모두CBT | 국가고시 실기시험 부시기!

2과목(인간공학 및 위험성평가관리) 301~423 해설 페이지

2과목(인간공학 및 위험성평가관리) 301~423

    1

    2과목(인간공학 및 위험성평가관리) 301~423

    다음 상황은 인간실수 분류 중 어느 것에 해당하는가?


    한 청년이 물건을 조립하고 있다. 조립 외의 불필요한 작업을 행하여 결국 완성품에 문제가 생겼다.


    문제이미지

    2

    2과목(인간공학 및 위험성평가관리) 301~423

    인간의 오류를 독립적 행동과 원인에 의한 오류로 분류할 때 다음 중 원인에 의한 분류에 속하지 않는 것은?


    문제이미지

    3

    2과목(인간공학 및 위험성평가관리) 301~423

    ☆☆

    인간 오류의 분류 중 원인에 의한 분류의 하나로, 작업자 자신으로부터 발생하는 에러로 옳은 것은?


    문제이미지

    4

    2과목(인간공학 및 위험성평가관리) 301~423

    ☆☆

    인간 오류의 분류에 있어 원인에 의한 분류 중 작업의 조건이나 작업의 형태 중에서 다른 문제가 생겨 그 때문에 필요한 사항을 실행할 수 없는 오류(error)를 무엇이라 하는가?


    문제이미지

    5

    2과목(인간공학 및 위험성평가관리) 301~423

    작업형태나 작업조건 중에서 다른 문제가 생겨 필요사항을 실행할 수 없는 경우나 어떤 결함으로부터 파생하여 발생하는 오류를 무엇이라 하는가?


    문제이미지

    6

    2과목(인간공학 및 위험성평가관리) 301~423

    필요한 작업 또는 절차의 잘못된 수행으로 발생하는 과오는?


    문제이미지

    7

    2과목(인간공학 및 위험성평가관리) 301~423

    ☆☆

    인간 오류의 분류에 있어 원인에 의한 분류 중 작업자가 기능을 움직이려 해도 필요한 물건, 정보, 에너지 등의 공급이 없는 것처럼 작업자가 움직이려 해도 움직일 수 없어서 발생하는 오류는?


    문제이미지

    8

    2과목(인간공학 및 위험성평가관리) 301~423

    ☆☆

    스웨인(Swain)의 인적오류(혹은 휴먼에러) 분류 방법에 의할 때, 자동차 운전 중 습관적으로 손을 창문 밖으로 내어 놓았다가 다쳤다면 다음 중 이때 운전자가 행한 에러의 종류로 옳은 것은?


    불필요한 손 내미는 동작을 해서 일어난 결과이다.

    9

    2과목(인간공학 및 위험성평가관리) 301~423

    휴먼에러(human error)의 분류 중 필요한 임무나 절차의 순서 착오로 인하여 발생하는 오류는?


    문제이미지

    10

    2과목(인간공학 및 위험성평가관리) 301~423

    인지 및 인식의 오류를 예방하기 위해 목표와 관련하여 작동을 계획해야 하는데 특수하고 친숙하지 않은 상황에서 발생하며, 부적절한 분석이나 의사결정을 잘못하여 발생하는 오류는?


    문제이미지

    11

    2과목(인간공학 및 위험성평가관리) 301~423

    다음 중 작업자의 안전모를 착용하게 하는 방벙 중 인지학습에 대한 설명으로 옳은 것은?


    12

    2과목(인간공학 및 위험성평가관리) 301~423

    인적 오류로 인한 사고를 예방하기 위한 대책 중 성격이 다른 것은?


    ①: 내적 원인

    ②/③/④: 환경적 요인

    13

    2과목(인간공학 및 위험성평가관리) 301~423

    휴먼 에러의 배후 요소 중 작업방법, 작업순서, 작업정보, 작업환경과 가장 관련이 깊은 것은?


    문제이미지

    14

    2과목(인간공학 및 위험성평가관리) 301~423

    심장 근육의 활동정도를 측정하는 전기 생리신호로 신체적 작업 부하 평가 등에 사용할 수 있는 것은?


    문제이미지

    15

    2과목(인간공학 및 위험성평가관리) 301~423

    신체 반응의 척도 중 생리적 스트레스의 척도로 신체적 변화의 측정 대상에 해당하지 않는 것은?


    혈액성분은 생화학적 측정요소이다.

    16

    2과목(인간공학 및 위험성평가관리) 301~423

    다음 중 생리적 스트레스를 전기적으로 측정하는 방법으로 옳지 않은 것은?


    안구 반응(EOG): 망막질환 진단 수단

    17

    2과목(인간공학 및 위험성평가관리) 301~423

    심장 박동주기 동안 심근의 전기적 신호를 피부에 부착한 전극들로부터 측정하는 것으로 심장이 수축과 확장을 할 때 일어나는 전기적 변동을 기록한 것은?


    심전도계에 대한 설명이다.

    18

    2과목(인간공학 및 위험성평가관리) 301~423

    ☆☆☆

    다음 중 육체적 활동에 대한 생리학적 측정방법과 가장 거리가 먼 것은?


    문제이미지

    19

    2과목(인간공학 및 위험성평가관리) 301~423

    다음 중 정신적 작업 부하에 대한 생리적 측정치에 해당하는 것은?


