모두CBT | 국가고시 실기시험 부시기!

6과목(건설공사 안전관리) 201~320 해설 페이지

6과목(건설공사 안전관리) 201~320

    1

    6과목(건설공사 안전관리) 201~320

    ☆☆

    경암 지반을 흙막이지보공 없이 굴착하려 할 때 굴착면의 기울기 기준으로 옳은 것은?


    문제이미지

    2

    6과목(건설공사 안전관리) 201~320

    ☆☆

    풍화암의 굴착면 붕괴에 따른 재해를 예방하기 위한 굴착면의 적정한 기울기 기준은?


    문제이미지

    3

    6과목(건설공사 안전관리) 201~320

    ☆☆

    연암지반을 인력으로 굴착할 때, 연직높이가 2m일 때, 수평길이는 최소 얼마 이상이 필요한가?


    문제이미지

    4

    6과목(건설공사 안전관리) 201~320

    일반적으로 사면의 붕괴위험이 가장 큰 것은?


    사면 수위가 급하강할 때 붕괴위험 가장 크다.

    5

    6과목(건설공사 안전관리) 201~320

    사면의 붕괴 형태의 종류에 해당되지 않는 것은?


    문제이미지

    6

    6과목(건설공사 안전관리) 201~320

    지반조사의 목적에 해당되지 않는 것은?


    ④: 구조물의 편심에 의한 적절한 침하 방지


    지반조사의 목적

    1. 현장 지질구조, 지층 상태, 토질 성질 파악

    2. 구조물 최적 설계를 위한 지반공학적 특 성 파악

    7

    6과목(건설공사 안전관리) 201~320

    ☆☆

    지반조사의 간격 및 깊이에 대한 내용으로 옳지 않은 것은?


    절토, 개착, 터널구간은 기반암의 심도 2m까지 확인한다.

    8

    6과목(건설공사 안전관리) 201~320

    지반조사 보고서 내용에 해당되지 않는 항목은?


    지반조사 보고서 내용

    -지반공학적 조건

    -표준관입시험치, 콘관입저항치 결과분석

    -건설할 구조물 등에 대한 지반특성

    -측량 및 시험장비와 자료

    -지반조사자, 도급자 이름과 소속

    9

    6과목(건설공사 안전관리) 201~320

    지반조사 중 예비조사 단계에서 흙막이 구조물의 종류에 맞는 형식을 선정하기 위한 조사항목과 거리가 먼 것은?


    지반조사의 예비조사 조사 항목

    -인근 지반 지반조사자료나 시공자료 수집

    -기상조건 변동에 따른 영향 검토

    -주변의 환경과 지하수 상황조사

    -인접구조물 크기, 기초 형식 및 그 상황조

    10

    6과목(건설공사 안전관리) 201~320

    흙막이 공법 선정 시 고려사항으로 틀린 것은?


    차수성이 높은 공법 선택

    11

    6과목(건설공사 안전관리) 201~320

    ☆☆

    흙막이 공법을 흙막이 지지방식에 의한 분류와 구조방식에 의한 분류로 나눌 때 다음 중 지지방식에 의한 분류에 해당하는 것은?


    문제이미지

    12

    6과목(건설공사 안전관리) 201~320

    다음 중 흙막이벽 설치공법에 속하지 않는 것은?


    문제이미지

    13

    6과목(건설공사 안전관리) 201~320

    지반조건에 따른 지반개량공법 중 점성토 개량공법과 가장 거리가 먼 것은?


    문제이미지

    14

    6과목(건설공사 안전관리) 201~320

    ☆☆☆☆

    점토질 지반의 침하 및 압밀 재해를 막기 위하여 실시하는 지반개량 탈수공법으로 적당하지 않은 것은?


    문제이미지

    15

    6과목(건설공사 안전관리) 201~320

    사면지반 개량공법으로 옳지 않은 것은?


    ④: 사면 보강공법

    16

    6과목(건설공사 안전관리) 201~320

    ☆☆

    사면 보호 공법 중 구조물에 의한 보호 공법에 해당되지 않는 것은?

    식생구멍공: 식물을 생육시켜 그 뿌리로 사면의 표층토를 고정하여 빗물에 의한 침식, 동상, 이완 등을 방지하고, 녹화에 의한 경관조성을 목적으로 하는 공법

    문제이미지

    17

    6과목(건설공사 안전관리) 201~320

    ☆☆

    건설재해대책의 사면보호공법 중 식물을 생육시켜 그 뿌리로 사면의 표층토를 고정하여 빗물에 의한 침식, 동상, 이완 등을 방지하고, 녹화에 의한 경관조성을 목적으로 시공하는 것은?


    쉴드공: 연약지반, 대수지방에 터널 뚫을 때 사용하는 공법

    문제이미지

    18

    6과목(건설공사 안전관리) 201~320

    ☆☆

    소일네일링(Soil Nailing) 공법의 적용에 한계를 가지는 지반조건에 해당되지 않는 것은?


    소일네일링공: 강철봉을 천공 후 삽입시켜 지반 안정을 도모하며 점성이 있는 모래와 자갈질 지반에는 부적당하다.

    19

    6과목(건설공사 안전관리) 201~320

    토사붕괴의 방지공법이 아닌 것은?


    토사붕괴 방지공법 종류

    배수공/절토공/압성토공/지반보강공(공작물 설치)

    20

    6과목(건설공사 안전관리) 201~320

    굴착공사에서 비탈면 또는 비탈면 하단을 성토하여 붕괴를 방지하는 공법은?


    압성토 공법: 비탈면 또는 비탈면 하단을 성토하여 붕괴를 방지하는 공법

    21

    6과목(건설공사 안전관리) 201~320

    터널 굴착공사에서 뿜어 붙이기 콘크리트의 효과를 설명한 것으로 옳지 않은 것은?


    굴착면의 요철을 줄이고 응력집중을 최대한 완화시킨다.

    22

    6과목(건설공사 안전관리) 201~320

    ☆☆

    구조물 해체작업으로 사용되는 공법이 아닌 것은?


    구조물 해체작업 종류

    잭공법/절단공법/압쇄공법/발파공법 등

    23

    6과목(건설공사 안전관리) 201~320

    ☆☆☆

    온도가 하강함에 따라 토층수가 얼어 부피가 약 9% 정도 증대하게 됨으로써 지표면이 부풀어오르는 현상은?

