 전압은 없다.

    <2A 전류원일 경우를 생각>

    그외 나머지 모든 전압원,전류원 모두 제거

    3V가 단락되어 2A전류원이 그대로 5옴에 흐르게 된다.

    V=5옴×2A=10V

    +VR-에 전류가 반대방향으로 흐르므로 부호는 (-),


    전압원은 전압의 크기가 일정하다는 것이고, 전류의 크기 및 방향은 변할수 있습니다.

    전류원은 전류의 크기 및 방향이 일정하고, 여기에 걸리는 전압이 변할수 있습니다.

    즉, 전류원은 방향이 이미 결정되어 있어서 전류가 반대로 흐를수 없지만,

    전압원은 전류를 내 보낼수도, 전류를 받아들일수도 있습니다.

    따라서 전압원과 전류원이 동시에 존재하는 회로에서는,

    전류원으로 먼저 해석을 하고, 추가로 해석이 필요한 경우에 전압원에 대한 해석을 진행하면 됩니다.


    이 문제의 경우에는 전류원 자체만으로도 저항에 걸리는 전압이 -10V로 바로 계산되기 때문에 전체 회로 해석을 할 필요가 없습니다

    40

    소방전기 22년 2회.

    논리식을 간단히 표현한것은 ?

    문제이미지

    A_•(B_C+BC_+BC)

    =A_•(B_C+BC+BC_+BC)

    =A_•((B_+B)•C+(C_+C)•B)

    =A_•(1•C+1•B)

    =A_•(C+B)

    41

    소방전기 22년 2회.

    다음 중 소방기본법령에 따라 화재예방상 필요하다고 인정되거나 화재위험경보시 발령하는 소방신호의 종류로 옳은 것은?

    <소방신호의 종류>

    경계신호:화재예방상 필요하다고 인정되거나

    -화재위험 경보시 발령

    (1타와 연2타 반복/5초 간격을 두고 30초씩 3회)

    -발화신호:화재가 발생한 때 발령

    (난타/5초 간격을 두고 5초씩 3회)

    -해제신호:소화활동이 필요없다고 인정되는 때 발령

    (상당한 간격을 두고 1타씩 반복/1분간 1회)

    -훈련신호:훈련상 필요하다고 인정되는 때

    또는 비상소집시 발령

    (연3타 반복/10초 간격을 두고 1분씩 3회)

    42

    소방전기 22년 2회.

    소방기본법령상 보일러에 액체연료를 사용하는 연료탱크는 보일러 본체로부터 수평거리 최소 몇 m 이상의 간격을 두어 설치해야 하는가?

    -연료탱크는 보일러 본체로부터 수평거리 1m 이상의 간격을 두어 설치할 것

    -연료탱크에는 화재 등 긴급상황이 발생하는 경우 연료를 차단할 수 있는 개폐밸브를 연료탱크로부터 0.5m 이내에 설치할 것

    -연료탱크 또는 연료를 공급하는 배관에는 여과장치를 설치할 것

    -사용이 허용된 연료 외의 것을 사용하지 아니할 것

    -연료탱크에는 불연재료로 된 받침대를 설치하여 연료탱크가 넘어지지 아니하도록 할 것

    43

    소방전기 22년 2회.

    다음은 소방기본법령상 소방본부에 대한 설명이다.

    소방업무를 수행하기 위하여 ( ) 직속으로 소방본부를 둔다.

    44

    소방전기 22년 2회.

    다음 소방기본법령상 용어 정의에 대한 설명으로 옳은 것

    소방대상물 : 건축물, 차량, 선박(매어둔 것), 선박건조구조물, 인공구조물, 물건, 산림

    45

    소방전기 22년 2회.

    소방기본법령상 상업지역에 소방용수시설 설치 시 소방대상물과의 수평거리 기준은 몇 m 이하인가?

    주거,상업,공업지역 : 100m 이하

    주거,상업,공업지역 외(기타지역) : 140m 이하

    46

    소방전기 22년 2회.

    소방시설공사업법령상 일반 소방시설설계업(기계분야)의 영업범위에 대한 기준 중 ( )에 알맞은 내용은? (단, 공장의 경우는 제외한다.)