    문제이미지

    20

    2과목(인간공학 및 위험성평가관리) 301~423

    인간의 정보처리 기능 중 그 용량이 7개 내외로 작아, 순간적 망각 등 인적오류의 원인이 되는 것은?


    작업기억은 단기기억이라고도 하며 순간적 망각 등 인적 오류의 원인이 된다.

    21

    2과목(인간공학 및 위험성평가관리) 301~423

    ☆☆

    작업기억(working memory)과 관련된 설명으로 옳지 않은 것은?


    작업기억을 단기기억이라고도 하며 순간적 망각 등 인적오류의 원인이 된다.

    22

    2과목(인간공학 및 위험성평가관리) 301~423

    작업기억(working memory)에서 일어나는 정보코드화에 속하지 않는 것은?


    작업기억 정보코드화: 시각/음성/의미 코드화

    23

    2과목(인간공학 및 위험성평가관리) 301~423

    다음 중 코드의 설계시 정보량을 가장 많이 전달 할 수 있는 조합은?


    다양한 크기와 밝기 동시 사용 시 정보량을 가장 많이 전달 할 수 있다.

    24

    2과목(인간공학 및 위험성평가관리) 301~423

    음의 세기인 데시벨[dB]을 측정할 때 기준 음압의 주파수는?


    기준 음압의 주파수: 1,000Hz

    25

    2과목(인간공학 및 위험성평가관리) 301~423

    다음의 설명에서 ( )안의 내용을 맞게 나열한 것은?


    40phon은 ( ㉠ )sone을 나타내며 이는 ( ㉡ )dB의 ( ㉢ )Hz 순음의 크기를 나타낸다.


    40phon은 1sone을 나타내며 이는 40dB의 1,000Hz 순음의 크기를 나타낸다.

    26

    2과목(인간공학 및 위험성평가관리) 301~423

    청각적 표시장치 지침에 관한 설명으로 틀린 것은?


    300m 이상의 장거리용 경보기에 사용하는 진동수 1,000Hz 이하가 적절하다.

    27

    2과목(인간공학 및 위험성평가관리) 301~423

    인간의 가청주파수 범위는?


    인간의 가청주파수: 20~20,000Hz

    28

    2과목(인간공학 및 위험성평가관리) 301~423

    가청 주파수 내에서 사람의 귀가 가장 민감하게 반응하는 주파수 대역은?


    가청 주파수: 20~20,000Hz

    가장 민감 반응하는 주파수: 4,000Hz 내외

    29

    2과목(인간공학 및 위험성평가관리) 301~423

    ☆☆

    기능식 생산에서 유연생산시스템 설비의 가장 적합한 배치는?


    U자형 배치 장점

    1. 공간이 적게 소요된다.

    2. 운반이 최소화된다.

    30

    2과목(인간공학 및 위험성평가관리) 301~423

    시스템의 수명곡선에 고장의 발생형태가 일정하게 나타나는 기간은?


    문제이미지

    31

    2과목(인간공학 및 위험성평가관리) 301~423

    다음 중 시스템의 수명곡선(욕조곡선)에서 우발고장 기간에 발생하는 고장의 원인으로 볼 수 없는 것은?


    ③: 초기고장의 원인

    32

    2과목(인간공학 및 위험성평가관리) 301~423

    다음 중 시스템의 수명곡선(욕조곡선)에서 안전진단 및 적당한 보수에 의해 방지할 수 있는 고장의 형태는?


    문제이미지

    33

    2과목(인간공학 및 위험성평가관리) 301~423

    다음 중 설계강도 이상의 급격한 스트레스가 축적됨으로써 발생하는 고장에 해당하는 것은?


    문제이미지

    34

    2과목(인간공학 및 위험성평가관리) 301~423

    ☆☆

    고장의 발생상황 중 부적합품 제조, 생산과정에서의 품질관리 미비, 설계미숙 등으로 일어나는 고장은?


    문제이미지

    35

    2과목(인간공학 및 위험성평가관리) 301~423

    ☆☆

    다음 중 일반적으로 가장 신뢰도가 높은 시스템의 구조는?


    직렬과 달리 병렬구조는 한 곳이 고장나도 다른 한 곳이 있기에 신뢰도가 높다.

    36

    2과목(인간공학 및 위험성평가관리) 301~423

    인간-기계 시스템의 신뢰도를 향상시킬 수있는 방법으로 가장 적절하지 않은 것은?


    비싼 재료와 신뢰도는 상관이 없다.

    37

    2과목(인간공학 및 위험성평가관리) 301~423

    점광원(point source)에서 표면에 비추는 조도(lux)의 크기를 나타내는 식으로 옳은 것은?

    (단, D는 광원으로부터의 거리를 말한다.)

    조도=광도(cd)D2(m2)조도 = \dfrac {광도(cd)} {D^2(m^2)}

    38

    2과목(인간공학 및 위험성평가관리) 301~423

    다음 중 조도에 관한 설명으로 틀린 것은?

    조도=광도(cd)D2(m2)조도 = \dfrac {광도(cd)} {D^2(m^2)}

    39

    2과목(인간공학 및 위험성평가관리) 301~423

    건습지수로서 습구온도와 건구온도의 가중 평균치를 나타내는 Oxford지수의 공식으로 맞는 것은?


