모두CBT | 국가고시 실기시험 부시기!

4과목(전기 및 화학설비 안전관리) 301~ 403 해설 페이지

4과목(전기 및 화학설비 안전관리) 301~ 403

    1

    4과목(전기 및 화학설비 안전관리) 301~ 403

    ☆☆

    다음 중 화학장치에서 반응기의 유해위험요인(hazard)으로 화학반응이 있을 때 특히 유의해야 할 사항은?


    화학반응 시 유의사항은 반응폭주와 과압 등이 있다.

    2

    4과목(전기 및 화학설비 안전관리) 301~ 403

    반응기의 이상압력 상승으로부터 반응기를 보호하기 위해 동일한 용량의 파열판과 안전밸브를 설치하고자 한다. 다음 중 반응폭주현상이 일어났을 때 반응기 내부의 과압을 가장 잘 분출할 수 있는 방법은?


    반응폭주현상이 일어났을 때 파열판과 안전밸브를 병렬로 반응기 상부에 설치하면 반응기 내부 과압을 가장 잘 분출할 수 있다.

    3

    4과목(전기 및 화학설비 안전관리) 301~ 403

    반응기가 이상과열인 경우 반응폭주를 방지하기 위하여 작동하는 장치로 가장 거리가 먼 것은?


    반응폭주 방지장치

    고온경보장치/긴급차단장치/자동 셧다운장치

    4

    4과목(전기 및 화학설비 안전관리) 301~ 403

    다음 중 반응기를 구조형식에 의하여 분류할 때 이에 해당하지 않는 것은?


    문제이미지

    5

    4과목(전기 및 화학설비 안전관리) 301~ 403

    반응기를 조작방법에 따라 분류할 때 반응기의 한 쪽에서는 원료를 계속적으로 유입하는 동시에 다른 쪽에서는 반응생성물질을 유출시키는 형식의 반응기를 무엇이라 하는가?

    -연속식 반응기

    농도, 온도, 압력 등이 시간적인 변화가 없이 반응물질을 일정한 속도로 계속 투입하고 배출하는 반응기로서 원료의 투입과 반응 그리고 생성물의 회수를 동시에 실시하여 조작하는 방식


    -회분식 반응기

    반응기에서 반응생성물을 얻는 경우에 반응기에 원료의 일정량을 투입하고 교반하면서 가열, 냉각 등을 실시하여 반응을 진행시켜 일정량의 생성물을 제조하고 회수하여 1회의 조작을 끝낸 뒤 이를 반복적으로 실시하여 조작하는 방식

    6

    4과목(전기 및 화학설비 안전관리) 301~ 403

    ☆☆

    공정별로 폭발을 분류할 때 물리적 폭발이 아닌 것은?


    분해폭발: 화학적 폭발

    7

    4과목(전기 및 화학설비 안전관리) 301~ 403

    응상폭발에 해당되지 않는 것은?


    문제이미지

    8

    4과목(전기 및 화학설비 안전관리) 301~ 403

    다음 중 가연성 분진의 폭발 메커니즘으로 옳은 것은?


    분진폭발 발생 순서

    퇴적분진→비산→분산→발화원→전면폭발→2차폭발

    9

    4과목(전기 및 화학설비 안전관리) 301~ 403

    ☆☆

    다음 중 전선이 연소될 때의 단계별 순서로 가장 적절한 것은?


    문제이미지

    10

    4과목(전기 및 화학설비 안전관리) 301~ 403

    ☆☆

    다음 중 분진폭발의 발생 위험성을 낮추는 방법으로 적절하지 않은 것은?


    문제이미지

    11

    4과목(전기 및 화학설비 안전관리) 301~ 403

    ☆☆

    다음 중 분진폭발에 대한 설명으로 틀린 것은?


    문제이미지

    12

    4과목(전기 및 화학설비 안전관리) 301~ 403

    다음 중 분진폭발에 대한 안전대책으로 가장 적절하지 않은 것은?


    문제이미지

    13

    4과목(전기 및 화학설비 안전관리) 301~ 403

    ☆☆

    다음 중 분진폭발의 영향인자에 대한 설명으로 틀린 것은?


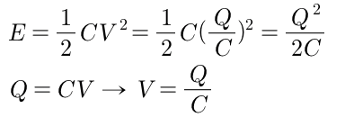
    일반적으로 부유분진이 퇴적분진에 비해 발화온도가 높다.

    14

    4과목(전기 및 화학설비 안전관리) 301~ 403

    ☆☆

    다음 중 폭굉(detonation) 현상에 있어서 폭굉파의 진행 전면에 형성되는 것은?


    폭굉: 폭발충격파가 미반응 매질 속으로 음속보다 큰 속도로 이동하는 폭발

    15

    4과목(전기 및 화학설비 안전관리) 301~ 403

    ☆☆☆

    어떤 물질 내에서 반응전파속도가 음속보다 빠르게 진행되며 이로 인해 발생된 충격파가 반응을 일으키고 유지하는 발열반응을 무엇이라 하는가?

    폭굉에 대한 설명이다.

    16

    4과목(전기 및 화학설비 안전관리) 301~ 403

    다음 중 폭굉유도거리에 대한 설명으로 틀린 것은?


    폭굉유도거리: 연소가 폭굉으로 되기까지의 거리

    폭굉유도거리 짧아지는 조건

    -연소속도 빠를수록

    -배관 직경 작을수록

    -관속에 장애물 있을수록

    -점화에너지 클수록

    -배관 내 압력 클수록

    17

    4과목(전기 및 화학설비 안전관리) 301~ 403

    사업장에서 유해위험물질의 일반적인 보관방법으로 적합하지 않는 것은?