    문제이미지

    소방시설설계업:전문소방시설설계업,일반소방시설설계업

    일반소방시설설계업:기계분야,전기분야

    기계분야:

    -아파트의 기계분야 소방설비

    -연면적 3만 제곱미터 미만의 특정소방대상물 중에서 기계분야

    -위험물 제조소 등이 설치된 기계분야 소방시설

    47

    소방전기 22년 2회.

    소방시설공사업법령상 소방시설업의 등록을 하지 아니하고 영업을 한 자에 대한 벌칙기준으로 옳은 것은?

    1년=점검미실시 3년=등록안하고 영업 5년=신체,재산등 사람한테 직접적인 피해를 끼칠때

    48

    소방전기 22년 2회.

    위험물안전관리법령에서 정하는 제3류 위험물에 해당하는 것은?

    1. 나트륨 = 알칼리금속 : 제3류 위험물

    2. 염소산염류 = 제1류 위험물

    3. 무기과산화물 = 제1류 위험물

    4. 유기과산화물 = 제5류 위험물

    49

    소방전기 22년 2회.

    화재예방, 소방시설 설치·유지 및 안전관리에 관한 법령상 자동화재탐지설비를 설치하여야 하는 특정소방대상물의 기준으로 틀린 것은?


    <문제 해설>

    *지하가: 1천m2 이상

    50

    소방전기 22년 2회.

    화재예방, 소방시설 설치·유지 및 안전관리에 관한 법령상 종합정밀점검 실시 대상이 되는 특정소방대상물의 기준 중 다음 ( ) 안에 알맞은 것은?

    문제이미지

    종합정밀점검 특정소방대상물

    -스프링클러설비가 설치된 특정소방대상물

    -물분무등소화설비가 설치된 연면적 5000m^2 이상인

    특정소방대상물

    -다중이용업의 영업장이 설치된 특정소방대상물로서

    연면적 2000m^2 이상인 것

    -제연설비가 설치된 터널

    -공공기관 중 연면적 1000m^2 이상인 것으로서

    옥내소화전설비 또는 자동화재탐지설비가 설치된 것

    51

    소방전기 22년 2회.

    소방기본법령상 특수가연물의 저장 및 취급의 기준 중 ( )에 들어갈 내용으로 옳은 것은? (단, 석탄·목탄류의 경우는 제외 한다.)

    문제이미지

    52

    소방전기 22년 2회.

    위험물안전관리법령상 제4류 위험물을 저장·취급하는 제조소에 “화기엄금”이란 주의사항을 표시하는 게시판을 설치할 경우 게시판의 색상은?

    53

    소방전기 22년 2회.

    위험물안전관리법령상 유별을 달리하는 위험물을 혼재하여 저장할 수 있는 것으로 짝지어진 것은?

    1-6

    2-4-5

    3-4

    54

    소방전기 22년 2회.

    화재예방, 소방시설 설치·유지 및 안전관리에 관한 법령상 방염성능기준 이상의 실내장식물 등을 설치하여야 하는 특정소방대상물이 아닌 것은?

    아파트는 제외대상

    55

    소방전기 22년 2회.

    화재예방, 소방시설 설치·유지 및 안전관리에 관한 법령상 건축허가 등을 할 때 미리 소방본부장 또는 소방서장의 동의를 받아야 하는 건축물 등의 범위기준이 아닌 것은?

    노유자시설 및 수련시설:200

    56

    소방전기 22년 2회.

    위험물안전관리법령상 관계인이 예방규정을 정하여야 하는 위험물 제조소등에 해당하지 않는 것은?

    (1번) 지정수량 10배의 특수인화물을 취급하는 일반취급소 : 일반취급소 중 특수인화물을 다루면 제출대상임

    (2번) 지정수량 20배의 휘발유(제4류 제1석유류)를 고정된 탱크에 주입하는 일반취급소 : 제1석유류는 10배이하인&탱크주입 일반취급소는 제외이므로 20배이므로 제출대상임

    (3번) 지정수량 40배의 제3석유류를 용기에 담는 경유 : 50배이하&용기에 담는 일반취급소 이므로 "제외"

    (4번) 지정수량 15배의 알코올(제4류 알코올류)을 버너에 소비하는 장치로 이루어진 일반취급소 : 알코올 10배이하인경우 제외되므로 제출대상임

    57

    소방전기 22년 2회.

    화재예방, 소방시설 설치·유지 및 안전관리에 관한 법령상 제조 또는 가공 공정에서 방염처리를 한 물품 중 방염대상물품이 아닌 것은?