    리칭현상: 해수에 퇴적된 점토 염분이 담수에 의해 천천히 빠져나가 점토 강도가 저하되는 현상

    액상화현상: 보일링 원인으로 사질지반이 강한 충격 받으면 흙 입자가 수축되어 모래가 액체처럼 이동하는 현상

    문제이미지

    24

    6과목(건설공사 안전관리) 201~320

    ☆☆

    사질지반 굴착 시, 굴착부와 지하수위차가 있을 때 수두차에 의하여 삼투압이 생겨 흙막이벽 근입부분을 침식하는 동시에 모래가 액상화되어 솟아오르는 현상은?


    문제이미지

    25

    6과목(건설공사 안전관리) 201~320

    지반에서 나타나는 보일링(boiling) 현상의 직접적인 원인으로 볼 수 있는 것은?


    문제이미지

    26

    6과목(건설공사 안전관리) 201~320

    보일링(Boiling) 현상에 관한 설명으로 옳지 않은 것은?


    문제이미지

    27

    6과목(건설공사 안전관리) 201~320

    ☆☆☆

    흙막이공의 파괴 원인 중 하나인 보일링(boiling) 현상에 관한 설명으로 틀린 것은?


    문제이미지

    28

    6과목(건설공사 안전관리) 201~320

    흙막이벽의 근입깊이를 깊게 하고, 전면의 굴착부분을 남겨두어 흙의 중량으로 대항하게 하거나, 굴착예정부분의 일부를 미리 굴착하여 기초콘크리트를 타설하는 등의 대책과 가장 관계 깊은 것은?


    문제이미지

    29

    6과목(건설공사 안전관리) 201~320

    흙막이 벽을 설치하여 기초 굴착작업 중 굴착부 바닥이 솟아올랐다. 이에 대한 대책으로 옳지 않은 것은?


    히빙현상에 대한 것이다.

    문제이미지

    30

    6과목(건설공사 안전관리) 201~320

    ☆☆

    히빙(Heaving)현상 방지대책으로 틀린 것은?


    부풀어 솟아오르는 바닥면의 토사를 제거하는 것은 임시방편이고, 방지대책이 아니다.

    31

    6과목(건설공사 안전관리) 201~320

    연약지반의 이상현상 중 하나인 히빙(heaving)현상에 대한 안전대책이 아닌 것은?


    주변 수위를 낮춘다.

    32

    6과목(건설공사 안전관리) 201~320

    히빙(heaving)현상에 대한 안전대책이 아닌 것은?


    굴착저면에 토사 등 인공중력을 증가시킨다.

    33

    6과목(건설공사 안전관리) 201~320

    액상화현상 방지를 위한 안전대책으로 옳지 않는 것은?


    액상화 발생: 모래입경 가늘고 균일한 모래층 지반

    34

    6과목(건설공사 안전관리) 201~320

    표면장력이 흙입자의 이동을 막고 조밀하게 다져지는 것을 방해하는 현상과 관계 깊은 것은?


    압밀: 간극수압 높아져 물 배출되면서 흙 간 극 감소되는 현상

    침하: 하중에 의해 기초 지반 변형되는 것

    벌킹: 표면장력이 흙입자의 이동을 막고 조 밀하게 다져지는 것을 방해하는 현상

    과다짐: 너무 많이 다져 전단파괴 발생하는 것

    35

    6과목(건설공사 안전관리) 201~320

    물로 포화된 점토의 다지기를 하면 압축하중으로 지반이 침하하는데 이로 인하여 간극수압이 높아져 물이 배출되면서 흙의 간극이 감소하는 현상을 무엇이라고 하는가?


    문제이미지

    36

    6과목(건설공사 안전관리) 201~320

    ☆☆

    지름 0.3~1.5m 정도의 우물을 굴착하여 이 속에 우물측관을 삽입하여 속으로 유입하는 지하수를 펌프로 양수하여 지하수위를 낮추는 방법은 무엇인가?


    문제이미지

    37

    6과목(건설공사 안전관리) 201~320

    다음 중 지하수위를 저하시키는 공법은?


    지하수위저하(배수) 공법

    웰포인트/딥웰 공법

    38

    6과목(건설공사 안전관리) 201~320

    ☆☆

    토질시험 중 사질토 시험에서 얻을 수 있는 값이 아닌 것은?


    사질토에 적용되는 시험은 표준관입시험이다.

    이 시험에서 상대밀도/허용지지력/탄성계수/내부마찰각/액상화가능성을 알 수 있다.

    39

    6과목(건설공사 안전관리) 201~320

    ☆☆

    토질시험 중 연약한 점토 지반의 점착력을 판별하기 위하여 실시하는 현장시험은?


    문제이미지

    40

    6과목(건설공사 안전관리) 201~320

    토질시험(soil test)방법 중 전단시험에 해당하지 않는 것은?


    전단시험 종류

    1면전단시험/베인테스트/일축압축시험/삼축압축시험/표준관입시험

    41

    6과목(건설공사 안전관리) 201~320

    토질시험 중 액체 상태의 흙이 건조되어 가면서 약성, 소성, 반고체, 고체 상태의 경계선과 관련된 시험의 명칭은?


    문제이미지

    42

    6과목(건설공사 안전관리) 201~320

    ☆☆☆

    표준관입시험에 관한 설명으로 옳지 않은 것은?


    문제이미지

    43

    6과목(건설공사 안전관리) 201~320

    ☆☆

    표준관입시험에서 30cm 관입에 필요한 타격회수(N)가 50 이상일 때 모래의 상대밀도는 어떤 상태인가?


    문제이미지

    44

    6과목(건설공사 안전관리) 201~320

    다음 중 직접기초의 터파기 공법이 아닌 것은?


    시트파일 공법; 흙막이 공법


    터파기 공법 종류

    개착/트렌치 컷/아일랜드 컷/탑다운 공법

    45

    6과목(건설공사 안전관리) 201~320

    본 터널(main tunnel)을 시공하기 전에 터널에서 약간 떨어진 곳에 지질조사, 환기, 배수, 운반 등의 상태를 알아보기 위하여 설치하는 터널은?