    오히려 불활성 기체인 질소를 이용하여 저장한다.

    18

    4과목(전기 및 화학설비 안전관리) 301~ 403

    ☆☆☆

    산업안전보건법령상 관리대상 유해물질의 운반 및 저장 방법으로 적절하지 않은 것은?

    관리대상 유해물질의 증기를 실외로 배출시키는 설비를 설치할 것

    19

    4과목(전기 및 화학설비 안전관리) 301~ 403

    ☆☆

    다음 중 유해위험물질이 유출되는 사고가 발생했을 때의 대처요령으로 가장 적절하지 않은 것은?


    소각시키면 환경문제가 발생한다.

    20

    4과목(전기 및 화학설비 안전관리) 301~ 403

    다음 중 화재 방지대책에 대한 내용으로 틀린 것은?


    문제이미지

    21

    4과목(전기 및 화학설비 안전관리) 301~ 403

    ☆☆☆

    산업안전보건기준에 관한 규칙에서 규정하는 급성 독성 물질의 기준으로 틀린 것은?

    쥐에 대한 4시간 동안의 흡입실험에 의하여 실험동물의 50퍼센트를 사망시킬 수 있는 물질의 농도, 즉 가스 LC50(쥐, 4시간 흡입)이 2,500ppm 이하인 화학물질, 증기 LC50(쥐, 4시간 흡입)이 10mg/ℓ 이하인 화학물질, 분진 또는 미스트 1mg/ℓ 이하인 화학물질

    22

    4과목(전기 및 화학설비 안전관리) 301~ 403

    ☆☆

    다음 중 산업안전보건법령상 공정안전보고서에 포함되어야 하는 주요 4가지 사항에 해당하지 않는 것은?

    (단, 고용노동부장관이 필요하다고 인정하여 고시하는 사항은 제외한다.)


    문제이미지

    23

    4과목(전기 및 화학설비 안전관리) 301~ 403

    ☆☆☆

    산업안전보건법령상 공정안전보고서의 내용 중 공정안전자료에 포함되지 않는 것은?


    ③: 안전운전계획

    문제이미지

    24

    4과목(전기 및 화학설비 안전관리) 301~ 403

    ☆☆

    산업안전보건법령상 공정안전보고서에 포함되어야 하는 사항 중 공정안전자료의 세부내용에 해당하는 것은?


    ①: 비상조치계획

    ②: 안전운전계획

    ③: 공정위험성평가서 및 잠재위험에 대한 사고예방ㆍ피해 최소화 대책

    25

    4과목(전기 및 화학설비 안전관리) 301~ 403

    ☆☆

    다음 중 공정안전보고서에 관한 설명으로 틀린 것은?

    고용노동부장관은 공정안전보고서를 고용노동부령으로 정하는 바에 따라 심사하여 그 결과를 사업주에게 서면으로 알려주어야 한다.

    26

    4과목(전기 및 화학설비 안전관리) 301~ 403

    ☆☆☆

    산업안전보건법령에 따라 사업주는 공정안전보고서의 심사결과를 송부받는 경우 몇 년간 보존하여야 하는가?

    사업주는 송부받은 공정안전보고서를 송부받은 날부터 5년간 보존하여야 한다.

    27

    4과목(전기 및 화학설비 안전관리) 301~ 403

    유해위험설비의 설치ㆍ이전 시 공정안전보고서의 제출 시기로 옳은 것은?

    사업주는 유해하거나 위험한 설비의 설치ㆍ이전 또는 주요 구조부분의 변경공사의 착공일 30일 전까지 공정안전보고서를 2부 작성하여 공단에 제출해야 한다.

    28

    4과목(전기 및 화학설비 안전관리) 301~ 403

    다음 중 공정안전보고서의 심사결과 구분에 해당하지 않는 것은?

    공단은 유해위험방지계획서의 심사 결과를

    다음 각 호와 같이 구분ㆍ판정한다.

    1. 적정: 근로자의 안전과 보건을 위하여 필요한 조치가 구체적으로 확보되었다고 인정되는 경우

    2. 조건부 적정: 근로자의 안전과 보건을 확보하기 위하여 일부 개선이 필요하다고 인정되는 경우

    3. 부적정: 건설물ㆍ기계ㆍ기구 및 설비 또는 건설공사가 심사기준에 위반되어 공사착공 시 중대한 위험이 발생할 우려가 있거나 해당 계획에 근본적 결함이 있다고 인정되는 경우

    29

    4과목(전기 및 화학설비 안전관리) 301~ 403

    공정안전보고서 관련 내용이며 빈칸에 알맞은 것은?


    -사업주는 제출된 보고서의 내용 중 기업의 정보 유출로 인한 피해가 우려되는 부분에 대하여는 기업의 ( )을 공단에 요구할 수 있다.

    -공단은 사업주로부터 ( )을 요구받은 부분에 대하여는 특별한 관리절차를 규정하고 이에 따라 관리하여야 한다.

    -사업주는 제출된 보고서의 내용 중 기업의정보 유출로 인한 피해가 우려되는 부분에대하여는 기업의 비밀보장을 공단에 요구할수 있다.

    -공단은 사업주로부터 비밀보장을 요구받은부분에 대하여는 특별한 관리절차를 규정하고 이에 따라 관리하여야 한다.

    30

    4과목(전기 및 화학설비 안전관리) 301~ 403

    공정안전보고서 작성자는 공단에서 실시하는 관련교육을 이수하여야 한다, 관련교육으로 옳지 않은 것은?