    옥스퍼드 지수

    Oxford 지수=0.85∙습구온도+0.15∙건구온도

    40

    2과목(인간공학 및 위험성평가관리) 301~423

    ☆☆

    일반적으로 인체에 가해지는 온·습도 및 기류 등의 외적 변수를 종합적으로 평가하는 데에는 “불쾌지수”라는 지표가 이용된다. 불쾌지수의 계산식이 다음과 같은 경우, 건구온도와 습구온도의 단위로 옳은 것은?


    불쾌지수=0.72∙(건구온도+습구온도)+40.6


    불쾌지수=0.72∙(건구온도+습구온도)+40.6(℃)

    불쾌지수=0.4∙(건구온도+습구온도)+15(℉)

    41

    2과목(인간공학 및 위험성평가관리) 301~423

    다음 중 건구온도가 30℃, 습구온도가 27℃일 때 사람들이 느끼는 불쾌감의 정도를 설명한 것으로 가장 적절한 것은?


    문제이미지

    42

    2과목(인간공학 및 위험성평가관리) 301~423

    설비의 보전과 가동에 있어 시스템의 고장과 고장 사이의 시간 간격을 의미하는 용어는?


    문제이미지

    43

    2과목(인간공학 및 위험성평가관리) 301~423

    ☆☆

    사후보전에 필요한 평균수리시간을 나타내는 것은?


    문제이미지

    44

    2과목(인간공학 및 위험성평가관리) 301~423

    ☆☆

    보전효과 측정을 위해 사용하는 설비고장 강도율의 식으로 맞는 것은?


    문제이미지

    45

    2과목(인간공학 및 위험성평가관리) 301~423

    다음 중 열압박지수(HSI: Heat Stress Index)에서 고려하고 있지 않은 항목은?


    열압박지수 영향요인: 온도/습도/공기속도

    46

    2과목(인간공학 및 위험성평가관리) 301~423

    ☆☆

    그림의 선형 표시장치를 움직이기 위해 길이가 L인 레버(lever)를 a도 움직일 때 조종반응(C/R) 비율을 계산하는 식은?

    문제이미지


    문제이미지

    47

    2과목(인간공학 및 위험성평가관리) 301~423

    ☆☆

    “음의 높이, 무게 등 물리적 자극을 상대적으로 판단하는 데 있어 특정 감각기관의 변화감지역은 표준자극에 비례한다.”라는 법칙을 발견한 사람은?


    웨버의 법칙

    인간이 감지할 수 있는 외부의 물리적 자극 변화의 최소범위는 기준이 되는 자극의 크기에 비례하는 현상을 설명한 이론

    48

    2과목(인간공학 및 위험성평가관리) 301~423

    커크패트릭의 4수준 평가모형 순서로 올바른 것은?


    문제이미지

    49

    2과목(인간공학 및 위험성평가관리) 301~423

    다음 중 자동차 가속 페달과 브레이크 페달 간의 간격 브레이크 폭 등을 결정하는데 사용할 수 있는 가장 적합한 인간공학 이론은?


    문제이미지

    50

    2과목(인간공학 및 위험성평가관리) 301~423

    System 요소 간의 link 중 인간 커뮤니케이션 Link에 해당되지 않는 것은?


    인간 커뮤니케이션 링크 종류

    방향성/통신계/시각/장치 링크

    51

    2과목(인간공학 및 위험성평가관리) 301~423

    위험성 감소 대책 수립 순서이며 빈칸으로 알맞은 것은?


    1. 계획 단계에서 위험성 제거

    2. 공학적 대책

    3. ( )

    4. 개인용 보호구의 사용

    사업주는 허용가능한 위험성이 아니라고 판 단한 경우에는 위험성의 수준, 영향을 받는 근로자 수 및 다음 각 호의 순서를 고려하여 위험성 감소를 위한 대책을 수립하여 실행하여야 한다. 이 경우 법령에서 정하는 사항과 그 밖에 근로자의 위험 또는 건강장해를 방 지하기 위해 필요한 조치를 반영해야 한다.

    1. 위험한 작업의 폐지ㆍ변경, 유해위험물질

    대체 등의 조치 또는 설계나 계획 단계에 서 위험성을 제거 또는 저감하는 조치

    2. 연동장치, 환기장치 설치 등 공학적 대책

    3. 사업장 작업절차서 정비 등 관리적 대책

    4. 개인용 보호구의 사용

    52

    2과목(인간공학 및 위험성평가관리) 301~423

    위험성평가 인정신청서를 제출한 사업장에 대해 공단이 심사해야 할 항목으로 옳지 않은 것은?

    공단은 위험성평가 인정신청서를 제출한 사업장에 대하여는 다음에서 정하는 항목을 심사(이하 "인정심사"라 한다)하여야 한다.

    1. 사업주의 관심도

    2. 위험성평가 실행수준

    3. 구성원의 참여 및 이해 수준

    4. 재해발생 수준

    53

    2과목(인간공학 및 위험성평가관리) 301~423

    위험성평가 실시에 대한 설명으로 틀린 것은?