    종이벽지는 제외

    58

    소방전기 22년 2회.

    화재예방, 소방시설 설치·유지 및 안전관리에 관한 법령상 무창층으로 판정하기 위한 개구부가 갖추어야 할 요건으로 틀린 것은?

    반지름 "25cm" 지름 "50cm"

    59

    소방전기 22년 2회.

    화재의 예방 및 안전관리에 관한 법령상 관리의 권원이 분리된 특정소방대상물에 소방안전관리자를 선임하여야 하는 특정소방대상물 중 복합건축물은 지하층을 제외한 층수가 최소 몇 층 이상인 건축물만 해당되는가?(2022년 12월 01일 개정된 규정 적용됨)

    60

    소방전기 22년 2회.

    화재예방, 소방시설 설치·유지 및 안전관리에 관한 법령상 “대통령령으로 정하는 특정소방대상물”의 관계인은 그 장소에 상시 근무하거나 거주하는 사람에게 소방훈련과 소방안전관리에 필요한 교육을 하여야 한다. 다음 “대통령령으로 정하는 특정소방대상물”에 대한 설명 중 ( )에 알맞은 내용은?

    문제이미지

    61

    소방전기 22년 2회.

    소방시설용 비상전원수전설비의 화재안전기준(NFSC 602)에 따라 저압으로 수전하는 제1종 배전반 및 분전반의 외함 두께와 전면판(또는 문) 두께에 대한 설치기준으로 옳은 것은?

    <NFSC 602>

    제6조(저압으로 수전하는 경우)

    1.제1종 배전반 및 제1종 분전반은 다음 각 호에 적합하게 설치하여야 한다.

    (1)외함은 두께 1.6mm(전면판 및 문은 2.3mm) 이상의 강판과 이와 동등 이상의 강도와 내화성능이 있는 것으로 제작할 것

    62

    소방전기 22년 2회.

    무선통신보조설비의 화재안전기준(NFSC 505)에서 정하는 분배기·분파기 및 혼합기 등의 임피던스는 몇 Ω의 것으로 하여야 하는가?

    63

    소방전기 22년 2회.

    비상콘센트설비의 성능인증 및 제품검사의 기술기준에 따라 절연저항 시험부위의 절연내력은 정격전압 150V 이하의 경우 60Hz의 정현파에 가까운 실효전압 1000V 교류전압을 가하는 시험에서 몇 분간 견디는 것이어야 하는가?

    <NFSC 504>

    제4조(비상콘센트설비 절연내력시험)

    150V이하:실효전압 1000V 1분이상

    150V이상:실효전압 (정격전압×2)+1000V 1분이상

    64

    소방전기 22년 2회.

    다음은 누전경보기의 형식승인 및 제품검사의 기술기준에 따른 표시등에 대한 내용이다. ( )에 들어갈 내용으로 옳은 것은?

    문제이미지

    주위의 밝기가 300 lx인 장소에서 측정하여 앞면으로부터 3m 떨어진 곳에서 켜진등이 확실히 식별되어야 한다.

    65

    소방전기 22년 2회.

    무선통신보조설비의 화재안전기준(NFSC 505)에 따라 무선통신보조설비의 누설동축케이블 및 동축케이블은 화재에 따라 해당 케이블의 피복이 소실된 경우에 케이블 본체가 떨어지지 아니하도록 몇 m 이내마다 금속제 또는 자기제등의 지지금구로 벽·천장·기둥 등에 견고하게 고정시켜야 하는가? (단, 불연재료로 구획된 반자 안에 설치하지 않은 경우이다.)

    <NFSC 505>

    제5조(누설동축케이블 등)

    4.누설동축케이블은 화재에 따라 해당 케이블의 피복이 소실된 경우에 케이블 본체가 떨어지지 아니하도록 4m 이내마다 금속제 또는 자기제 등의 지지금구로 벽•천장•기둥 등에 견고하게 고정시킬 것.

    다만 불연재료로 구획된 반자 안에 설치하는 경우에는 그러하지 아니하다.

    66

    소방전기 22년 2회.