    공단에서 실시하는 관련교육은 다음 각 호의 어느 하나의 교육을 말한다.

    1. 위험과 운전분석(HAZOP)과정

    2. 사고빈도분석(FTA, ETA)과정

    3. 보고서 작성ㆍ평가 과정

    4. 사고결과분석(CA)과정

    5. 설비유지 및 변경관리(MI, MOC)과정

    6. 그 밖에 고용노동부장관으로부터 승인받은 공정안전관리 교육과정

    31

    4과목(전기 및 화학설비 안전관리) 301~ 403

    공단이 실시하는 관련교육을 몇시간 이상 이수해야 공정안전보고서 작성 자격이 되는가?

    사업주는 보고서를 작성할 때 다음 각 호의 어느 하나에 해당하는 사람으로서 공단이 실시하는 관련교육을 28시간 이상 이수한 사람 1명 이상을 포함시켜야 한다.

    1. 기계, 금속, 화공, 요업, 전기, 전자, 안전관리 또는 환경분야 기술사 자격을 취득한 사람

    2. 기계, 전기 또는 화공안전 분야의 산업안전지도사 자격을 취득한 사람

    3. 제1호에 따른 관련분야의 기사 자격을 취득한 사람으로서 해당 분야에서 5년 이상근무한 경력이 있는 사람

    4. 제1호에 따른 관련분야의 산업기사 자격을 취득한 사람으로서 해당 분야에서 7년이상 근무한 경력이 있는 사람

    5. 4년제 이공계 대학을 졸업한 후 해당 분야에서 7년 이상 근무한 경력이 있는 사람 또는 2년제 이공계 대학을 졸업한 후해당 분야에서 9년 이상 근무한 경력이있는 사람

    6. 공정안전보고서 제출 대상 유해ㆍ위험설비 운영분야(해당 공정안전보고서를 작성하고자 하는 유해ㆍ위험설비 관련분야에한한다.)에서 11년 이상 근무한 경력이있는 사람

    32

    4과목(전기 및 화학설비 안전관리) 301~ 403

    공정안전보고서 작성자 자격으로 옳지 않은 것은?

    사업주는 보고서를 작성할 때 다음 각 호의 어느 하나에 해당하는 사람으로서 공단이 실시하는 관련교육을 28시간 이상 이수한 사람 1명 이상을 포함시켜야 한다.

    1. 기계, 금속, 화공, 요업, 전기, 전자, 안전관리 또는 환경분야 기술사 자격을 취득한 사람

    2. 기계, 전기 또는 화공안전 분야의 산업안전지도사 자격을 취득한 사람

    3. 제1호에 따른 관련분야의 기사 자격을 취득한 사람으로서 해당 분야에서 5년 이상근무한 경력이 있는 사람

    4. 제1호에 따른 관련분야의 산업기사 자격을 취득한 사람으로서 해당 분야에서 7년이상 근무한 경력이 있는 사람

    5. 4년제 이공계 대학을 졸업한 후 해당 분야에서 7년 이상 근무한 경력이 있는 사람 또는 2년제 이공계 대학을 졸업한 후해당 분야에서 9년 이상 근무한 경력이있는 사람

    6. 공정안전보고서 제출 대상 유해ㆍ위험설비 운영분야(해당 공정안전보고서를 작성하고자 하는 유해ㆍ위험설비 관련분야에한한다.)에서 11년 이상 근무한 경력이있는 사람

    33

    4과목(전기 및 화학설비 안전관리) 301~ 403

    공정안전보고서를 접수하고 심사할 경우 심사반의 구성 전문가가 아닌 분야는?

    공단은 보고서를 접수하고 심사할 경우에는 소속 직원 중 다음 각 호의 분야에 해당하는 전문가로 심사반을 구성하고 심사책임자를 임명하여 기간에 심사를 완료하고 사업주에게 그 결과를 통지하여야 한다.

    1. 위험성평가

    2. 공정 및 장치 설계

    3. 기계 및 구조설계, 응력해석, 용접, 재료및 부식

    4. 계측제어ㆍ컴퓨터제어 및 자동화

    5. 전기설비ㆍ방폭전기

    6. 비상조치 및 소방

    7. 가스, 확산 모델링 및 환경

    8. 안전일반

    9. 그 밖에 보고서 심사에 필요한 분야

    34

    4과목(전기 및 화학설비 안전관리) 301~ 403

    공정안전보고서 관련 내용이며 빈칸에 알맞은 것은?


    지방관서의 장은 공단으로부터 보고를 받은 때에는 부적합 사항에 대해 ( )일 이내에 사업주에게 변경계획의 작성을 명하는등 필요한 행정조치를 하여야 하며, 사업주는 행정조치를 받은 날로부터 ( )일 이내에 변경계획을 작성하여 지방관서의 장에게 제출하여야 한다.

    지방관서의 장은 공단으로부터 보고를 받은 때에는 부적합 사항에 대해 7일 이내에 사업주에게 변경계획의 작성을 명하는 등 필요한 행정조치를 하여야 하며, 사업주는 행정조치를 받은 날로부터 15일 이내에 변경계획을 작성하여 지방관서의 장에게 제출해야 한다.

    35

    4과목(전기 및 화학설비 안전관리) 301~ 403

    공정안전보고서 제출 대상설비가 전체설비 중 일부분 또는 변경설비인 경우에는 그 해당 부분에 한정해 보고서를 작성ㆍ제출할 수 있다. 그 보고서의 첨부사항이 아닌 것은?