    문제이미지

    46

    6과목(건설공사 안전관리) 201~320

    폭우 시 옹벽 배면의 배수시설이 취약하면 옹벽 저면을 통하여 침투수(seepage)의 수위가 올라간다. 이 침투수가 옹벽의 안정에 미치는 영향으로 옳지 않은 것은?


    옹벽 배면토의 단위수량 증가로 인한 수직 저항력 감소

    47

    6과목(건설공사 안전관리) 201~320

    건축물의 해체공사에 대한 설명으로 틀린 것은?


    핸드 브레이커(Hand breaker) 사용 시 수직으로 파쇄하는 것이 좋다. (파손방지)

    48

    6과목(건설공사 안전관리) 201~320

    ☆☆

    압쇄기를 사용하여 건물해체 시 그 순서로 가장 타당한 것은?


    A: 보 B: 기둥 C: 슬래브 D: 벽체

    압쇄기에 의한 파쇄작업순서는 슬라브, 보, 벽체, 기둥의 순서로 해체하여야 한다.

    49

    6과목(건설공사 안전관리) 201~320

    도심지 폭파해체공법에 관한 설명으로 옳지 않은 것은?


    ①: 공사기간 내내 진동, 소음이 큰 것은 아니다.

    ③: 주위의 구조물에 끼치는 영향이 크다.

    50

    6과목(건설공사 안전관리) 201~320

    해체공사에 있어서 발생되는 진동공해에 대한 설명으로 틀린 것은?


    일반적으로 연직진동이 수평진동보다 크다.

    51

    6과목(건설공사 안전관리) 201~320

    ☆☆☆☆

    달비계에 사용하는 와이어로프의 사용금지 기준으로 틀린 것은?

    다음 각 목의 어느 하나에 해당하는 와이어로프를 달비계에 사용해서는 아니 된다.

    1. 이음매가 있는 것

    2. 와이어로프의 한 꼬임에서 끊어진 소선의 수가 10% 이상인 것

    3. 지름 감소가 공칭지름의 7%를 초과하는 것

    4. 꼬인 것

    5. 심하게 변형되거나 부식된 것

    6. 열과 전기충격에 의해 손상된 것

    52

    6과목(건설공사 안전관리) 201~320

    ☆☆

    항타기 또는 항발기의 권상용 와이어로프의 사용금지기준에 해당하지 않는 것은?

    산업안전보건기준에관한규칙다음 각 목의 어느 하나에 해당하는 와이어로프를 달비계에 사용해서는 아니 된다.

    1. 이음매가 있는 것

    2. 와이어로프의 한 꼬임에서 끊어진 소선의 수가 10% 이상인 것

    3. 지름 감소가 공칭지름의 7%를 초과하는 것

    4. 꼬인 것

    5. 심하게 변형되거나 부식된 것

    6. 열과 전기충격에 의해 손상된 것

    53

    6과목(건설공사 안전관리) 201~320

    건설현장에 달비계를 설치하여 작업 시 달비계에 사용가능한 와이어로프로 볼 수 있는 것은?

    산업안전보건기준에관한규칙다음 각 목의 어느 하나에 해당하는 와이어로프를 달비계에 사용해서는 아니 된다.

    1. 이음매가 있는 것

    2. 와이어로프의 한 꼬임에서 끊어진 소선의 수가 10% 이상인 것

    3. 지름 감소가 공칭지름의 7%를 초과하는 것

    4. 꼬인 것

    5. 심하게 변형되거나 부식된 것

    6. 열과 전기충격에 의해 손상된 것

    54

    6과목(건설공사 안전관리) 201~320

    ☆☆

    다음 중 방망에 표시해야 할 사항이 아닌 것은?

    방망에는 보기 쉬운 곳에 다음 각 호의 사항을 표시하여야 한다.

    1. 제조자명

    2. 제조연월

    3. 재봉치수

    4. 그물코

    5. 신품일 때의 방망의 강도

    55

    6과목(건설공사 안전관리) 201~320

    항타기 또는 항발기에 사용되는 권상용와이어로프의 안전계수는 최소 얼마 이상이어야 하는가?

    사업주는 항타기 또는 항발기의 권상용 와이어로프의 안전계수가 5 이상이 아니면 이를 사용해서는 아니 된다.

    56

    6과목(건설공사 안전관리) 201~320

    ☆☆

    양중기에 사용하는 와이어로프에서 화물의 하중을 직접 지지하는 달기와이어로프 또는 달기체인의 안전계수 기준은?

    1. 근로자가 탑승하는 운반구를 지지하는 달 기와이어로프 또는 달기체인의 경우: 10 이상

    2. 화물의 하중을 직접 지지하는 달기와이어 로프 또는 달기체인의 경우: 5 이상

    3. 훅, 샤클, 클램프, 리프팅 빔의 경우: 3 이상

    4. 그 밖의 경우: 4 이상

    57

    6과목(건설공사 안전관리) 201~320

    작업장소가 파괴되기 쉬운 암반일 때 뿜어붙이기 콘크리트의 최소 두께는?

    지반 및 암반의 상태에 따라 뿜어붙이기 콘크리트의 최소 두께는 다음 각목의 기준 이상이어야 한다.

    가. 약간 취약한 암반: 2㎝

    나. 약간 파괴되기 쉬운 암반: 3㎝

    다. 파괴되기 쉬운 암반: 5㎝

    라. 매우 파괴되기 쉬운 암반: 7㎝(철망병용)

    마. 팽창성의 암반: 15㎝(강재 지보공과 철망병용)

    58

    6과목(건설공사 안전관리) 201~320

    콘크리트 타설 이후 발생되는 블리딩(bleeding)을 방지하기 위한 대책으로 옳지 않은 것은?


    ②: 분말도가 높은 시멘트를 사용한다.

    59

    6과목(건설공사 안전관리) 201~320

    ☆☆

    콘크리트의 압축강도에 영향을 주는 요소로 가장 거리가 먼 것은?


    콘크리트 압축강도 영향인자

    콘크리트 양생온도와 습도, 재령/물과 시멘트비/배합설계/양생과정/공기량/타설

    60

    6과목(건설공사 안전관리) 201~320

    ☆☆☆☆☆

    콘크리트 타설 시 거푸집 측압에 대한 설명 중 틀린 것은?


    문제이미지

    61

    6과목(건설공사 안전관리) 201~320

    콘크리트 타설 시 거푸집의 측압에 영향을 미치는 인자들에 관한 설명으로 옳지 않은 것은?


