모두CBT | 국가고시 실기시험 부시기!

2022년 22회 소방수리학, 약제화학 및 소방전기 해설 페이지

2022년 22회 소방수리학, 약제화학 및 소방전기

    1

    2022년 22회 소방수리학, 약제화학 및 소방전기

    유체의 점성계수가 0.8 poise 이고 비중이 1.1일 때 동점성계수(ν)는 약 몇 stokes인가?

    ①0.088

    ②0.727

    ③0.880

    ④7.270

    동점성계수(ν) = 점성계수(μ) / 밀도(ρ). 단위를 CGS 단위계로 통일합니다. 점성계수 μ = 0.8 poise = 0.8 g/(cm·s). 밀도 ρ = 비중 * 물의 밀도 = 1.1 * 1 g/cm³ = 1.1 g/cm³. 동점성계수 ν = 0.8 / 1.1 ≈ 0.727 cm²/s = 0.727 stokes.

    2

    2022년 22회 소방수리학, 약제화학 및 소방전기

    지상의 유체에 관한 설명으로 옳지 않은 것은?

    ①유체는 공간상으로 넓게 떨어져 있는 원자들로 구성되어 있으나 물질의 원자적 본질을 무시하고 구멍이 없는 연속체로 볼 수 있다.

    ②주어진 온도에서 순수 물질이 상변화를 하는 압력을 포화 압력이라 한다.

    ③중력장 내에서 시스템의 고도에 따른 결과로 시스템이 보유하는 에너지를 위치에너지라 한다.

    ④기체상수 R은 특정한 이상기체에 대하여 정해져 있으며, 이상기체에서의 음속은 압력의 함수이다.

    이상기체에서 음속(c)은 c = sqrt(kRT)로 표현됩니다. 여기서 k는 비열비, R은 기체상수, T는 절대온도입니다. 이 식에서 볼 수 있듯이, 음속은 **절대온도**의 함수이며 압력과는 직접적인 관계가 없습니다.

    3

    2022년 22회 소방수리학, 약제화학 및 소방전기

    베르누이 방정식의 가정조건으로 옳지 않은 것은?

    ①동일한 유선을 따르는 흐름이다.

    ②압축성 유체의 흐름이다.

    ③정상상태의 흐름이다.

    ④마찰이 없는 흐름이다.

    베르누이 방정식은 유체의 밀도가 일정하다고 가정하는 **비압축성** 유체의 흐름에 적용되는 것이 원칙입니다. '압축성 유체의 흐름'은 베르누이 방정식의 기본 가정 조건이 아닙니다.

    4

    2022년 22회 소방수리학, 약제화학 및 소방전기

    가로 8m, 세로 8m, 높이 3m인 실내의 절대압력이 100kPa, 온도가 25℃이다. 실내 공기의 질량은 약 몇 kg 인가? (단, 공기의 기체상수 R=0.287 kPa·m³/kg·K이다.)

    ①1.17

    ②224.49

    ③348.43

    ④2,675.96

    이상기체 상태방정식 PV=mRT를 변형하여 질량 m을 구합니다.

    1. 부피(V) = 8*8*3 = 192 m³.

    2. 절대온도(T) = 25 + 273.15 = 298.15 K.

    3. 질량(m) = PV / (RT) = (100 kPa * 192 m³) / (0.287 kPa·m³/kg·K * 298.15 K) ≈ 224.49 kg.

    5

    2022년 22회 소방수리학, 약제화학 및 소방전기

    수평면과 상방향으로 45° 경사를 갖는 지름 250mm인 원관에서 유출하는 물의 평균 유출속도가 9.8 m/s이다. 원관의 출구로부터 물의 최대 수직상승 높이는 약 몇 m인가?

    ①0.25

    ②0.49

    ③2.45

    ④4.90

    1. 유출속도의 수직 성분(Vy) 계산: Vy = V * sin(45°) = 9.8 m/s * (1/√2) ≈ 6.93 m/s.