    ① 사업주는 건설물, 기계ㆍ기구ㆍ설비, 원재

    료, 가스, 증기, 분진, 근로자의 작업행동 또는 그 밖의 업무로 인한 유해ㆍ위험 요인을 찾아내어 부상질병으로 이어질 수 있는 위험성의 크기가 허용 가능한 범 위인지를 평가하여야 하고, 그 결과에 따라 이 법과 이 법에 따른 명령에 따른 조

    치를 하여야 하며, 근로자에 대한 위험또는 건강장해를 방지하기 위하여 필요한 경우에는 추가적인 조치를 하여야 한다. ② 사업주는 제1항에 따른 평가 시 고용노동부장관이 정하여 고시하는 바에 따라 해당 작업장의 근로자를 참여시켜야 한다.

    ③ 사업주는 제1항에 따른 평가의 결과와 조 치사항을 고용노동부령으로 정하는 바에따라 기록하여 보존하여야 한다.

    ④ 제1항에 따른 평가의 방법, 절차 및 시기, 그 밖에 필요한 사항은 고용노동부장관이 정하여 고시한다.

    54

    2과목(인간공학 및 위험성평가관리) 301~423

    사용성 평가 ‘ISO’에서 정의하는 사용자 정의가 아닌 것은?

    ISO 9241-210 사용성 및 유용성 평가 사용성 평가란 “특정 그룹의 이용자가 특정의 환경에서 특정의 과업을 성취하는데 있어서의 효과성(effectiveness), 효율성(efficiency) 및 만족도(satisfacion)을 측정하는 것”이라고 ISO에서는 정의를 내리고 있다.

    55

    2과목(인간공학 및 위험성평가관리) 301~423

    다음을 설명하는 용어는?


    근골격계질환(직업성상지질환)과 관련한 위해인자에 대한 개인작업자 노출정도를 평가하기 위한 목적으로 개발한 평가기법


    문제이미지

    56

    2과목(인간공학 및 위험성평가관리) 301~423

    RULA(Rapid Upper Limb Assessment)의 평가항목으로 옳지 않은 것은?


    문제이미지

    57

    2과목(인간공학 및 위험성평가관리) 301~423

    OWAS(Ovako Working-posture Analysis System) 평가항목으로 옳지 않은 것은?

    OWAS 평가항목: 팔/다리/허리/하중

    58

    2과목(인간공학 및 위험성평가관리) 301~423

    OWAS의 4수준의 분류로 옳지 않은 것은?


    문제이미지

    59

    2과목(인간공학 및 위험성평가관리) 301~423

    다음 설명에 맞는 용어는?


    인간이 인공물에서 기대하는 감성을 체계적이고 과학적으로 분석, 평가해 최종 물리적 디자인에 구현하는 방법을 연구하고 응용하는 기술


    문제이미지

    60

    2과목(인간공학 및 위험성평가관리) 301~423

    감성공학 방법 중 다음 설명에 알맞은 것은?


    감성 대신 전문평가자가 시제품을 직접 사용하고 느껴진 생리적 감각을 측정해 실제제품으로 변환시키는 것


    문제이미지

    61

    2과목(인간공학 및 위험성평가관리) 301~423

    근골격계 부담작업 유해요인 조사에서 개선 우선순위 결정 시 유해도 높은 작업 또는 특정근로자에 대해 옳지 않은 것은?

    사업주는 유해요인조사 결과를 바탕으로 근골격계질환 발생 위험이 높은 작업에 대해 작업환경 개선을 실시하되, 다음 각호의 사항에 따른다.

    1. 근로자의 통지에 의해 운동범위의 축소,쥐는 힘의 저하, 기능의 손실 등의 징후가 나타난 작업

    2. 다수근로자가 유해요인에 노출되고 있거나 증상 및 불편을 호소하는 작업

    3. 비용편익 효과큰 작업

    62

    2과목(인간공학 및 위험성평가관리) 301~423

    1개월 이내에 조사대상 및 조사방법 등을 검토하여 유해요인 조사를 해야 하는 경우가 아닌 것은?

    평가는 상해와 질병 비율의 경향 분석과 근로자의 보상 기록, 근로자 면담, 작업 및 작업장 변화 조사 등을 통하여 다음과 같은 평가지표를 활용하여 실시할 수 있다.

    -특정기간동안 보고된 사례 수를 기준으로한 근골격계질환 증상자의 발생빈도

    -새로운 발생 사례 수를 기준으로 한 발생율 의 비교

    -근로자가 근골격계질환으로 일하지 못한 날을 기준으로 한 근로손실일수의 비교

    -작업개선 전후의 유해요인 노출 특성 변화

    -근로자 만족도 변화

    -제품 불량률 변화

    63

    2과목(인간공학 및 위험성평가관리) 301~423

    다음 설명에 맞는 기법으로 옳은 것은?


    작업자를 무작위로 관찰하여 특정 활동에실제 소비하는 시간의 비율을 추정하고 이에 근거하여 시간 표준을 설정하는 기법


    문제이미지

    64

    2과목(인간공학 및 위험성평가관리) 301~423

    MTM분석 관련내용이며 빈칸에 알맞은 것은?


    시간표에서 각 요소동작을 케이스와 타입에 따라 더 세분하고, 그 각각에 대하여 A마다 시간치를 표시한다. 시간치는 B을 10만 TMU로 하는 TMU 단위로 나타낸다.