    보고서 제출 대상설비가 전체설비 중 일부분 또는 변경설비인 경우에는 그 해당 부분에 한정하여 보고서를 작성ㆍ제출할 수 있다. 이 경우 다음 각 호의 사항을 첨부하여야 한다.

    1. 전체 설비 개요

    2. 전체 설비에서 사용되는 원료의 종류 및 사용량

    3. 전체 설비에서 제조되는 생산품의 종류및 생산량

    4. 전체 설비의 배치도

    36

    4과목(전기 및 화학설비 안전관리) 301~ 403

    ☆☆

    다음 중 물질의 위험성과 그 시험방법이 올바르게 연결된 것은?


    인화점 시험법에는 태그 밀폐식, 신속평형법, 클리브랜드 개방식이 있다.

    37

    4과목(전기 및 화학설비 안전관리) 301~ 403

    가스를 저장하는 가스용기의 색상이 틀린 것은?

    (단, 의료용 가스는 제외한다.)


    문제이미지

    38

    4과목(전기 및 화학설비 안전관리) 301~ 403

    가스용기 파열사고의 주요 원인으로 가장 거리가 먼 것은?


    가스용기 파열사고 원인

    -용기의 내압력 부족

    -용기 내압의 이상 상승

    -용기 내 폭발성 혼합가스 발화

    -용기 취급 불량

    -안전장치 불량

    39

    4과목(전기 및 화학설비 안전관리) 301~ 403

    ☆☆

    배관설비 중 유체의 역류를 방지하기 위하여 설치하는 밸브는?


    문제이미지

    40

    4과목(전기 및 화학설비 안전관리) 301~ 403

    액체계의 과도한 상승 압력의 방출에 이용되고, 설정 압력이 되었을 때 압력상승에 비례하여 서서히 개방되는 밸브는?


    문제이미지

    41

    4과목(전기 및 화학설비 안전관리) 301~ 403

    산업안전보건법령에 따라 인화성 액체를 저장취급하는 대기압 탱크에 가압이나 진공 발생 시 압력을 일정하게 유지하기 위하여 설치하여야 하는 장치는?

    사업주는 인화성 액체를 저장ㆍ취급하는 대기압탱크에는 통기관 또는 통기밸브(breather valve) 등(이하 “통기설비”라 한다)을 설치하여야 한다.

    42

    4과목(전기 및 화학설비 안전관리) 301~ 403

    ☆☆☆☆

    배관용 부품에 있어 사용되는 용도가 다른 것은?


    문제이미지

    43

    4과목(전기 및 화학설비 안전관리) 301~ 403

    수시로 밀폐된 공간에서 스프레이 건을 사용하여 인화성 액체로 세척ㆍ도장 등의 작업을 하는 경우의 조치사항으로 옳지 않은 것은?

    사업주는 수시로 밀폐된 공간에서 스프레이 건을 사용하여 인화성 액체로 세척ㆍ도장 등의 작업을 하는 경우에는 다음 각 호의 조치를 하고 전기기계ㆍ기구를 작동시켜야 한다.

    1. 인화성 액체, 인화성 가스 등으로 폭발위험 분위기가 조성되지 않도록 해당 물질의 공기 중 농도가 인화하한계값의 25%를 넘지 않도록 충분히 환기를 유지할 것

    2. 조명 등은 고무, 실리콘 등의 패킹이나실링재료를 사용하여 완전히 밀봉할 것

    3. 가열성 전기기계ㆍ기구를 사용하는 경우에는 세척 또는 도장용 스프레이 건과 동시에 작동되지 않도록 연동장치 등의 조치를 할 것

    4. 방폭구조 외의 스위치와 콘센트 등의 전기기기는 밀폐공간 외부에 설치되어 있을 것

    44

    4과목(전기 및 화학설비 안전관리) 301~ 403

    ☆☆

    산업안전보건기준에 관한 규칙에서는 인화성 액체를 수시로 사용하는 밀폐된 공간에서 해당 가스 등으로 폭발위험 분위기가 조성되지 않도록 하기 위해서 해당 물질의 공기중 농도를 인화하한계값의 얼마를 넘지 않도록 규정하고 있는가?

    인화성 액체, 인화성 가스 등으로 폭발위험 분위기가 조성되지 않도록 해당 물질의 공기 중 농도가 인화하한계값의 25퍼센트를 넘지 않도록 충분히 환기를 유지할 것

    45

    4과목(전기 및 화학설비 안전관리) 301~ 403

    다음 중 위험물에 대한 일반적 개념으로 옳지 않은 것은?


    ③: 화학구조가 복잡하면 오히려 반응성이 낮아서 화학반응이 잘 발생하지 않는다.

    46

    4과목(전기 및 화학설비 안전관리) 301~ 403

    다음 중 전자, 통신기기 등의 전자파장해(EMI)를 방지하기 위한 조치로 가장 거리가 먼 것은?


    전자파 장해 방지법

    -접지 실시

    -필터 설치

    -차폐체 설치

    47

    4과목(전기 및 화학설비 안전관리) 301~ 403

    다음 중 일반적인 국소배기장치의 구성 요소로 볼 수 없는 것은?


    국소배기장치의 구성요소

    후드: 오염물질 포집

    덕트: 오염물질, 공기 이송 통로

    송풍기: 공기 이송에 필요한 동력 제공

    48

    4과목(전기 및 화학설비 안전관리) 301~ 403

    후드의 설치 요령으로 옳지 않은 것은?


    후드로부터 연결된 덕트는 직선화시킨다.

    49

    4과목(전기 및 화학설비 안전관리) 301~ 403

    다음 중 정전 결합 노이즈(NOISE)를 감소시키는 방법이 아닌 것은?