    2. 최대 상승 높이(h) 계산 (운동에너지=위치에너지): (1/2)mVy² = mgh 이므로, h = Vy² / (2g) = (6.93)² / (2 * 9.8) ≈ 2.45 m.

    6

    2022년 22회 소방수리학, 약제화학 및 소방전기

    내경이 250mm인 원관을 통해 비압축성 유체가 흐르고 있다. 체적 유량이 40 l/s일 때, 레이놀즈수(Re)는 약 얼마인가? (단, 동점성계수는 0.120x10⁻³ m²/s이다.)

    ①1,698

    ②2,084

    ③3,396

    ④4,168

    1. 단위 통일: D=0.25m, Q=40L/s=0.04m³/s.

    2. 유속(v) = Q/A = 0.04 / (π*(0.25/2)²) ≈ 0.815 m/s. 3. 레이놀즈 수(Re) = vD/ν = (0.815 * 0.25) / (0.120*10⁻³) ≈ 1698.

    7

    2022년 22회 소방수리학, 약제화학 및 소방전기

    유체가 원관을 층류로 흐를 때 발생하는 마찰손실계수에 관한 설명으로 옳은 것은?

    ①레이놀즈수의 함수이다.

    ②레이놀즈수와 상대조도의 함수이다.

    ③마하수와 코시수의 함수이다.

    ④상대조도와 오일러수의 함수이다.

    층류 흐름(Re < 2100)에서 마찰손실계수(f)는 **f = 64 / Re** 로 계산됩니다. 즉, 관의 거칠기(상대조도)와는 무관하고 오직 레이놀즈 수의 함수입니다. 난류 흐름에서는 레이놀즈 수와 상대조도 모두의 함수가 됩니다.

    8

    2022년 22회 소방수리학, 약제화학 및 소방전기

    물이 내경 200mm인 직선 원관에 평균유속 3m/s로 80m를 유하할 때 손실수두는 약 몇 m인가? (단, 관마찰계수 f=0.042 이다)

    ①1.54

    ②2.57

    ③5.14

    ④7.71

    달시-바이스바흐 공식을 이용하여 손실수두(hL)를 계산합니다. hL = f * (L/D) * (v²/2g) = 0.042 * (80m / 0.2m) * ((3m/s)² / (2 * 9.8m/s²)) = 16.8 * (9 / 19.6) ≈ 7.71 m.

    9

    2022년 22회 소방수리학, 약제화학 및 소방전기

    회전펌프의 장단점으로 옳지 않은 것은?

    ①소용량, 고양정, 고점도 액체의 수송이 가능하다.

    ②송출량의 맥동이 없고 구조가 간단하다.

    ③흡입양정이 적다.

    ④행정의 조절로 토출량을 조절할 수 있다.

    '행정'은 피스톤의 왕복 운동에서 사용되는 용어로, 왕복펌프의 특징입니다. 회전펌프(기어펌프, 베인펌프 등)는 회전자의 회전으로 유체를 이송하므로 행정이라는 개념이 없으며, 토출량은 주로 회전 속도로 조절합니다.

    10

    2022년 22회 소방수리학, 약제화학 및 소방전기

    화재 종류에 따른 소화약제의 적응성에 관한 내용으로 옳지 않은 것은?

    ①A급 화재의 경우 수성막포를 사용하여 질식 효과로 소화할 수 있다.

    ②B급 화재의 경우 물을 사용하여 부촉매 효과로 소화할 수 있다.

    ③C급 화재의 경우 ABC 급 분말을 사용하여 부촉매 효과로 소화할 수 있다.

    ④K급 화재의 경우 강화액을 사용하여 냉각 효과로 소화할 수 있다.

    B급 화재(유류화재)에 물을 직접 주수하면 화재가 확대될 위험(슬롭오버 등)이 있어 일반적으로 부적합합니다. 또한 물은 냉각 및 질식 효과가 주된 소화 원리이며, 연쇄반응을 차단하는 부촉매 효과는 없습니다.