    기본적으로는 WF(work factor)분석법과 동일한 관점에서 실시되는 것이지만, 시간표에서 각 요소동작을 케이스(작업조건이 주는곤란성)와 타입(상태 ·속도 등)에 따라 더 세분하고, 그 각각에 대하여 동작의 크기(거리 ·각도)마다 시간치(時間値)를 표시한다.시간치는 1시간을 10만 TMU로 하는 TMU 단위로 나타낸다.

    65

    2과목(인간공학 및 위험성평가관리) 301~423

    work factor 분석에서 표준 요소 중 다음을 설명하는 것은?


    2가지 물체를 조합 또는 정리하는 동작


    문제이미지

    66

    2과목(인간공학 및 위험성평가관리) 301~423

    NIOSH 관련 그래프이다. 번호에 맞는 값이 다른 것은?

    문제이미지
    문제이미지

    67

    2과목(인간공학 및 위험성평가관리) 301~423

    영상표시단말기 작업을 주목적으로 하는 작업실 안의 온도와 습도로 알맞은 값은?

    사업주는 영상표시단말기 작업을 주목적으로 하는 작업실 안의 온도를 18도 이상 24도 이하, 습도는 40퍼센트 이상 70퍼센트 이하를 유지하여야 한다.

    68

    2과목(인간공학 및 위험성평가관리) 301~423

    ☆☆

    불대수의 관계식으로 맞는 것은?


    문제이미지

    69

    2과목(인간공학 및 위험성평가관리) 301~423

    ☆☆

    조도가 400럭스인 위치에 놓인 흰색 종이 위에 짙은 회색의 글자가 씌어져 있다. 종이의 반사율 80%이고, 글자의 반사율은 40%라 할 때 종이와 글자의 대비는 얼마인가?


    문제이미지

    70

    2과목(인간공학 및 위험성평가관리) 301~423

    ☆☆☆

    조도가 250럭스인 책상 위에 짙은 색 종이 A와 B가 있다. 종이 A의 반사율은 20%이고, 종이 B의 반사율은 15%이다. 종이 A에는 반사율 80%의 색으로, 종이 B에는 반사율 60%의 색으로 같은 글자를 각각 썼을 때의 설명으로 맞는 것은?

    (단, 두글자의 크기, 색, 재질 등은 동일하다.)


    문제이미지

    71

    2과목(인간공학 및 위험성평가관리) 301~423

    다음 중 주어진 작업에 대하여 필요한 소요조명(fc)을 구하는 식으로 옳은 것은?

    소요조명(fc)=소요휘도(fL)반사율소요조명(f_c) = \dfrac {소요휘도(f_L)} {반사율}

    72

    2과목(인간공학 및 위험성평가관리) 301~423

    60fL의 광도를 요하는 시각 표시장치의 반사율이 75%일 때, 소요조명은 몇 fc인가?


    문제이미지

    73

    2과목(인간공학 및 위험성평가관리) 301~423

    ☆☆☆☆

    1cd의 점광원에서 1m 떨어진 곳에서의 조도가 3lux이었다. 동일한 조건에서 5m 떨어진 곳에서의 조도는 약 몇 lux인가?


    문제이미지

    74

    2과목(인간공학 및 위험성평가관리) 301~423

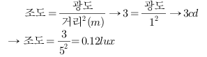
    ☆☆

    광원으로부터 2m 떨어진 곳에서 측정한 조도가 400럭스이고, 다른 곳에서 동일한 광원에 의한 밝기를 측정하였더니 100럭스이었다면, 두 번째로 측정한 지점은 광원으로부터 몇m 떨어진 곳인가?


    문제이미지

    75

    2과목(인간공학 및 위험성평가관리) 301~423

    ☆☆

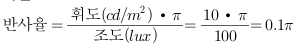
    휘도(luminance)가 10cd/m2이고, 조도(illuminance)가 100lx일 때 반사율(reflectance)(%)는?


    문제이미지

    76

    2과목(인간공학 및 위험성평가관리) 301~423

    ☆☆☆☆☆☆☆

    조정장치를 3cm 움직였을 때 표시장치의 지침이 5cm 움직였다면, C/R비는 얼마인가?


    문제이미지

    77

    2과목(인간공학 및 위험성평가관리) 301~423

    ☆☆

    레버를 10° 움직이면 표시장치는 1cm 이동하는 조종장치가 있다. 레버의 길이가 20cm라고 하면 이 조종 장치의 통제표시비(C/D비)는 약 얼마인가?


    문제이미지

    78

    2과목(인간공학 및 위험성평가관리) 301~423

    ☆☆

    반경 10cm의 조종구(ball control)를 30° 움직였을 때, 표시장치가 2cm 이동하였다면 통제표시비(C/R비)는 약 얼마인가?


    문제이미지

    79

    2과목(인간공학 및 위험성평가관리) 301~423

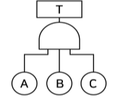
    기본사상 A와 B가 OR gate로 연결되어 있는 FT도에서 정상사상(top event)의 발생확률은 얼마인가?

    (단, 기본사상 A와 B의 발생

    확률은 각각 1∙10-3/h, 1.5∙10-2/h이다.)


