모두CBT | 국가고시 실기시험 부시기!

산업위생관리기사 실기 계산형(51~100) 해설 페이지

산업위생관리기사 실기 계산형(51~100)

    1

    산업위생관리기사 실기 계산형(51~100)

    ☆☆

    압력 700mmHg, 온도 120°C에서 유량이 150일 때 1기압, 30°C에서의 유량(m3/min)을 구하시오.

    유량: 106.52m3/min

    문제이미지

    2

    산업위생관리기사 실기 계산형(51~100)

    온도 50°C에서 유량이 150m3/min일 때 10°C에서의 유량(m3/min)을 구하시오.

    유량: 131.42m3/min

    문제이미지

    3

    산업위생관리기사 실기 계산형(51~100)

    합류관에서 유량 20m3/min, 50m3/min이 합류하였고, 유속이 15m/s일 때 직경(m)을 구하시오.

    직경: 0.31m

    문제이미지

    4

    산업위생관리기사 실기 계산형(51~100)

    합류점에서 유량 균형을 유지하기 위해 필요한 보정된 유량(m3/min)을 구하시오.

    문제이미지

    보정된 유량: 216.93m3/min

    문제이미지

    5

    산업위생관리기사 실기 계산형(51~100)

    비누거품미터로 유량 보정 시 1L를 통과하는데 총 4번 측정한 결과 25.5초, 25.3초, 26초, 25.8초였다, 이 펌프의 평균 유량(L/min)을 구하시오.

    평균 유량: 2.34L/min

    문제이미지

    6

    산업위생관리기사 실기 계산형(51~100)

    ACH 10회/h, 실내 체적 1,500m3일 때 실내공기 환기량(m3/s)을 구하시오.

    환기량: 4.17m3/s

    문제이미지

    7

    산업위생관리기사 실기 계산형(51~100)

    ☆☆☆☆☆☆☆

    1인당 CO2 배출량은 20L/h, 외기 CO2 농도 0.03%, 면적 3,000m3인 사무실에 500명의 근로자가 있다. 실내 CO2 농도를 0.1%로 유지하려 할 때 공기교환횟수(회/h)를 구하시오.

    공기교환횟수: 4.76회/h

    문제이미지

    8

    산업위생관리기사 실기 계산형(51~100)

    ☆☆☆☆☆

    1인당 CO2 배출량은 30L/h, 외기 CO2 농도 400ppm, 면적 2,000m3인 사무실에 50명의 근로자가 있다. 실내 CO2 농도 600ppm으로 유지하려 할 때 공기교환횟수(회/h)를 구하시오.

    공기교환횟수: 3.75회/h

    문제이미지

    9

    산업위생관리기사 실기 계산형(51~100)

    ☆☆☆

    직경 20cm인 덕트, 유속 2m/s일 때 작업장(5*10*3m)의 공기교환횟수(회/h)를 구하시오.

    공기교환횟수: 1.51회/h

    문제이미지

    10

    산업위생관리기사 실기 계산형(51~100)

    ☆☆☆

    측정 초기 교실 이산화탄소 농도가 1,500ppm이고, 3시간이 지난 후에는 500ppm이다. 외부공기 중 이산화탄소 농도는 300ppm일 때 교실의 공기교환횟수(ACH, 회/h)를 구하시오.

    공기교환횟수: 0.6회/h

    문제이미지

    11

    산업위생관리기사 실기 계산형(51~100)

    ☆☆☆

    덕트 속도압 10mmH2O, 후드 정압 20mmH2O일 때, 후드 유입계수를 구하시오.