    문제이미지

    62

    6과목(건설공사 안전관리) 201~320

    겨울철 공사 중인 건축물의 벽체 콘크리트 타설 시 거푸집이 터져서 콘크리트 쏟아지는 사고가 발생하였다. 이 사고의 발생 원인으로 추정 가능한 사안 중 가장 타당한 것은?


    겨울이라 외기온도가 낮아 측압이 큰 상태인데 타설속도까지 빨랐으니 사고가 발생한 것 같다.

    63

    6과목(건설공사 안전관리) 201~320

    ☆☆☆

    콘크리트 타설을 위한 거푸집 동바리의 구조검토 시 가장 선행되어야 할 작업은?

    거푸집 동바리 구조검토 순서

    1. 거푸집 동바리에 작용하는 하중 및 외력의 종류, 크기를 산정한다.

    2. 하중, 외력에 의하여 각 부재에 발생되는 응력을 구한다.

    3. 각 부재에 발생되는 응력에 대하여 안전 한단면 및 배치간격을 결정한다.

    64

    6과목(건설공사 안전관리) 201~320

    ☆☆☆☆☆

    다음 중 유해위험방지계획서 제출 대상 공사가 아닌 것은?

    1. 다음 각 목의 어느 하나에 해당하는 건축물 또는 시설 등의 건설ㆍ개조 또는 해체 (이하 “건설 등”이라 한다) 공사

    가. 지상높이가 31미터 이상인 건축물 또 는 인공구조물

    나. 연면적 3만제곱미터 이상인 건축물

    다. 연면적 5천제곱미터 이상인 시설로서 다 음의 어느 하나에 해당하는 시설

    1) 문화 및 집회시설(전시장 및 동물원ㆍ식물원은 제외한다)

    2) 판매시설, 운수시설(고속철도의 역사 및 집배송 시설은 제외한다)

    3) 종교시설

    4) 의료시설 중 종합병원

    5) 숙박시설 중 관광숙박시설

    6) 지하도상가

    7) 냉동ㆍ냉장 창고시설

    2. 연면적 5천제곱미터 이상인 냉동ㆍ냉장 창고시설의 설비공사 및 단열공사

    3. 최대 지간(支間)길이(다리의 기둥과 기둥의 중심사이의 거리)가 50미터 이상인 다 리의 건설등 공사

    4. 터널의 건설등 공사

    5. 다목적댐, 발전용댐, 저수용량 2천만톤 이상의 용수 전용 댐 및 지방상수도 전용 댐의 건설등 공사

    6. 깊이 10미터 이상인 굴착공사

    65

    6과목(건설공사 안전관리) 201~320

    ☆☆☆☆

    건설공사 유해ㆍ위험방지계획서를 제출해야할 대상 공사에 해당하지 않는 것은?

    1. 다음 각 목의 어느 하나에 해당하는 건축물 또는 시설 등의 건설ㆍ개조 또는 해체 (이하 “건설 등”이라 한다) 공사

    가. 지상높이가 31미터 이상인 건축물 또 는 인공구조물

    나. 연면적 3만제곱미터 이상인 건축물

    다. 연면적 5천제곱미터 이상인 시설로서 다 음의 어느 하나에 해당하는 시설

    1) 문화 및 집회시설(전시장 및 동물원ㆍ식물원은 제외한다)

    2) 판매시설, 운수시설(고속철도의 역사 및 집배송 시설은 제외한다)

    3) 종교시설

    4) 의료시설 중 종합병원

    5) 숙박시설 중 관광숙박시설

    6) 지하도상가

    7) 냉동ㆍ냉장 창고시설

    2. 연면적 5천제곱미터 이상인 냉동ㆍ냉장 창고시설의 설비공사 및 단열공사

    3. 최대 지간(支間)길이(다리의 기둥과 기둥의 중심사이의 거리)가 50미터 이상인 다 리의 건설등 공사

    4. 터널의 건설등 공사

    5. 다목적댐, 발전용댐, 저수용량 2천만톤 이상의 용수 전용 댐 및 지방상수도 전용 댐의 건설등 공사

    6. 깊이 10미터 이상인 굴착공사

    66

    6과목(건설공사 안전관리) 201~320

    ☆☆☆

    건설업 중 교량건설 공사의 유해위험방지계획서를 제출하여야 하는 기준으로 옳은 것은?

    1. 다음 각 목의 어느 하나에 해당하는 건축물 또는 시설 등의 건설ㆍ개조 또는 해체 (이하 “건설 등”이라 한다) 공사

    가. 지상높이가 31미터 이상인 건축물 또 는 인공구조물

    나. 연면적 3만제곱미터 이상인 건축물

    다. 연면적 5천제곱미터 이상인 시설로서 다 음의 어느 하나에 해당하는 시설

    1) 문화 및 집회시설(전시장 및 동물원ㆍ식물원은 제외한다)

    2) 판매시설, 운수시설(고속철도의 역사 및 집배송 시설은 제외한다)

    3) 종교시설

    4) 의료시설 중 종합병원

    5) 숙박시설 중 관광숙박시설

    6) 지하도상가

    7) 냉동ㆍ냉장 창고시설

    2. 연면적 5천제곱미터 이상인 냉동ㆍ냉장 창고시설의 설비공사 및 단열공사

    3. 최대 지간(支間)길이(다리의 기둥과 기둥의 중심사이의 거리)가 50미터 이상인 다 리의 건설등 공사

    4. 터널의 건설등 공사

    5. 다목적댐, 발전용댐, 저수용량 2천만톤 이상의 용수 전용 댐 및 지방상수도 전용 댐의 건설등 공사

    6. 깊이 10미터 이상인 굴착공사

    67

    6과목(건설공사 안전관리) 201~320

    사업주가 유해위험방지 계획서 제출 후 건설공사 중 6개월 이내마다 안전보건공단의 확인사항을 받아야 할 내용이 아닌 것은?

    유해위험방지 계획서를 제출한 사업주는 해당 건설물ㆍ기계ㆍ기구 및 설비의 시운전단계에서 사업주는 건설공사 중 6개월 이내마다 법에 따라 다음 각 호의 사항에 관하여 공단의 확인을 받아야 한다.