    1-(1-1∙10-3)(1-1.5∙10-2)=0.016

    80

    2과목(인간공학 및 위험성평가관리) 301~423

    ☆☆

    신뢰도가 0.4인 부품 5개가 병렬 결합 모델로 구성된 제품이 있을 때 제품 신뢰도는?


    1-(1-0.4)(1-0.4)(1-0.4)(1-0.4)(1-0.4)=0.92

    81

    2과목(인간공학 및 위험성평가관리) 301~423

    ☆☆

    조작자 한 사람의 신뢰도가 0.9일 때 요원을 중복하여 2인 1조가 되어 작업을 진행하는 공정이 있다. 작업 기간 중 항상 요원 지원을 한다면 이 조의 인간 신뢰도는?


    병렬구조이다.

    1-(1-0.9)(1-0.9)=0.99

    82

    2과목(인간공학 및 위험성평가관리) 301~423

    품질 검사 작업자가 한 로트에서 검사 오류를 범할 확률이 0.1이고, 이 작업자가 하루에 5개의 로트를 검사한다면, 5개 로트에서 에러를 범하지 않을 확률은?

    (1-0.1)(1-0.1)(1-0.1)(1-0.1)(1-0.1)=0.59

    =59%

    83

    2과목(인간공학 및 위험성평가관리) 301~423

    세발자전거에서 각 바퀴의 신뢰도가 0.9일 때 이 자전거의 신뢰도는 얼마인가?


    세발자전거는 바퀴가 하나만 없어도 안되기에 AND로 취급한다.

    → 0.9∙0.9∙0.9=0.729

    84

    2과목(인간공학 및 위험성평가관리) 301~423

    [그림]과 같이 신뢰도 R인 n개의 요소가 병렬로 구성된 시스템의 전체 신뢰도로 옳은 것은?

    문제이미지


    문제이미지

    85

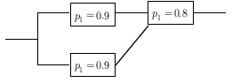
    2과목(인간공학 및 위험성평가관리) 301~423

    다음 그림과 같은 시스템의 신뢰도는 약 얼마인가?

    (단, p는 부품 i의 신뢰도이다.) 

    문제이미지


    신뢰도=(1-(1-0.9)(1-0.9))∙(0.8)

    =0.792=79.2%

    86

    2과목(인간공학 및 위험성평가관리) 301~423

    ☆☆☆☆

    그림과 같은 시스템의 신뢰도로 옳은 것은?

    (단, 그림의 숫자는 각 부품의 신뢰도이다.)

    문제이미지


    신뢰도=0.9∙(1-(1-0.7)∙(1-0.7))∙0.9

    =0.7371

    87

    2과목(인간공학 및 위험성평가관리) 301~423

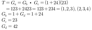
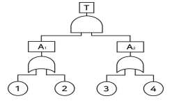
    ☆☆☆☆

    톱사상 T를 일으키는 컷셋에 해당하는 것은?

    문제이미지


    T=(A∙B∙C)={A, B, C}

    88

    2과목(인간공학 및 위험성평가관리) 301~423

    ☆☆

    다음 FT도에서 각 사상이 발생할 확률이 B1은 0.1, B2는 0.2, B3는 0.3일 때 사상 A가 발생할 확률은 약 얼마인가?

    문제이미지


    A=1-{(1-B1)(1-B2)(1-B3)}

    =1-{(1-0.1)(1-0.2)(1-0.3)}

    =0.496

    89

    2과목(인간공학 및 위험성평가관리) 301~423

    ☆☆

    FT도에서 정상사상 A의 발생확률은?

    (단, 기본사상 ①과 ②의 발생확률은 각각 2×10-3/h, 3×10-2/h이다.)


    A=①∙②=2×10-3∙3×10-2=6×10-5

    90

    2과목(인간공학 및 위험성평가관리) 301~423

    ☆☆☆☆☆☆

    다음 FTA 그림에서 a, b, c의 부품고장률이 각각 0.01일 때, 최소 컷셋(minimal cut sets)과 신뢰도로 옳은 것은?

    문제이미지


    (a∙b)(c+a)=(a,b,c), (a,b)

    → 최소컷셋은 (a,b) 이다.

    신뢰도=1-0.01∙0.01=0.9999=99.99%

    91

    2과목(인간공학 및 위험성평가관리) 301~423

    다음과 같은 FT도에서 minimal cut set으로 옳은 것은?

    문제이미지


    문제이미지

    92

    2과목(인간공학 및 위험성평가관리) 301~423

    ☆☆

    FT도에 의한 컷셋(cut set)이 다음과 같이 구해졌을 때 최소 컷셋(minimal cut set)으로 맞는 것은?


    ∙(X1, X3) ∙(X1, X2, X3) ∙(X1, X3, X4)


    공통된 변수는 (X1, X3)이다.

    93

    2과목(인간공학 및 위험성평가관리) 301~423

    다음과 같이 ①~④의 기본사상을 가진 FT도에서 minimal cut set으로 옳은 것은?

    문제이미지


    문제이미지

    94

    2과목(인간공학 및 위험성평가관리) 301~423

    다음의 FT도에서 몇 개의 미니멀 패스셋(minimal path sets)이 존재하는가?

    문제이미지


    패스셋은 컷셋과 반대이다.