    후드 유입계수: 0.71

    문제이미지

    12

    산업위생관리기사 실기 계산형(51~100)

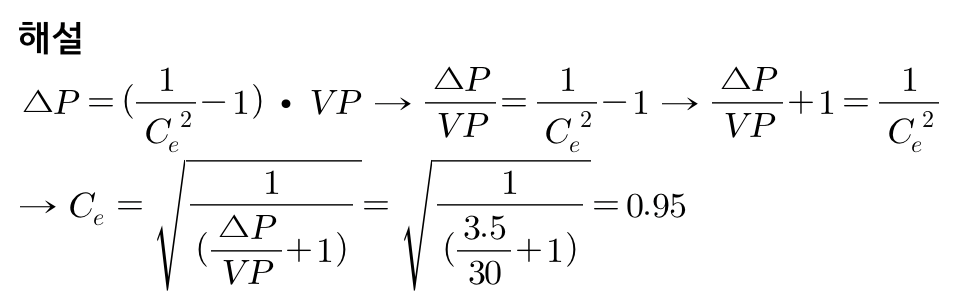
    ☆☆☆☆

    덕트 속도압 30mmH2O, 후드 압력손실 3.5mmH2O일 때, 후드 유입계수를 구하시오.

    후드 유입계수: 0.95

    문제이미지

    13

    산업위생관리기사 실기 계산형(51~100)

    후드 유입손실계수가 1.5일 때 후드 유입계수를 구하시오.

    후드 유입계수: 0.63

    문제이미지

    14

    산업위생관리기사 실기 계산형(51~100)

    ☆☆☆

    후드 유입계수 0.85, 후드 정압 1.8mmH2O, 원형 후드 지름 0.3m일 때 소요 유량(m3/min)을 구하시오.

    소요유량: 19.65m3/min

    문제이미지

    15

    산업위생관리기사 실기 계산형(51~100)

    ☆☆☆☆☆☆

    압력손실계수 0.6, 송풍량 40m3/min, 원형 후드 지름 0.3m일 때 후드 정압(mmH2O)을 구하시오.

    정압: -8.71mmH2O

    문제이미지

    16

    산업위생관리기사 실기 계산형(51~100)

    ☆☆☆

    압력손실계수 0.8, 유량 0.5m3/s 원형 확대관에서 확대 전 직경 30cm, 확대 후 직경 40cm, 확대 전 정압 -22mmH2O일 때 확대 후 정압(mmH2O)을 구하시오.

    확대 후 정압: -21.58mmH2O

    문제이미지

    17

    산업위생관리기사 실기 계산형(51~100)

    ☆☆

    송풍기 흡입구 정압 60mmH2O, 배출구 정압 20mmH2O, 송풍기 입구 평균유속 25m/s일 때 송풍기 정압(mmH2O)을 구하시오.

    송풍기 정압: -78.236mmH2O


    해설

    송풍기 정압

    =송풍기 전압-배출구 속도압

    =(배출구 정압-흡입구 정압)+(배출구 속도압-흡입구 속도압)-배출구 속도압

    =(배출구 정압-흡입구 정압)-흡입구 속도압

    =(20-60)-38.236=-78.236mmH2O

    =배출구 정압-흡입구 전압

    문제이미지

    18

    산업위생관리기사 실기 계산형(51~100)

    ☆☆☆☆☆

    전압(mmH2O), 정압(mmH2O), 속도압(mmH2O)을 구하시오.

    문제이미지

    전압: 30mmH2O

    정압: 10mmH2O

    동압(=속도압)=전압-정압=30-10=20mmH2O

    ※꼭 강의 영상 보세요~!

    19

    산업위생관리기사 실기 계산형(51~100)

    전압(mmH2OmmH_2O), 속도압(mmH2OmmH_2O)을 구하시오.

    문제이미지

    전압: 4mmH2O-4mmH_2O

    동압(=속도압)=10mmH2O10mmH_2O

    정압=전압-동압=-4-10=14mmH2O-14mmH_2O

    ※꼭 강의 영상 보세요~!

    20

    산업위생관리기사 실기 계산형(51~100)

    ☆☆☆☆☆☆☆

    비중량 1.2kg/m3, 덕트 면적 0.4m2, 덕트 내 정압 -65mmH2O, 전압 -20mmH2O일 때 반송속도(m/s)와 공기유량(m3/min)를 구하시오.