    1. 유해위험방지 계획서의 내용과 실제공사 내용이 부합하는지 여부

    2. 유해위험방지 계획서 변경내용 적정성

    3. 추가적인 유해ㆍ위험요인의 존재 여부

    68

    6과목(건설공사 안전관리) 201~320

    ☆☆☆☆

    유해위험방지 계획서를 제출하려고 할 때 그 첨부서류와 가장 거리가 먼 것은?


    문제이미지

    69

    6과목(건설공사 안전관리) 201~320

    ☆☆

    건설업 유해위험방지계획서 제출 시 첨부서류에 해당되지 않는 것은?


    문제이미지

    70

    6과목(건설공사 안전관리) 201~320

    건설공사의 유해위험방지계획서 제출 기준일로 옳은 것은?

    사업주가 유해위험방지계획서를 제출할 때에는 건설공사 유해위험방지계획서에 서류를 첨부하여 해당 공사의 착공(유해위험방지계획서 작성 대상 시설물 또는 구조물의 공사를 시작하는 것을 말하며, 대지 정리 및 가설사무소 설치 등의 공사 준비기간은 착공으로 보지 않는다) 전날까지 공단에 2부를 제출해야 한다.

    71

    6과목(건설공사 안전관리) 201~320

    건설공사 위험성평가에 관한 내용으로 옳지 않은 것은?

    -사업주가 법에 따라 위험성평가의 결과와 조치사항을 기록ㆍ보존할 때에는 다음 각호의 사항이 포함되어야 한다.

    1. 위험성평가 대상의 유해ㆍ위험요인

    2. 위험성 결정의 내용

    3. 위험성 결정에 따른 조치의 내용

    4. 그 밖에 위험성평가의 실시내용을 확인하기 위하여 필요한 사항으로서 고용노동부 장관이 정하여 고시하는 사항

    -사업주는 제1항에 따른 자료를 3년간 보존해야 한다.

    72

    6과목(건설공사 안전관리) 201~320

    건설현장에서 사용하는 임시조명기구에 대한 안전대책으로 옳지 않은 것은?

    2월전기설비 안전요령

    임시 조명기구에 대한 안전대책

    ⑴ 모든 조명기구에는 외부의 충격으로부터 보호할 수 있는 보호망을 씌운다.

    ⑵ 이동식 조명기구의 배선은 유연성이 좋은 코드선을 사용한다.

    ⑶ 이동식 조명기구의 손잡이는 금속체가 아닌 절연재로 제작한다.

    ⑷ 이동식 조명기구를 일정한 장소에 고정할시는 견고한 받침대를 사용한다.

    73

    6과목(건설공사 안전관리) 201~320

    동력으로 작동되는 문을 설치하는 경우 설치기준으로 옳지 않은 것은?

    사업주는 동력으로 작동되는 문을 설치하는 경우 다음 각 호의 기준에 맞는 구조로 설치해야 한다.

    1. 동력으로 작동되는 문에 근로자가 끼일 위험이 있는 2.5미터 높이까지는 위급하거나 위험한 사태가 발생한 경우에 문의 작동을 정지시킬 수 있도록 비상정지장치 설치 등 필요한 조치를 할 것. 다만, 위험구역에 사람이 없어야만 문이 작동되도록 안전장치가 설치되어 있거나 운전자가 특별히 지정되어 상시 조작하는 경우에는 그러하지 아니하다.

    2. 동력으로 작동되는 문의 비상정지장치는 근로자가 잘 알아볼 수 있고 쉽게 조작할 수 있을 것

    3. 동력으로 작동되는 문의 동력이 끊어진 경우에는 즉시 정지되도록 할 것. 다만, 방화문의 경우에는 그러하지 아니하다.

    4. 수동으로 열고 닫을 수 있도록 할 것. 다만, 동력으로 작동되는 문에 수동으로 열고 닫을 수 있는 문을 별도로 설치하여 근로자가 통행할 수 있도록 한 경우에는 그러하지 아니하다.

    5. 동력으로 작동되는 문을 수동으로 조작하는 경우에는 제어장치에 의하여 즉시 정지시킬 수 있는 구조일 것

    74

    6과목(건설공사 안전관리) 201~320

    계측장치를 설치하여 계측결과를 확인하고 그 결과를 통하여 안전성을 검토하는 등 위험을 방지하기 위한 조치를 해야 하는 경우로 옳지 않은 것은?

    사업주는 다음 각 호의 어느 하나에 해당하는 경우에는 그에 필요한 계측장치를 설치하여 계측결과를 확인하고 그 결과를 통하여 안전성을 검토하는 등 위험을 방지하기 위한 조치를 해야 한다.

    1. 건설공사에 대한 유해위험방지계획서 심사 시 계측시공을 지시받은 경우

    2. 건설공사에서 토사등이나 구축물등의 붕괴로 근로자가 위험해질 우려가 있는 경우

    3. 설계도서에서 계측장치를 설치하도록 하고 있는 경우

    75

    6과목(건설공사 안전관리) 201~320

    버력처리 장비 선정시 고려사항이 아닌 것은?

    버력처리 장비는 다음 각목의 사항을 고려하여 선정하고 사토장거리, 운행속도 등의 작업계획을 수립한 후 작업하여야 한다.

    가. 굴착단면 크기 및 단위발파 버력의 물량

    나. 터널 경사도

    다. 굴착방식

    라. 버력의 상상 및 함수비

    마. 운반 통로의 노면상태

    76

    6과목(건설공사 안전관리) 201~320

    걸이자 및 보조자는 관계자와 작업내용 등에 대하여 협의하여야 할 작업으로 아닌 것은?

    다음 각 호의 작업을 할 경우 걸이자 및 보조자는 관계자와 작업내용 등에 대하여 협의하여야 한다.

    1. 좁은 장소나 장애물이 있는 장소에서의 걸이

    2. 트럭이나 대차상에서의 걸이

    3. 물체를 반전, 전도시키기 위한 걸이

    4. 긴 물체, 중량물, 이형물 등의 걸이

    77

    6과목(건설공사 안전관리) 201~320

    우회로를 설치하여 사용할 때 준수사항으로 옳지 않은 것은?

    사업주는 우회로를 설치하여 사용함에 있어서 다음 각 호의 사항을 준수하여야 한다.

    1. 교통량을 유지시킬 수 있도록 계획되어야 한다.