    11

    2022년 22회 소방수리학, 약제화학 및 소방전기

    이산화탄소 소화약제의 저장용기 설치 기준으로 옳지 않은 것은?

    ①저장용기의 충전비는 고압식은 1.5이상 1.9이하로 할 것.

    ②저장용기의 충전비는 저압식은 1.1이상 1.4이하로 할 것.

    ③저압식 저장용기에는 액면계 및 압력계와 1.9 MPa 이상 2.3 MPa 이하의 압력에서 작동하는 압력경보장치를 설치할 것.

    ④저장용기는 고압식은 25 MPa 이상, 저압식은 3.5 MPa 이상의 내압시험압력에 합격한 것으로 할 것.

    이산화탄소소화설비의 화재안전기준(NFSC 106) 제6조에 따르면, 저압식 저장용기의 압력경보장치는 **2.3MPa 이상** 및 **1.9MPa 이하**의 압력에서 작동해야 합니다. '1.9MPa 이상 2.3MPa 이하'라는 범위 설정이 잘못되었습니다.

    12

    2022년 22회 소방수리학, 약제화학 및 소방전기

    가연물질이 부탄(Butane)인 경우 이산화탄소의 최소소화농도(vol%)와 최소설계농도(vol%)를 순서대로 옳게 나열한 것은?

    ①24, 34

    ②28, 34

    ③34, 41

    ④38, 41

    이산화탄소소화설비의 화재안전기준(NFSC 106) [별표 1]에 따르면, 부탄의 최소소화농도는 28%, 여기에 안전율(1.2)을 곱한 최소설계농도는 28% * 1.2 = 33.6% 이므로, 기준에 따라 34%로 적용합니다.

    13

    2022년 22회 소방수리학, 약제화학 및 소방전기

    할로겐화합물 및 불활성기체 소화약제의 종류 중 HFC 계열로 옳지 않은 것은?

    ①CHF₃

    ②CHF₂CF₃

    ③CHClFCF₃

    ④CF₃CHFCF₃

    HFC(Hydro Fluoro Carbon) 계열 소화약제는 수소(H), 불소(F), 탄소(C)만으로 구성된 화합물입니다. ③번 CHClFCF₃(HCFC-124)는 염소(Cl)를 포함하고 있으므로 HFC가 아닌 HCFC(Hydro Chloro Fluoro Carbon) 계열에 속합니다.

    14

    2022년 22회 소방수리학, 약제화학 및 소방전기

    포 소화약제의 혼합장치 설치 방식 중 펌프와 발포기의 중간에 설치된 벤추리관의 벤추리작용에 따라 포 소화약제를 흡입·혼합하는 방식으로 옳은 것은?

    ①라인 푸로포셔너방식

    ②펌프 푸로포셔너방식

    ③압축공기포 믹싱챔버방식

    ④프레져사이드 푸로포셔너방식

    펌프 토출관과 발포기 사이 배관에 설치된 벤추리관의 감압 작용을 이용하여 포 원액을 흡입·혼합하는 방식은 **라인 프로포셔너 방식**입니다.

    15

    2022년 22회 소방수리학, 약제화학 및 소방전기

    표준 상태에서 0℃의 얼음 1g이 0℃ 물로 변화하는데 필요한 용융열 (cal/g)은 약 얼마인가?

    ①23.4

    ②24.9

    ③30.1

    ④79.7

    물의 용융열(융해잠열)은 얼음 1g을 녹여 물로 만드는 데 필요한 열량으로, 약 80 cal/g 입니다. 보기 중 가장 가까운 값은 79.7 입니다.

    16

    2022년 22회 소방수리학, 약제화학 및 소방전기

    할로겐화합물 및 불활성기체 소화약제의 최대허용설계농도로 옳지 않은 것은?