    T=G1+G2=(X1+X2)+(X1∙X3)

    =(X1), (X2), (X1,X3)

    → 최소 패스셋=(X1), (X2)

    95

    2과목(인간공학 및 위험성평가관리) 301~423

    ☆☆☆

    그림의 FT도에서 최소 패스셋(minimal pathset)은?

    문제이미지


    패스셋은 컷셋과 반대이다.

    Y=A1+A2=(1∙2)+(3∙4)={1,2},{3,4}

    96

    2과목(인간공학 및 위험성평가관리) 301~423

    결함수분석(FTA)결과 다음과 같은 패스셋을 구하였다. X4가 중복사상인 경우, 최소 패스셋(minimal path sets)으로 맞는 것은?

    문제이미지


    공통으로 있는 것은 {X3, X4}이다.

    97

    2과목(인간공학 및 위험성평가관리) 301~423

    ☆☆☆

    작업자가 100개의 부품을 육안 검사하여 20개의 불량품을 발견하였다. 실제 불량품이 40개라면 인간에러(human error) 확률은 약 얼마인가?


    문제이미지

    98

    2과목(인간공학 및 위험성평가관리) 301~423

    어뢰를 신속하게 탐지하는 경보시스템은 영구적이며, 경계나 부주의로 광점을 탐지하지 못하는 조작자 실수율은 0.001t/시간이고, 균질(homogeneous)하다. 또한, 조작자는 15분마다 스위치를 작동해야 하는데 인간실수확률(HEP)이 0.01인 경우에 2시간에서 3시간 사이에 인간-기계시스템의 신뢰도는 약 얼마인가?


    조작자 신뢰율=1-0.001=0.999

    스위치조작 신뢰율=1-0.01=0.99

    2시간에서 3시간 간격=60분

    → (0.999∙0.999∙0.999∙0.999)∙(0.99

    ∙0.99∙0.99∙0.99)

    =0.95676=95.676%

    99

    2과목(인간공학 및 위험성평가관리) 301~423

    ☆☆

    건구온도 38℃, 습구온도 32℃일 때의 Oxford 지수는 몇℃인가?

    Oxford 지수=0.85∙습구온도+0.15∙건구온도 =0.85∙32+0.15∙38=32.9℃

    100

    2과목(인간공학 및 위험성평가관리) 301~423

    ☆☆

    자연습구온도가 20℃이고, 흑구온도가 30℃일 때, 실내의 습구흑구온도지수(WBGT: wet-bulb globe temperature)는 얼마인가?


    옥내 또는 옥외(태양광선 없는 장소)

    WBGT=0.7∙자연습구온도+0.3∙흑구온도

    =0.7∙20+0.3∙30=23℃

    101

    2과목(인간공학 및 위험성평가관리) 301~423

    상대습도가 100%, 온도 21℃일 때 실효온도(effective temperature)는 얼마인가?


    실효온도란 습도 100%일 때 온도에서 느끼는 것과 동일한 온도, 즉 21℃다.

    102

    2과목(인간공학 및 위험성평가관리) 301~423

    어떤 작업의 평균에너지소비량이 5kcal/min일 때 1시간 작업 시 휴식시간은 약 몇 분이 필요한가?


    문제이미지

    103

    2과목(인간공학 및 위험성평가관리) 301~423

    ☆☆

    건강한 남성이 8시간 동안 특정 작업을 실시하고, 분당 산소소비량이 1.1L/분으로 나타났다면 8시간 총 작업시간에 포함될 휴식시간은 약 몇 분인가?

    (단, Murrell의 방법을 적용하며, 휴식 중 에너지 소비율은 1.5kcal/min이다.)


    문제이미지

    104

    2과목(인간공학 및 위험성평가관리) 301~423

    ☆☆☆

    러닝벨트 위를 일정한 속도로 걷는 사람의 배기가스를 5분간 수집한 표본을 가스성분 분석기로 조사한 결과, 산소 16%, 이산화탄소 4%로 나타났다. 배기가스 전량을 가스미터에 통과시킨 결과, 배기량이 90리터였다면 분당 산소소비량과 에너지소비량는 약 얼마인가?


    문제이미지

    105

    2과목(인간공학 및 위험성평가관리) 301~423

    ☆☆

    주물공장 A작업자의 작업지속시간과 휴식시간을 열압박지수(HSI)를 활용하여 계산하니 각각 45분, 15분이었다. A작업자의 1일 작업량은 얼마인가?

    (단, 휴식시간은 포함하지 않으며, 1일 근무시간은 8시간이다.)


    문제이미지

    106

    2과목(인간공학 및 위험성평가관리) 301~423

    ☆☆☆

    동전 던지기에서 앞면이 나올 확률 P(앞)=0.6이고, 뒷면이 나올 확률 P(뒤)=0.4일 때, 앞면과 뒷면이 나올 사건의 정보량을 각각 맞게 나타낸 것은?


    문제이미지

    107

    2과목(인간공학 및 위험성평가관리) 301~423

    녹색과 적색의 두 신호가 있는 신호등에서 1시간동안 적색과 녹색이 각각 30분씩 켜진다면 이 신호등의 정보량은?