    2. 시공중인 교량이나 높은 구조물의 밑을 통과해서는 안되며 부득이 시공중인 교량이나 높은 구조물의 밑을 통과하여야 할 경우에는 필요한 안전조치를 해야 한다.

    3. 모든 교통통제나 신호등은 교통법규에 적합하도록 하여야 한다.

    4. 우회로는 항시 유지보수 되도록 확실한 점검을 실시하여야 하며 필요한 경우에는 가설등을 설치하여야 한다.

    5. 우회로의 사용이 완료되면 모든 것을 원상복구하여야 한다.

    78

    6과목(건설공사 안전관리) 201~320

    레버풀러 또는 체인블록 사용 시 준수사항으로 옳지 않은 것은?

    사업주는 레버풀러(lever puller) 또는 체인블록(chain block)을 사용하는 경우 다음 각 호의 사항을 준수하여야 한다.

    1. 정격하중을 초과하여 사용하지 말 것

    2. 레버풀러 작업 중 훅이 빠져 튕길 우려가 있을 경우에는 훅을 대상물에 직접 걸지 말고 피벗클램프(pivot clamp)나 러그(lug)를 연결하여 사용할 것

    3. 레버풀러의 레버에 파이프 등을 끼워서 사용하지 말 것

    4. 체인블록의 상부 훅(top hook)은 인양하중에 충분히 견디는 강도를 갖고, 정확히 지탱될 수 있는 곳에 걸어서 사용할 것

    5. 훅의 입구(hook mouth) 간격이 제조자가 제공하는 제품사양서 기준으로 10퍼센트 이상 벌어진 것은 폐기할 것

    6. 체인블록은 체인의 꼬임과 헝클어지지 않도록 할 것

    7. 훅은 변형, 파손, 부식, 마모되거나 균열된 것을 사용하지 않도록 조치할 것

    8. 다음 각 목의 어느 하나에 해당하는 체인을 사용하지 않도록 조치할 것

    가. 변형, 파손, 부식, 마모되거나 균열된 것

    나. 체인의 길이가 체인이 제조된 때의 길이의 5퍼센트를 초과한 것

    다. 링의 단면지름이 체인이 제조된 때의 해당 링의 지름의 10퍼센트를 초과하여 감소한 것

    79

    6과목(건설공사 안전관리) 201~320

    철골건립에 앞서 완성된 기초에 대하여 확인해야 할 사항으로 옳지 않은 것은?

    철골건립에 앞서 완성된 기초에 대하여는 다음 각호의 사항을 확인하여야 한다.

    1. 기둥간격, 수직, 수평도 등의 기본치수를 측정하여 확인해야 한다.

    2. 부정확하게 설치된 앵커 볼트는 수정하여야 한다.

    3. 철골기초 콘크리트의 배합강도는 설계기준과 동일한지 확인하여야 한다.

    80

    6과목(건설공사 안전관리) 201~320

    록 볼트 삽입간격 및 길이의 기준 결정시 고려사항으로 옳지 않은 것은?

    록 볼트 삽입간격 및 길이의 기준은 다음 각 목의 사항을 고려하여 결정하여야 한다.

    가. 원지반의 강도와 암반특성

    나. 절리의 간격 및 방향

    다. 터널의 단면규격

    라. 사용목적

    81

    6과목(건설공사 안전관리) 201~320

    진동작업에 해당하지 않는 작업은?

    진동작업이란 다음 각 목의 어느 하나에 해당하는 기계ㆍ기구 사용하는 작업을 말한다.

    가. 착암기(鑿巖機)

    나. 동력을 이용한 해머

    다. 체인톱

    라. 엔진 커터(engine cutter)

    마. 동력을 이용한 연삭기

    바. 임팩트 렌치(impact wrench)

    사. 그 밖에 진동으로 인하여 건강장해를 유발할 수 있는 기계ㆍ기구

    82

    6과목(건설공사 안전관리) 201~320

    안전보건조정자 업무로 옳지 않은 것은?


    안전보건조정자 업무는 다음 각 호와 같다.

    1. 같은 장소에서 이루어지는 각각의 공사간에 혼재된 작업의 파악

    2. 제1호에 따른 혼재된 작업으로 인한 산업재해 발생의 위험성 파악

    3. 제1호에 따른 혼재된 작업으로 인한 산업재해를 예방하기 위한 작업의 시기ㆍ내용 및 안전보건 조치 등의 조정

    4. 각각의 공사 도급인의 안전보건관리책임자 간 작업 내용에 관한 정보 공유 여부의 확인

    83

    6과목(건설공사 안전관리) 201~320

    가설공사 표준안전 작업지침상 신호수의 자격으로 옳지 않은 것은?

    신호수는 책임감 있고 임무숙지는 물론 잘 훈련되고 경험있는 자로 하여야 한다.

    84

    6과목(건설공사 안전관리) 201~320

    ☆☆☆☆☆☆

    건설업 산업안전보건관리비 중 계상비용에 해당되지 않는 것은?

    도급인과 자기공사자는 안전보건관리비를 산업재해예방 목적으로 다음 각 호의 기준에 따라 사용하여야 한다.

    1. 안전관리자ㆍ보건관리자의 임금 등

    2. 안전시설비 등

    3. 보호구 등

    4. 안전보건진단비 등

    5. 안전보건교육비 등

    6. 근로자 건강장해예방비 등

    7. 건설재해예방전문지도기관의 지도에 대한 대가로 지급하는 비용

    8. 본사 전담조직 근로자 임금

    9. 위험성평가에 따른 소요비용

    85

    6과목(건설공사 안전관리) 201~320

    안전시설비로 불가능한 것은?

    안전시설비

    가. 산업재해 예방을 위한 안전난간, 추락방호망, 안전대 부착설비, 방호장치(기계ㆍ기구와 방호장치가 일체로 제작된 경우, 방호장치 부분의 가액에 한함) 등 안전시설의 구입ㆍ임대 및 설치를 위해 소요되는 비용

    나. 「산업재해예방시설자금 융자금 지원사업 및 보조금 지급사업 운영규정」(고용노동부고시) 제2조제12호에 따른 "스마트안전장비 지원사업" 및 「건설기술진흥법」 제62조의3에 따른 스마트 안전장비 구입ㆍ임대 비용. 다만, 제4조에 따라 계상된 산업안전보건관리비 총액의 10분의 1을 초과할 수 없다.