    비상콘센트설비의 화재안전기준(NFSC 504)에 따라 비상콘센트용의 풀박스 등은 방청도장을 한 것으로서, 두께 몇 mm 이상의 철판으로 하여야 하는가

    <NFSC 504>

    제4조(전원 및 콘센트 등)

    2.비상콘센트설비의 전원회로

    (7)비상콘센트용의 풀박스 등은 방청도장을 한 것으로서, 두께 1.6mm 이상의 철판으로 할 것

    67

    소방전기 22년 2회.

    자동화재탐지설비 및 시각경보장치의 화재안전기준(NFSC 203)에서 정하는 불꽃감지기의 시설기준으로 틀린 것은?

    <NFSC 203>

    제7조(감지기)

    3.감지기는 다음 각 호의 기준에 따라 설치하여야 한다.

    (13)불꽃감지기는 다음의 기준에 따라 설치할 것

    가.공칭감시거리 및 공칭시야각은 형식승인 내용에 따를것

    나.감지기는 공칭감시거리와 공칭시야각을 기준으로 감시구역이 모두 포용될 수 있도록 설치할 것

    다.감지기는 화재감지를 유효하게 감지할 수 있는 모서리 또는 벽 등에 설치할 것

    라.감지기를 천장에 설치하는 경우에는 감지기는 바닥을 향하여 설치할 것

    마.수분이 많이 발생할 우려가 있는 장소에는 방수형으로 설치할 것

    바.그밖의 설치기준은 형식승인 내용에 따르며 형식승인 사항이 아닌 것은 제조사의 시방에 따라 설치할 것

    68

    소방전기 22년 2회.

    다음은 비상조명등의 우수품질인증 기술기준에서 정하는 비상조명등의 상태를 자동적으로 점검하는 기능에 대한 내용이다. ( )에 들어갈 내용으로 옳은 것은?

    문제이미지

    <비상조명등의 우수품질인증 기술기준>

    제15조(자가점검 및 무선점검시험)

    1. 자가점검시간은 30초 이상 30분 이하로 30일 마다 최소 한번 이상 자동으로 수행하여야 한다.

    2. 자가점검결과 이상상태를 확인할 수 있는 표시 또는 점등(점멸,음향을 포함한다)장치를 설치하여야 한다.

    3. 자가점검기능은 비상전원 충전회로 고장, 예비전원 충전용량 미달 등에 대하여 표시하여야 하며, 기타 제조사가 제시하는 기능을 표시할 수 있다.

    4. 상용전원 및 비상전원의 상태를 무선으로 점검할 수 있는 장치를 설치할 수 있다. 이 경우 최대점검거리 및 시야각 등을 제시하여야 한다.

    69

    소방전기 22년 2회.

    자동화재탐지설비 및 시각경보장치의 화재안전기준(NFSC 203)에 따라 부착 높이가 4m 미만으로 연기감지기 3종을 설치할 때, 바닥면적 몇 m2 마다 1개 이상 설치하여야 하는가?

    <연기감지기>    1종,2종    3종

      4m 미만        150      50

    4m이상 20m미만      75

    70

    소방전기 22년 2회.

    비상방송설비와 자동화재탐지설비의 연동 시 동작 순서로 옳은 것은

    기동장치(감지기에서 화재감지)  -> 수신기(화재신호 받음) ->(요기부터 방송장비) 증폭기(엠프) -> 조작부(자동) -> 확성기(스피커)

    71

    소방전기 22년 2회.

    유도등의 우수품질인증 기술기준에서 정하는 유도등의 일반구조에 적합하지 않은 것은?

    72

    소방전기 22년 2회.

    축광표지의 성능인증 및 제품검사의 기술기준에 따라 피난방향 또는 소방용품 등의 위치를 추가적으로 알려주는 보조역할을 하는 축광보조표지의 설치 위치로 틀린 것은

    73

    소방전기 22년 2회.

    시각경보장치의 성능인증 및 제품검사의 기술기준에 따라 시각 경보장치의 전원부 양단자 또는 양선을 단락시킨 부분과 비충전부를 DC 500V의 절연저항계로 측정하는 경우 절연저항이 몇 ㏁ 이상이어야 하는가

    제10조(절연저항시험)

    -시각경보장치의 전원부 양단자 또는 양선을 단락시킨 부분과 비충전부를 DC 500V의 절연저항계로 측정하는 경우 절연저항이 5M옴 이상이어야 한다

    74

    소방전기 22년 2회.