    문제이미지

    108

    2과목(인간공학 및 위험성평가관리) 301~423

    빨강, 노랑, 파랑의 3가지 색으로 구성된 교통 신호등이 있다. 신호등은 항상 3가지 색으로 구성된 교통 신호등이 있다. 신호등은 항상 3가지 색 중 하나가 켜지도록 되어 있다. 1시간 동안 조사한 결과, 파란등은 총 30분 동안, 빨간등과 노란등은 각각 총 15분 동안 켜진 것으로 나타났다. 이 신호등의 총 정보량은 몇bit인가?


    문제이미지

    109

    2과목(인간공학 및 위험성평가관리) 301~423

    1에서 15까지 수의 집합에서 무작위로 선택할 때, 어떤 숫자가 나올지 알려주는 경우의 정보량은 몇 bit인가?


    문제이미지

    110

    2과목(인간공학 및 위험성평가관리) 301~423

    10시간 설비 가동 시 설비고장으로 1시간 정지하였다면 설비고장강도율은 얼마인가?


    문제이미지

    111

    2과목(인간공학 및 위험성평가관리) 301~423

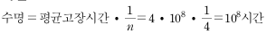
    어떤 공장에서 10,000시간 동안 15,000개의 부품을 생산하였을 때 설비고장으로 인하여 15개의 불량품이 발생하였다면 평균고장간격(MTBF)은 얼마인가?


    문제이미지

    112

    2과목(인간공학 및 위험성평가관리) 301~423

    ☆☆☆

    어떤 전자기기의 수명은 지수분포를 따르며, 그 평균수명이 1,000시간이라고 할 때, 500시간 동안 고장 없이 작동할 확률은 약 얼마인가?


    문제이미지

    113

    2과목(인간공학 및 위험성평가관리) 301~423

    어떤 기기의 고장률이 시간당 0.002로 일정하다고 한다. 이 기기를 100시간 사용했을 때 고장이 발생할 확률은?


    문제이미지

    114

    2과목(인간공학 및 위험성평가관리) 301~423

    평균고장시간이 4×108시간인 요소 4개가 직렬체계를 이루었을 때 이 체계의 수명은 몇시간인가?


    문제이미지

    115

    2과목(인간공학 및 위험성평가관리) 301~423

    ☆☆

    지게차 인장벨트의 수명은 평균이 100,000시간, 표준편차가 500시간인 정규분포를 따른다. 이 인장벨트의 수명이 101,000시간 이상일 확률은 약 얼마인가?

    (단, P(Z≤1)=0.8413, P(Z≤2)=0.9772, P(Z≤3)=0.9987이다.)


    문제이미지

    116

    2과목(인간공학 및 위험성평가관리) 301~423

    A공장 근로자가 다음과 같은 소음에 노출되었다. 총 소음 노출량(%)은 약 얼마인가?


    80dB(A): 2시간 30분

    90dB(A): 4시간 30분

    100dB(A): 1시간


    문제이미지

    117

    2과목(인간공학 및 위험성평가관리) 301~423

    2개 공정의 소음수준 측정 결과 1공정은 100dB에서 2시간, 2공정은 90dB에서 1시간 소요될 때 총 소음량(TND)과 소음설계의 적합성을 올바르게 나열한 것은?

    (단, 우리나라는 90dB에 8시간 노출될 때를 허용기준으로 하며, 5dB 증가할 때 허용시간은 1/2로 감소되는 법칙을 적용한다.)


    문제이미지

    118

    2과목(인간공학 및 위험성평가관리) 301~423

    ☆☆

    음량 수준이 50phon일 때 sone 값은?


    문제이미지

    119

    2과목(인간공학 및 위험성평가관리) 301~423

    ☆☆

    40phon이 1sone일 때 60phon은 몇sone인가?


    문제이미지

    120

    2과목(인간공학 및 위험성평가관리) 301~423

    음압수준이 120dB인 경우 100Hz에서의 phon값과 sone값으로 옳은 것은?


    문제이미지

    121

    2과목(인간공학 및 위험성평가관리) 301~423

    자동생산라인의 오류 경보음을 3단계로 설계하였다. 1단계 경보음이 1,000Hz, 60dB라할 때 3단계 오류 경보음이 1단계 경보음보다 4배 더 크게 들리도록 하려면, 다음 중 경보음의 주파수와 음압 수준으로 가장 적절한 것은?


    동일한 주파수에서 음의 크기가 10dB이 증가하면 음압은 두 배 커진다. 음압이 4배 증가하려면 20dB이 증가하면 된다.

    122

    2과목(인간공학 및 위험성평가관리) 301~423

    인체의 피부와 허파로부터 하루에 600g의 수분이 증발될 때 열손실율은 약 얼마인가?

    (단, 37℃의 물 1g을 증발시키는데 필요한 에너지는 2,410J/g이다.)


    문제이미지

    123

    2과목(인간공학 및 위험성평가관리) 301~423

    사업장의 근로자 A에 대해 워크 샘플링 분석을 해보니 이 담당자의 실제 근무시간의 비율은 총 근무시간의 80%였으며, 평정 계수는 100%였다. 이 근로자는 8시간의 분석대상 근무시간 중 200단위의 작업을 처리하였다. 이 사업장은 총 근무시간의 10%를 여유시간으로 준다고 할 때 고객당 정상시간과 표준시간을 구하면?

    문제이미지