    ①: 부하 임피던스의 신호원 임피던스를 감소시킨다.

    50

    4과목(전기 및 화학설비 안전관리) 301~ 403

    비파괴검사 방법 중 자성체 분말을 뿌려 금속(자성체)파이프 등의 결함을 발견하는 방법이 있다. 이 방법은 어떤 매질상수에 비례하는 성질을 이용한 것인가?


    문제이미지

    51

    4과목(전기 및 화학설비 안전관리) 301~ 403

    가스폭발 위험장소에 변전실을 설치해서는 안되는 경우는?

    사업주는 가스폭발 위험장소 또는 분진폭발 위험장소에는 변전실, 배전반실, 제어실, 그 밖에 이와 유사한 시설(이하 이 조에서 “변전실등”이라 한다)을 설치해서는 아니 된다. 다만, 변전실등의 실내기압이 항상 양압(25파스칼 이상의 압력을 말한다. 이하 같다)을 유지하도록 하고 다음 각 호의 조치를 하거나, 가스폭발 위험장소 또는 분진폭발 위험장소에 적합한 방폭성능을 갖는 전기 기계ㆍ기구를 변전실등에 설치ㆍ사용한 경우에는 그러하지 아니하다.

    1. 양압을 유지하기 위한 환기설비의 고장등으로 양압이 유지되지 아니한 경우 경보를 할 수 있는 조치

    2. 환기설비가 정지된 후 재가동하는 경우변전실등에 가스 등이 있는지를 확인할수 있는 가스검지기 등 장비의 비치

    3. 환기설비에 의하여 변전실등에 공급되는공기는 가스폭발 위험장소 또는 분진폭발위험장소가 아닌 곳으로부터 공급되도록하는 조치

    52

    4과목(전기 및 화학설비 안전관리) 301~ 403

    이동중에나 휴대장비 등을 사용하는 작업시 조치사항으로 아닌 것은?

    사업주는 이동중에나 휴대장비 등을 사용하는 작업에서 다음 각 호의 조치를 해야 한다

    1. 근로자가 착용하거나 취급하고 있는 도전성 공구ㆍ장비 등이 노출 충전부에 닿지않도록 할 것

    2. 근로자가 사다리를 노출 충전부가 있는곳에서 사용하는 경우에는 도전성 재질의사다리를 사용하지 않도록 할 것

    3. 근로자가 젖은 손으로 전기기계ㆍ기구의플러그를 꽂거나 제거하지 않도록 할 것

    4. 근로자가 전기회로를 개방, 변환 또는 투입하는 경우에는 전기 차단용으로 특별히설계된 스위치, 차단기 등을 사용하도록할 것

    5. 차단기 등의 과전류 차단장치에 의하여자동 차단된 후에는 전기회로 또는 전기기계ㆍ기구가 안전하다는 것이 증명되기전까지는 과전류 차단장치를 재투입하지않도록 할 것

    53

    4과목(전기 및 화학설비 안전관리) 301~ 403

    산업안전보건법령상 전기 기계ㆍ기구 사용에 의하여 발생하는 전자파로 인하여 기계ㆍ설비의 오작동을 초래함으로써 산업재해가 발생할 우려가 있는 경우 조치사항으로 옳은 것은?

    1. 전기기계ㆍ기구에서 발생하는 전자파의 크기가 다른 기계ㆍ설비가 원래 의도된 대로 작동하는 것을 방해하지 않도록 할 것

    2. 기계ㆍ설비는 원래 의도된 대로 작동할수 있도록 적절한 수준의 전자파 내성을가지도록 하거나, 이에 준하는 전자파 차폐조치를 할 것

    54

    4과목(전기 및 화학설비 안전관리) 301~ 403

    사용 중 예상치 못한 회로의 개방이 위험 또는 큰 손상을 초래할 수 있는 특정 부하에전원을 공급하는 회로에 대해서는 과부하 보호장치를 생략할 수 있다. 그 특정 부하로옳지 않은 것은?

    사용 중 예상치 못한 회로의 개방이 위험 또는 큰 손상을 초래할 수 있는 다음과 같은부하에 전원을 공급하는 회로에 대해서는 과부하 보호장치를 생략할 수 있다.

    (1) 회전기의 여자회로

    (2) 전자석 크레인의 전원회로

    (3) 전류변성기의 2차회로

    (4) 소방설비의 전원회로

    (5) 안전설비(주거침입경보, 가스누출경보 등)의 전원회로

    55

    4과목(전기 및 화학설비 안전관리) 301~ 403

    다음 빈칸에 알맞은 것은?


    사업주는 화학설비에 원재료를 공급하는근로자의 오조작으로 인하여 발생하는 폭발ㆍ화재 또는 위험물의 누출을 방지하기위하여 그 근로자가 보기 쉬운 위치에 원재료의 종류, ( )등을 표시하여야 한다.

    사업주는 화학설비에 원재료를 공급하는 근로자의 오조작으로 인하여 발생하는 폭발ㆍ화재 또는 위험물의 누출을 방지하기 위하여 그 근로자가 보기 쉬운 위치에 원재료의 종류, 원재료가 공급되는 설비명 등을 표시하여야 한다.

    56

    4과목(전기 및 화학설비 안전관리) 301~ 403

    평활한 금속판 상에 한 방울의 니트로글리세린을 떨어트려 놓고 금속 추로 타격을 행할 때 니트로글리세린 중에 아주 작은 기포가 존재한 경우, 기포가 존재하지 않을 때보다 작은 충격에 의해서도 발화가 일어난다. 이러한 현상의 원인으로 옳은 것은?