    ①HCFC-124 : 1.0%

    ②HFC-236fa : 12.5%

    ③IG-100 : 30%

    ④HFC-23 : 30%

    청정소화약제소화설비의 화재안전기준(NFSC 107A) [별표 1]에 따르면, IG-100(질소)의 최대허용설계농도는 **43%** 입니다. 30%는 잘못된 기준입니다.

    17

    2022년 22회 소방수리학, 약제화학 및 소방전기

    분말소화약제의 저장용기 설치 기준으로 옳은 것은?

    ①저장용기에는 가압식은 최고사용압력의 2.5배 이하, 축압식은 용기의 내압시험압력의 0.8배 이하의 압력에서 작동하는 안전밸브를 설치할 것.

    ②제1종 분말 소화약제 1kg 당 저장용기의 내용적은 0.8ℓ로 하고 저장용기의 충전비는 0.8이상으로 할 것.

    ③제2종 분말 소화약제 1kg 당 저장용기의 내용적은 1.25ℓ로 하고 저장용기의 충전비는 0.8이상으로 할 것.

    ④제3종 분말 소화약제 1kg 당 저장용기의 내용적은 1ℓ로 하고 저장용기의 충전비는 1.1이상으로 할 것.

    분말소화설비의 화재안전기준(NFSC 108) 제5조에 따르면, 제1종 분말의 내용적은 약제 1kg당 0.8L 이상, 충전비는 0.8 이상으로 규정되어 있어 ②번이 옳은 설명입니다. ① 가압식 안전밸브는 최고사용압력의 1.8배 이하입니다. ③ 제2종의 내용적은 1.0L 이상입니다. ④ 제3종의 충전비는 0.8 이상입니다.

    18

    2022년 22회 소방수리학, 약제화학 및 소방전기

    그림과 같은 전압파형의 평균값(V)은 얼마인가?

    ①2.5

    ②3.5

    ③4.0

    ④5.0

    평균값은 한 주기 동안의 면적을 주기로 나눈 값입니다. 이 파형의 주기는 2입니다(0~2). 0~1 구간의 면적(삼각형) = 1/2 * 밑변 * 높이 = 1/2 * 1 * 10 = 5. 1~2 구간의 면적은 0입니다. 따라서 한 주기(0~2)의 총 면적은 5입니다. 평균값 = 면적 / 주기 = 5 / 2 = 2.5V.

    19

    2022년 22회 소방수리학, 약제화학 및 소방전기

    전자장 해석을 위한 미분연산에 관한 설명 중 옳지 않은 것은?

    ①벡터계의 미분계산에는 미분연산자 ▽(델)을 사용한다.

    ②▽V는 스칼라 함수 V의 변화율(경도)을 의미한다.

    ③벡터 E의 발산은 단위 체적에서 발산하는 선속수를 의미하며, ▽²·E로 표시한다.

    ④▽·▽을 라플라시안이라 부른다.

    벡터 E의 발산(Divergence)은 **▽·E** 로 표시합니다. ▽²는 라플라시안 연산자로, 스칼라 함수의 라플라시안(▽²V) 또는 벡터 함수의 라플라시안(▽²E)에 사용되며 발산을 나타내는 기호가 아닙니다.

    20

    2022년 22회 소방수리학, 약제화학 및 소방전기

    자계에 관한 설명으로 옳지 않은 것은?

    ①도체의 운동에 의한 전자유도현상에 의해 발생되는 유도기전력의 방향은 플레밍의 왼손법칙에 따라 결정된다.

    ②자계의 크기나 자성체 내부의 자기적인 상태를 나타내기 위하여 자속의 방향에 수직인 단위 면적을 통과하는 자속의 수를 자속밀도라 한다.

    ③자석 사이에 작용하는 힘을 양적으로 취급하는데 전계에서와 같이 쿨롱의 법칙을 이용한다.

    ④암페어의 주회법칙은 전류에 의한 자계의 세기를 구하는데 사용한다.

    문제이미지

    도체의 운동으로 발생하는 유도기전력의 방향, 즉 발전기의 원리는 플레밍의 **오른손법칙**으로 결정됩니다. 플레밍의 왼손법칙은 자기장 속에서 전류가 흐르는 도체가 받는 힘의 방향, 즉 전동기의 원리를 설명합니다.