    누전경보기의 형식승인 및 제품검사의 기술기준에서 정하는 누전경보기의 공칭작동전류치(누전경보기를 작동시키기 위하여 필요한 누설전류의 값으로서 제조자에 의하여 표시된 값을 말한다.)는 몇 ㎃ 이하이어야 하는가

    <누전경보기의 형식승인 및 제품검사의 기술기준>

    제7조(공칭작동전류치)

    (1)누전경보기의 공칭작동전류치(누전경보기를 작동시키기 위하여 필요한 누설전류의 값으로서 제조자에 의하여 표시된 값을 말한다.이하 같다)는 200mA 이하이어야 한다.

    (2)제1항의 규정은 감도조정장치를 가지고 있는 누전경보기에 있어서도 그 조정범위의 최소치에 대하여 이를 적용한다

    75

    소방전기 22년 2회.

    다음은 자동화재속보설비의 속보기의 성능인증 및 제품검사의 기술기준에 따른 속보기에 대한 내용이다. ( )에 들어갈 내용으로 옳은 것은

    문제이미지

    8.속보기는 연동 또는 수동 작동에 의한 다이얼링 후 소방관서와 전화접속이 이루어지지 않는 경우에는 최초 다이얼링을 포함하여 10회 이상 반복적으로 접속을 위한 다이얼링이 이루어져야 한다. 이 경우 매회 다이얼링 완료 후 호출은 30초 이상 지속되어야 한다

    76

    소방전기 22년 2회.

    단독경보형감지기에 대한 설명으로 틀린 것은?

    개별로 구성이 아닌 세트로 구성(자체 내장)

    77

    소방전기 22년 2회.

    비상방송설비의 음향장치는 정격전압의 몇 % 전압에서 음향을 발할 수 있는 것으로 하여야 하는가

    제4조(음향장치)

    12.음향장치는 다음 각 목의 기준에 따른 구조 및 성능의 것으로 하여야 한다.

    가. 정격전압의 80% 전압에서 음향을 발할 수 있는 것으로 할 것

    나. 자동화재탐지설비의 작동과 연동하여 작동할 수 있는 것으로 할 것

    78

    소방전기 22년 2회.

    소방시설용 비상전원수전설비의 화재안전기준(NFSC 602)에 따라 소방회로배선은 일반회로배선과 불연성 벽으로 구획하여야 하나, 소방회로배선과 일반회로배선을 몇 ㎝ 이상 떨어져 설치한 경우에는 그러하지 아니하는가

    제5조(특별고압 또는 고압으로 수전하는 경우)

    (1)일반전기사업자로부터 특별고압 또는 고압으로 수전하는 비상전원 수전설비는 방화구획형,옥외개방형 또는 큐비클형으로 하여야 한다.

    2.소방회로배선은 일반회로배선과 불연성 벽으로 구획할 것. 다만, 소방회로배선과 일반회로배선을 15cm 이상 떨어져 설치한 경우는 그러하지 아니한다.

    79

    소방전기 22년 2회.

    경종의 우수품질인증 기술기준에 따라 경종에 정격전압을 인가한 경우 경종의 소비전류는 몇 mA 이하이어야 하는가

    제4조(기능시험)

    경종은 정격전압을 인가하여 다음 각 호의 기능에 적합하여야 한다.

    1.경종의 중심으로부터 1m 떨어진 위치에서 90dB 이상이어야 하며, 최소청취거리에서 110dB을 초과하지 아니하여야 한다.

    2.경종의 소비전류는 50mA 이하이어야 한다

    80

    소방전기 22년 2회.

    자동화재탐지설비 및 시각경보장치의 화재안전기준(NFSC 203)에 따라 감지기 상호 간 또는 감지기로부터 수신기에 이르는 감지기회로의 배선 중 전자파 방해를 받지 아니하는 쉴드선 등을 사용하지 않아도 되는 것은

    감지기 상호간 또는 감지기로부터 수신기에 이르는 감지기회로의 배선은 다음 각 목의 기준에 따라 설치할 것

    가.아날로그식,다신호식 감지기나 R형 수신기용으로 사용되는 것은 전자파 방해를 받지 아니하는 쉴드선 등을 사용하여야 하며, 광케이블의 경우에는 전자파 방해를 받지 아니하고 내열성능이 있는 경우 사용할 수 있다. 다만, 전자파 방해를 받지 아니하는 방식의 경우에는 그러하지 아니하다.