    ①: 공기덩어리가 외부와 열교환 없이 부피가 줄어들고 기온이 상승하는 현상

    57

    4과목(전기 및 화학설비 안전관리) 301~ 403

    결정수를 함유하는 물질이 공기 중에 결정수를 잃는 현상을 무엇이라 하는가?

    풍해성: 에 결정수를 잃는 현상

    58

    4과목(전기 및 화학설비 안전관리) 301~ 403

    화염방지기 관련 내용이다. 빈칸에 알맞은 것은?


    사업주는 인화성 액체 및 인화성 가스를 저장ㆍ취급하는 화학설비에서 증기나 가스를 대기로 방출하는 경우에는 외부로부터의 화염을 방지하기 위하여 화염방지기를 그 설비 상단에 설치해야 한다. 다만, 대기로 연결된 통기관에 화염방지 기능이 있는 통기밸브가 설치되어 있거나, 인화점이 섭씨 ( )인 인화성 액체를 저장ㆍ취급할 때에 화염방지 기능을 가지는 인화방지망을 설치한 경우에는 그렇지 않다.

    사업주는 인화성 액체 및 인화성 가스를 저장ㆍ취급하는 화학설비에서 증기나 가스를 대기로 방출하는 경우에는 외부로부터의 화염을 방지하기 위하여 화염방지기를 그 설비 상단에 설치해야 한다. 다만, 대기로 연결된 통기관에 화염방지 기능이 있는 통기밸브가 설치되어 있거나, 인화점이 섭씨 38도 이상 60도 이하인 인화성 액체를 저장ㆍ취급할 때에 화염방지 기능을 가지는 인화방지망을 설치한 경우에는 그렇지 않다.

    59

    4과목(전기 및 화학설비 안전관리) 301~ 403

    3성분계 혼합가스에 있어서 인화성가스(F), 조연성가스(S), 불활성가스(I)가 각각 한 가지씩 구성되는 경우 폭발범위를 나타낸 삼각도로 옳은 것은?

    문제이미지

    60

    4과목(전기 및 화학설비 안전관리) 301~ 403

    옥내소화전설비 펌프 성능기준이며 빈칸에 알맞은 것은?


    펌프의 성능은 체절운전 시 정격토출압력의 ( )%를 초과하지 않고, 정격토출량의 150%로 운전 시 정격토출압력의 65% 이상이 되어야 하며, 펌프의 성능을 시험할 수 있는 성능시험배관을 설치할 것

    펌프의 성능은 체절운전 시 정격토출압력의 140퍼센트를 초과하지 않고, 정격토출량의 150퍼센트로 운전 시 정격토출압력의 65퍼센트 이상이 되어야 하며, 펌프의 성능을 시험할 수 있는 성능시험배관을 설치할 것

    61

    4과목(전기 및 화학설비 안전관리) 301~ 403

    동력기계 목록자료 중 “명세”란에 대한 내용이며 빈칸에 알맞은 것은?


    "명세"란에는 펌프 및 압축기의 시간당 처리량, ( ), 분당회전속도 등, 교반기의 임펠러의 반경, 분당회전속도 등, 양중기의 들어 올릴 수 있는 무게, 높이 등 그 밖에 동력기계의 시간당 처리량 등을 기재한다.

    유해ㆍ위험설비 중 동력기계 목록에 다음 각 호의 사항에 따라 작성하여야 한다.

    1. 대상 설비에 포함되는 동력기계는 모두기재한다.

    2. "명세"란에는 펌프 및 압축기의 시간당 처리량, 토출측의 압력, 분당회전속도 등,교반기의 임펠러의 반경, 분당회전속도등, 양중기의 들어 올릴 수 있는 무게,높이 등 그 밖에 동력기계의 시간당 처리량 등을 기재한다.

    3. "주요 재질"란에는 해당 기계의 주요 부분의 재질을 재질분류기호로 기재한다.

    4. "방호장치의 종류"란에는 해당 설비에 필요한 모든 방호장치의 종류를 기재한다.

    62

    4과목(전기 및 화학설비 안전관리) 301~ 403

    다음 설명에 해당하는 용어는?


    소화용수와 공기를 채우고 일정 압력 이상으로 가압하여 그 압력으로 급수하는 수조


    문제이미지

    63

    4과목(전기 및 화학설비 안전관리) 301~ 403

    ☆☆☆

    인체가 전격을 받았을 때 가장 위험한 경우는 심실세동이 발생하는 경우이다. 정현파 교류에 있어 인체의 전기저항이 500일 경우 다음 중 심실세동을 일으키는 전기에너지의 한계로 가장 적합한 것은?


    문제이미지

    64

    4과목(전기 및 화학설비 안전관리) 301~ 403

    ☆☆

    변전소 등에 고장전류가 유입되었을 때 두 다리가 대지에 접촉하고 있다. 한 손을 도전성 구조물에 접촉했을 때, 심실세동전류를 Ik인체저항을 Rb, 지표상 저항률(고유저항)을 Ps라 하면 허용접촉전압(E)을 구하는 식으로 옳은 것은?


    문제이미지

    65

    4과목(전기 및 화학설비 안전관리) 301~ 403

    ☆☆

    대전된 물체가 방전을 일으킬 때에 에너지 E(J)를 구하는 식으로 옳은 것은?

    (단, 도체의 정전용량을 C(F), 대전전위를 V(V), 대전전하량을 Q(C)라 한다.)


    문제이미지

    66

    4과목(전기 및 화학설비 안전관리) 301~ 403

    전기스파크 최소발화에너지를 구하는 공식은?