    21

    2022년 22회 소방수리학, 약제화학 및 소방전기

    소방시설도시기호 중 비상분전반에 해당하는 기호는?

    문제이미지

    소방시설 도시기호 표준에 따르면, ①은 배전반, ②는 제어밸브(조작스위치), ③은 분전반을 나타냅니다. 비상전원 표시(상부 이중선)가 있는 분전반 기호인 ④가 비상분전반을 의미합니다.

    22

    2022년 22회 소방수리학, 약제화학 및 소방전기

    2대의 단상변압기로 3상 전력을 얻는 V결선 방식의 이용률은 약 몇 % 인가?

    ①22.9

    ②33.3

    ③57.7

    ④86.6

    V결선의 이용률은 (V결선 출력) / (변압기 2대 용량) 입니다. V결선 출력 = √3 * P₁ (P₁: 변압기 1대 용량). 변압기 2대 용량 = 2 * P₁. 따라서 이용률 = (√3 * P₁) / (2 * P₁) = √3 / 2 ≈ 0.866. 백분율로 환산하면 86.6% 입니다.

    23

    2022년 22회 소방수리학, 약제화학 및 소방전기

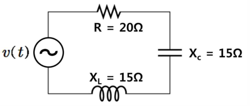
    그림과 같은 RLC 직렬회로에서 v(t)의 실효값이 220V 일 때, 회로에 흐르는 실효전류(A)는 얼마인가?

    ①4.4

    ②6.3

    ③7.3

    ④11.0

    문제이미지

    RLC 직렬회로에서 유도 리액턴스(X_L)와 용량 리액턴스(X_C)가 15Ω으로 같으므로, 회로는 공진 상태에 있습니다. 공진 상태에서는 리액턴스 성분이 서로 상쇄되어(X_L - X_C = 0), 전체 임피던스(Z)는 저항(R)과 같아집니다 (Z=R=20Ω). 따라서 흐르는 전류(I) = V/Z = 220V / 20Ω = 11.0 A.

    24

    2022년 22회 소방수리학, 약제화학 및 소방전기

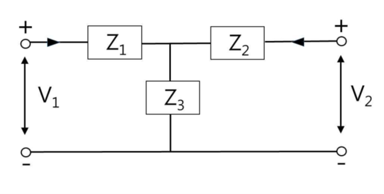
    그림과 같은 T형 회로의 임피던스 파라미터 중 옳지 않은 것은?

    ①Z₁₁ = Z₁ + Z₃

    ②Z₁₂ = Z₁

    ③Z₂₁ = Z₃

    ④Z₂₂ = Z₂ + Z₃

    문제이미지

    T형 4단자 회로의 임피던스 파라미터는 다음과 같이 정의됩니다. Z₁₁ = Z₁+Z₃, Z₁₂ = Z₂₁ = Z₃, Z₂₂ = Z₂+Z₃. 따라서 Z₁₂=Z₁ 이라는 설명은 옳지 않습니다.

    25

    2022년 22회 소방수리학, 약제화학 및 소방전기

    그림과 같은 피드백제어계 블록선도의 전달함수는?

    ①G(s) / (1 + G(s)·H(s))

    ②H(s) / (1 + G(s)·H(s))

    ③G(s) / (1 - G(s)·H(s))

    ④H(s) / (1 - G(s)·H(s))

    문제이미지

    피드백 제어계의 기본 전달함수 공식은 C(s)/R(s) = G(s) / (1 ± G(s)H(s)) 입니다. 피드백 신호가 입력 신호에서 빼지는 부(-)궤환일 경우 분모가 '+'가 되고, 그림처럼 더해지는 정(+)궤환일 경우 분모가 '-'가 됩니다. 따라서 이 회로의 전달함수는 G(s) / (1 - G(s)H(s)) 입니다.