    다. 용접 작업 등 화재 위험작업 시 사용하는 소화기의 구입ㆍ임대비용

    86

    6과목(건설공사 안전관리) 201~320

    ☆☆

    건설업 산업안전보건관리비 계상 및 사용기준(고용노동부 고시)은 산업재해보상보험법의 적용을 받는 공사 중 총 공사금액이 얼마 이상인 공사에 적용하는가?

    건설업 산업안전보건관리비 계상 및 사용기준/3조

    총 공사금액 2천만 원 이상인 공사에 적용한다.

    87

    6과목(건설공사 안전관리) 201~320

    산업안전보건관리비의 효율적인 집행을 위하여 고용노동부장관이 정할 수 있는 기준에 해당되지 않는 것은?

    고용노동부장관 산업안전보건관리비의 효율적인 사용을 위하여 다음 각 호의 사항을 정할 수 있다.

    1. 사업의 규모별ㆍ종류별 계상 기준

    2. 건설공사의 진척 정도에 따른 사용비율 등 기준

    3. 그 밖에 산업안전보건관리비의 사용에 필 요한 사항

    88

    6과목(건설공사 안전관리) 201~320

    ☆☆☆

    공정률이 65%인 건설현장의 경우 공사 진척에 따른 산업안전보건관리비의 최소 사용기준으로 옳은 것은?


    문제이미지

    89

    6과목(건설공사 안전관리) 201~320

    ☆☆☆☆☆☆

    산업안전보건관리비계상기준에 따른 건축공사, 대상액 「5억원 이상 ~ 50억원 미만」의 안전관리비 비율 및 기초액으로 옳은 것은?


    문제이미지

    90

    6과목(건설공사 안전관리) 201~320

    산업안전보건관리비 계상 및 사용기준에 따른 공사 종류별 계상기준으로 옳은 것은?

    (단, 중건설공사이고, 대상액이 5억원 미만인 경우)


    문제이미지

    91

    6과목(건설공사 안전관리) 201~320

    건설공사의 산업안전보건관리비 계상 시 대상액이 구분되어 있지 않은 공사는 도급계약 또는 자체사업계획상의 총 공사금액 중 얼마를 대상액으로 하는가?

    대상액이 명확하지 않은 경우: 도급계약 또는 자체사업계획상 책정된 총공사금액의 10분의 7에 해당하는 금액을 대상액으로 하고 제1호 및 제2호에서 정한 기준에 따라 계상

    92

    6과목(건설공사 안전관리) 201~320

    건설업 산업안전보건관리비의 사용내역에 대하여 수급인 또는 자기공사자는 공사 시작 후 몇개월마다 1회 이상 발주자 또는 감리원의 확인을 받아야 하는가?

    도급인은 산업안전보건관리비 사용내역에 대하여 공사 시작 후 6개월마다 1회 이상 발주자 또는 감리자의 확인을 받아야 한다. 다만, 6개월 이내에 공사가 종료되는 경우에는 종료 시 확인을 받아야 한다.

    93

    6과목(건설공사 안전관리) 201~320

    ☆☆

    다음은 산업안전보건법령에 따른 산업안전보건관리비의 사용에 관한 규정이다. ( )안에 들어갈 내용을 순서대로 옳게 작성한 것은?


    건설공사도급인은 고용노동부장관이 정하는바에 따라 해당 건설공사를 위하여 계상된 산업안전보건관리비를 그가 사용하는 근로자와 그의 관계수급인이 사용하는 근로자의 산업재해 및 건강장해 예방에 사용하고, 그 사용명세서를 ( ) 작성하고 건설공사 종료 후 ( )간 보존해야 한다.

    건설공사도급인은 법에 따라 산업안전보건관리비를 사용하는 해당 건설공사의 금액(고용노동부장관이 정하여 고시하는 방법에 따라 산정한 금액을 말한다)이 4천만원 이상인 때 에는 고용노동부장관이 정하는 바에 따라 매월(건설공사가 1개월 이내에 종료되는 사업의 경우에는 해당 건설공사가 끝나는 날이 속하는 달을 말한다) 사용명세서를 작성하고, 건설공사 종료 후 1년 동안 보존해야 한다.

    94

    6과목(건설공사 안전관리) 201~320

    사업의 종류가 건설업이고, 공사금액이 850억원일 경우 산업안전보건법령에 따른 안전관리자를 최소 몇 명 이상 두어야 하는가?

    (단, 상시근로자는 600명으로 가정)


    문제이미지

    95

    6과목(건설공사 안전관리) 201~320

    ☆☆

    크레인 또는 데릭에서 붐 각도 및 작업반경 별로 작용시킬 수 있는 최대하중에서 후크(Hook), 와이어로프 등 달기구의 중량을 공제한 하중은?


    문제이미지

    96

    6과목(건설공사 안전관리) 201~320

    중량물 운반 시 크레인에 매달아 올릴 수 있는 최대하중으로부터 달기 기구의 중량에 상당하는 하중을 제외한 하중은?


    문제이미지

    97

    6과목(건설공사 안전관리) 201~320

    흙막이 계측기의 종류 중 주변 지반의 변형을 측정하는 기계는?


    문제이미지

    98

    6과목(건설공사 안전관리) 201~320

    ☆☆☆

    흙막이 가시설 공사 시 사용되는 각 계측기 설치 목적으로 옳지 않은 것은?


    문제이미지

    99

    6과목(건설공사 안전관리) 201~320

    버팀보, 앵커 등의 축하중 변화상태를 측정하여 이들 부재의 지지효과 및 그 변화 추이를 파악하는데 사용되는 계측기기는?


    문제이미지

    100

    6과목(건설공사 안전관리) 201~320

    깊이 10.5m 이상의 굴착의 경우 계측기기를 설치하여 흙막이 구조의 안전을 예측하여야 한다. 이에 해당하지 않는 계측기기는?

    깊이 10.5m 이상의 굴착의 경우 아래 각 목의 계측기기의 설치에 의하여 흙막이 구조의 안전을 예측하여야 하며, 설치가 불가능할 경우 트랜싯 및 레벨 측량기에 의해 수직·수평 변위 측정을 실시하여야 한다.