    문제이미지

    67

    4과목(전기 및 화학설비 안전관리) 301~ 403

    ☆☆☆

    도체의 정전용량 C=20, 대전전위(방전시 전압) V=3kV일 때 정전에너지(J)는?


    문제이미지

    68

    4과목(전기 및 화학설비 안전관리) 301~ 403

    ☆☆☆☆

    폭발범위에 있는 가연성 가스 혼합물에 전압을 변화시키며 전기 불꽃을 주었더니 1,000V가 되는 순간 폭발이 일어났다. 이때 사용한 전기 불꽃의 콘덴서 용량은 0.1을 사용하였다면 이 가스에 대한 최소 발화에너지는 몇 mJ인가?


    문제이미지

    69

    4과목(전기 및 화학설비 안전관리) 301~ 403

    ☆☆

    절연된 컨베이어 벨트 시스템에서 발생하는 정전기의 전압이 10kV이고, 이때 정전용량이 5pF일 때 이 시스템에서 1회의 정전기 방전으로 생성될 수 있는 에너지는 얼마인가?


    문제이미지

    70

    4과목(전기 및 화학설비 안전관리) 301~ 403

    ☆☆☆

    최소 착화에너지가 0.25mJ, 극간 정전용량이 10pF인 부탄가스 버너를 점화시키기 위해서 최소 얼마 이상의 전압을 인가하여야 하는가?


    문제이미지

    71

    4과목(전기 및 화학설비 안전관리) 301~ 403

    ☆☆

    착화에너지가 0.1mJ이고 가스를 사용하는 사업장 전기설비의 정전용량이 0.6nF일 때 방전 시 착화 가능한 최소 대전 전위는 약 얼마인가?


    문제이미지

    72

    4과목(전기 및 화학설비 안전관리) 301~ 403

    ☆☆☆

    인체가 전격을 당했을 경우 통전시간이 1초라면 심실세동을 일으키는 전류값(mA)은?

    (단, 심실세동전류값은 Dalziel의 관계식을 이용한다.)


    문제이미지

    73

    4과목(전기 및 화학설비 안전관리) 301~ 403

    인체 저항을 5,000Ω으로 가정하면 심실세동을 일으키는 전류에서의 전기에너지는?


    문제이미지

    74

    4과목(전기 및 화학설비 안전관리) 301~ 403

    ☆☆☆☆

    10Ω 저항에 10A의 전류를 1분간 흘렸을 때의 발열량은 몇cal 인가?


    문제이미지

    75

    4과목(전기 및 화학설비 안전관리) 301~ 403

    저항값이 0.2인 도체에 10A의 전류가 1분간 흘렀을 경우 발생하는 열량은 몇cal인가?


    문제이미지

    76

    4과목(전기 및 화학설비 안전관리) 301~ 403

    피뢰기의 제한 전압이 800kV이고, 충격절연강도가 1,000kV라면, 보호여유도는?


    문제이미지

    77

    4과목(전기 및 화학설비 안전관리) 301~ 403

    모터에 걸리는 대지전압이 50V이고 인체저항이 5,000일 경우 인체에 흐르는 전류는 몇mA인가?


    문제이미지

    78

    4과목(전기 및 화학설비 안전관리) 301~ 403

    ☆☆

    어떤 도체에 20초 동안에 100C의 전하량이 이동하면 이때 흐르는 전류(A)는?


    문제이미지

    79

    4과목(전기 및 화학설비 안전관리) 301~ 403

    부탄 연소하한값이 1.6vol%일 경우, 연소에 필요한 최소 산소농도는 약 몇 vol%인가?


    문제이미지

    80

    4과목(전기 및 화학설비 안전관리) 301~ 403

    메탄올의 연소반응이 다음과 같을 때 최소산소농도(MOC)는 약 얼마인가?

    (단, 메탄올의 연소하한값(L)은 6.7vol%이다.)


    CH3OH+1.5O2>CO2+2H2OCH_3OH + 1.5O_2 -> CO_2 + 2H_2O


    문제이미지

    81

    4과목(전기 및 화학설비 안전관리) 301~ 403

    다음 중 화재 및 폭발방지를 위하여 질소가스를 주입하는 불활성화 공정에서 적정 최소산소농도(MOC)는?


    가연성가스 경우 불활성화를 위한 최소산소농도(MOC)는 약 10%로 유지한다.

    82

    4과목(전기 및 화학설비 안전관리) 301~ 403

    다음 반응식에서 프로판가스의 화학양론 농도는 약 얼마인가?

    문제이미지


    문제이미지

    83

    4과목(전기 및 화학설비 안전관리) 301~ 403

    ☆☆

    다음 중 벤젠(C6H6)이 공기 중에서 연소될 때의 이론혼합비(화학양론조성)는?


    문제이미지

    84

    4과목(전기 및 화학설비 안전관리) 301~ 403

    ☆☆

    아세틸렌(C2H2)의 공기 중 완전연소 조성농도(Cst)는 약 얼마인가?


    문제이미지

    85

    4과목(전기 및 화학설비 안전관리) 301~ 403

    ☆☆☆

    프로판(C3H8)의 완전연소 조성농도는 약 몇 vol%인가?


    문제이미지

    86

    4과목(전기 및 화학설비 안전관리) 301~ 403

    ☆☆

    A가스의 폭발하한계가 4.1vol%, 폭발상한계가 62vol%일 때 이 가스의 위험도는 약 얼마인가?