    가. 수위계

    나. 경사계

    다. 하중 및 침하계

    라. 응력계

    101

    6과목(건설공사 안전관리) 201~320

    개착식 흙막이벽의 계측 내용에 해당되지 않는 것은?


    내공변위 측정은 개착식 흙막이벽 계측 항목이 아니다.

    102

    6과목(건설공사 안전관리) 201~320

    ☆☆

    지표면에서 소정의 위치까지 파내려간 후 구조물을 축조하고 되메운 후 지표면을 원상태로 복구시키는 공법은?


    문제이미지

    103

    6과목(건설공사 안전관리) 201~320

    건설공사 시공단계에 있어서 안전관리의 문제점에 해당되는 것은?


    발주자의 감독이 소홀하여 산업재해가 발생한다.

    104

    6과목(건설공사 안전관리) 201~320

    ☆☆

    건설현장에서 작업환경을 측정해야 할 작업에 해당되지 않는 것은?


    ①/②/④: 산소농도 측정을 한다.

    105

    6과목(건설공사 안전관리) 201~320

    철골용접부의 내부결함을 검사하는 방법으로 가장 거리가 먼 것은?


    비파괴검사 종류

    음향탐상/초음파탐상/자분탐상/와류탐상/

    침투탐상/방사선투과 시험

    106

    6과목(건설공사 안전관리) 201~320

    감전재해의 직접적인 요인으로 가장 거리가 먼 것은?


    전격현상 위험도

    통전전류 크기 > 통전경로 > 통전시간 > 전원 종류(교류>직류) > 주파수, 파형

    107

    6과목(건설공사 안전관리) 201~320

    흙의 특성으로 옳지 않은 것은?


    흙은 비선형 재료이며 응력-변형률 관계가 일정하지 않다.

    108

    6과목(건설공사 안전관리) 201~320

    토공사에서 성토재료의 일반조건으로 옳지 않은 것은?


    함수율이 낮은 토사일 것

    109

    6과목(건설공사 안전관리) 201~320

    ☆☆

    흙의 투수계수에 영향을 주는 인자에 관한 설명으로 옳지 않은 것은?


    지반의 투수계수에 영향을 주는 인자

    유체: 점성계수/밀도/단위중량

    토립자: 공극비/모양/입경/포화도

    110

    6과목(건설공사 안전관리) 201~320

    흙의 간극비(공극비)를 나타낸 식으로 옳은 것은?

    간극비(공극비) = 공기+물체적흙체적\dfrac {공기 + 물 체적} {흙 체적}

    111

    6과목(건설공사 안전관리) 201~320

    다음 중 철골공사시의 안전작업방법 및 준수사항으로 옳지 않은 것은?

    구명줄을 설치할 경우에는 1가닥의 구명줄을 여러명이 동시에 사용하지 않도록 하여야 하며 구명줄을 마닐라 로우프 직경 16밀리미터를 기준하여 설치하고 작업방법을 충분히 검토하여야 한다.

    112

    6과목(건설공사 안전관리) 201~320

    안전 정도를 표시하는 것으로서 재료의 파괴응력도와 허용응력도 비율을 의미하는 것은?


    안전률: 안전의 정도를 표시하는 것으로서 재료의 파괴응력도와 허용응력도의 비율

    113

    6과목(건설공사 안전관리) 201~320

    ☆☆☆

    철골공사 시 사전안전성 확보를 위해 공작도에 반영하여야 할 사항이 아닌 것은?

    건립 후에 가설부재나 부품을 부착하는 것은 위험한 작업(고소작업 등)이 예상되므로 다음 각 목의 사항을 사전에 계획하여 공작도에 포함시켜야 한다.

    가. 외부비계받이 및 화물승강설비용 브라켓

    나. 기둥 승강용 트랩

    다. 구명줄 설치용 고리

    라. 건립에 필요한 와이어 걸이용 고리

    마. 난간 설치용 부재

    바. 기둥 및 보 중앙의 안전대 설치용 고리

    사. 방망 설치용 부재

    아. 비계 연결용 부재

    자. 방호선반 설치용 부재

    차. 양중기 설치용 보강재

    114

    6과목(건설공사 안전관리) 201~320

    ☆☆☆

    안전계수가 4이고 2,000kg/cm2의 인장강도를 갖는 강선의 최대허용응력은?


    문제이미지

    115

    6과목(건설공사 안전관리) 201~320

    ☆☆☆

    권상용 와이어로프의 절단하중이 200ton일 때 와이어로프에 걸리는 최대하중은? (단, 안전계수는 5임)


    문제이미지

    116

    6과목(건설공사 안전관리) 201~320

    거푸집동바리 구조에서 높이가 L=3.5m인 파이프서포트의 좌굴하중은?

     (단, 상부받이판과 하부받이판은 힌지로 가정하고, 단면 2차모멘트I=8.31cm4, 탄성계수E=2.1× 105MPa)


    문제이미지

    117

    6과목(건설공사 안전관리) 201~320

    ☆☆☆

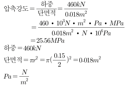
    지름이 15cm이고 높이가 30cm인 원기둥 콘크리트 공시체에 대해 압축강도시험을 한 결과 460kN에 파괴되었다. 이때 콘크리트 압축강도는?


    문제이미지

    118

    6과목(건설공사 안전관리) 201~320

    다음 그림과 같이 굴착하고자 한다. 굴착면의 기울기를 1:0.5로 하고자 할 경우 L의 길이로 옳은 것은?

    문제이미지


    높이:밑변=1:0.5=5:L → L=0.5∙5=2.5m

    119

    6과목(건설공사 안전관리) 201~320

    로프길이 2m의 안전대를 착용한 근로자가 추락으로 인한 부상을 당하지 않기 위한 지면으로부터 안전대 고정점가지의 높이(H)의 기준으로 옳은 것은?

    (단, 로프의 신율 30%, 근로자의 신장 180cm)


    H > 로프길이+로프길이∙신장률+근로자 키∙0.5

    H > 2 + 2 ∙ 0.3+ 1.8 ∙0.5

    → H > 3.5m

    120

    6과목(건설공사 안전관리) 201~320

    사급자재비가 30억, 직접노무비가 35억, 관급자재비가 20억인 빌딩신축공사를 할 경우 계상해야 할 산업안전보건관리비는 얼마인가? (단, 공사종류는 건축공사) 


    문제이미지