    문제이미지

    87

    4과목(전기 및 화학설비 안전관리) 301~ 403

    다음 표는 공기 중 표준상태에서 가연성 물질의 연소 한계를 나타낸 것이다. 위험도가 가장 높은 것은?

    문제이미지


    문제이미지

    88

    4과목(전기 및 화학설비 안전관리) 301~ 403

    다음 물질이 물과 반응하였을 때 가스가 발생한다. 위험도 값이 가장 큰 가스를 발생하는 물질은?


    문제이미지

    89

    4과목(전기 및 화학설비 안전관리) 301~ 403

    다음 가스 중 위험도가 가장 큰 것은?


    문제이미지

    90

    4과목(전기 및 화학설비 안전관리) 301~ 403

    ☆☆☆

    에틸에테르(폭발하한값 1.9vol%)와 에틸알콜(폭발하한값 4.3vol%)이 4:1로 혼합된 증기의 폭발하한계(vol%)는 약 얼마인가?

     (단, 혼합증기는 에틸에테르가 80%, 에틸알콜 20%로 구성되고, 르샤틀리에 법칙을 이용한다.)


    문제이미지

    91

    4과목(전기 및 화학설비 안전관리) 301~ 403

    ☆☆☆

    차량계 하역운반기계의 운전자가 운전위치를 이탈하는 경우의 조치사항으로 부적절한 것은?


    포크, 버킷, 디퍼 등의 장치를 가장 낮은 위치 또는 지면에 내려둘 것

    92

    4과목(전기 및 화학설비 안전관리) 301~ 403

    ☆☆

    가연성가스의 조성과 연소하한값이 표와 같을 때 혼합가스의 연소하한값은 약 몇vol%인가?

    문제이미지


    문제이미지

    93

    4과목(전기 및 화학설비 안전관리) 301~ 403

    ☆☆☆☆

    어떤 혼합가스의 구성성분이 공기는 50vol%, 수소는 20vol%, 아세틸렌은 30vol%인 경우 이 혼합가스의 폭발하한계는?

    (단, 폭발하한값이 수소는 4vol%, 아세틸렌은 2.5vol%이다.)


    문제이미지

    94

    4과목(전기 및 화학설비 안전관리) 301~ 403

    ☆☆☆

    메탄 20vol%, 에탄 25vol%, 프로판 55vol%의 조성을 가진 혼합가스의 폭발하한계값(vol%)은 약 얼마인가?

    (단, 메탄, 에탄 및 프로판가스의 폭발하한값은 각각 5vol%, 3vol%, 2vol% 이다.)


    문제이미지

    95

    4과목(전기 및 화학설비 안전관리) 301~ 403

    혼합가스 용기에 전체 압력이 10기압, 0℃에서 몰비로 수소 10%, 산소 20%, 질소 70%가 채워져 있을 때, 산소가 차지하는 부피는 몇L인가?

    (단, 표준상태는 0℃, 1기압이다.)


    문제이미지

    96

    4과목(전기 및 화학설비 안전관리) 301~ 403

    ☆☆

    공기 중에 3ppm이 디메틸아민(demethylaminem TLV-TWA:10ppm)과 20ppm의 시클로핵산을 (cyclohexanol, TLV-TWA:50ppm)이 있고, 10ppm의 산화프로필렌(propyleneoxide, TLV-TWA:20ppm)이 존재한다면 혼합 TLV-TWA 몇 ppm인가?


    문제이미지

    97

    4과목(전기 및 화학설비 안전관리) 301~ 403

    ☆☆☆

    20℃인 1기압의 공기를 압축비 3으로 단열압축하였을 때, 온도는 약 몇 ℃가 되겠는가?

    (단, 공기의 비열비는 1.4이다.)


    문제이미지

    98

    4과목(전기 및 화학설비 안전관리) 301~ 403

    ☆☆☆

    SO2 20ppm은 약 몇 g/m3인가?

    (단, SO2의 분자량은 64이고, 온도는 21°C, 압력은 1기압으로 한다.)


    문제이미지

    99

    4과목(전기 및 화학설비 안전관리) 301~ 403

    25℃ 1기압에서 공기 중 벤젠(C6H6)의 허용농도가 10ppm일 때 이를 mg/m3의 단위로 환산하면 약 얼마인가?

    (단, C, H의 원자량은 각각 12, 1이다.)


    문제이미지

    100

    4과목(전기 및 화학설비 안전관리) 301~ 403

    ☆☆

    메탄(CH4) 100mol이 산소 중에서 완전연소하였다면 이 때 소비된 산소량 몇 mol인가?


    문제이미지

    101

    4과목(전기 및 화학설비 안전관리) 301~ 403

    프로판(C3H8) 1몰이 완전연소하기 위한 산소의 화학양론계수는 얼마인가?


    문제이미지

    102

    4과목(전기 및 화학설비 안전관리) 301~ 403

    산소용기의 압력계가 100kgf/cm2일 때 약 몇 psi인가?


    1kgf/cm2=14.22psi

    → 100kgf/cm2=1,422psi

    #1atm=14.7psi

    103

    4과목(전기 및 화학설비 안전관리) 301~ 403

    최대운전압력이 게이지압력으로 200kgf/cm2인 열교환기의 안전밸브 작동압력(kgf/cm2)으로 가장 적절한 것은?

    최대운전압력이 게이지압력으로 7MPa(70kgf/cm2)를 초과하는 공정용기의 설계 압력은 아래의 수치 중 큰 것으로 한다.

    -최대 운전 압력+700kPa(7kgf/cm2)

    -최대 운전 압력∙1.05

    → 200+7=207

    200∙1.05=210

    따라서, 210이 더 크니 210이 답