    반송속도: 27.11m/s   공기유량: 650.64m3/min

    문제이미지

    21

    산업위생관리기사 실기 계산형(51~100)

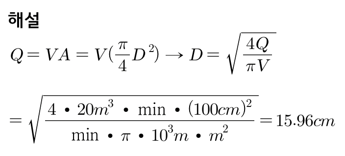
    3m2 개구면적 가진 사각 후드를 통해 20m3/min의 혼합공기가 1km/min 속도로 유입되도록 하기 위한 덕트 직경(cm)을 구하시오.

    직경: 15.96cm

    문제이미지

    22

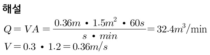
    산업위생관리기사 실기 계산형(51~100)

    개구면적 1.5m2, 제어속도 0.3~0.5m/s, 하한 제어속도의 20% 더 빠른 속도로 포집하려 할 때 필요 흡인량(m3/min)을 구하시오.

    필요 흡인량: 32.4m3/min

    문제이미지

    23

    산업위생관리기사 실기 계산형(51~100)

    다음 조건으로 톨루엔(분자량 92.13g) 농도(ppm)를 구하시오.

    문제이미지

    농도: 2.27ppm

    문제이미지

    24

    산업위생관리기사 실기 계산형(51~100)

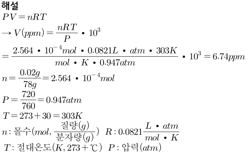
    벤젠 농도 20mg/m3, 압력 720mmHg, 온도 30°C일때 이상기체방정식을 이용해 농도(ppm)를 구하시오.

    농도: 6.74ppm

    문제이미지

    25

    산업위생관리기사 실기 계산형(51~100)

    ☆☆☆

    벤젠(C6H6) 농도 5mg/m3일 때 산업환기 표준상태에서의 농도(ppm)를 구하시오.

    농도: 1.55ppm

    문제이미지

    26

    산업위생관리기사 실기 계산형(51~100)

    ☆☆☆☆☆

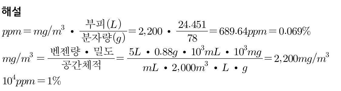
    1기압, 25°C, 2,000m3 공간에 벤젠(분자량 78g, 비중 0.88) 5L를 주입할 때 벤젠이 차지하는 비율(%)을 구하시오.

    벤젠이 차지하는 비율: 0.069%

    문제이미지

    27

    산업위생관리기사 실기 계산형(51~100)

    작업장에서 채취한 공기 시료 채취량 100L인 시료 여재로부터 0.25mg의 아연(Zn)을 분석할 때 시료 채취기간동안 작업자에게 노출된 산화아연(ZnO) 흄 농도(mg/m3)을 구하시오.

    농도: 3.11 mg/m3

    문제이미지

    28

    산업위생관리기사 실기 계산형(51~100)

    ☆☆☆☆☆

    필터 무게 10mg, 채취 전 여과지 무게 1mg, 채취 후 여과지 무게 3mg, 채취부피 4L/min인 곳에서 10분간 포집 시 공기 중 농도(mg/m3)를 구하시오.

    공기 중 농도: 50mg/m3

    문제이미지

    29

    산업위생관리기사 실기 계산형(51~100)

    ☆☆☆☆☆

    채취 전 여과지 무게 10mg, 채취 후 여과지 무게 16mg, 채취부피 40L/min인 곳에서 30분 포집 시 공기 중 농도(mg/m3)를 구하시오.

    공기 중 농도: 5mg/m3

    문제이미지

    30

    산업위생관리기사 실기 계산형(51~100)

    ☆☆☆

    납을 여과지로 포집해 분석한 결과 시료 여과지에서 20μg, 공시료 여과지에서 5μg 검출되었다. 4시간 동안 2L/min으로 채취하였고, 회수율 98%일 때 공기 중 농도(mg/m3)를 구하시오.(소수 셋째자리까지 구하시오.)

    공기 중 농도: 0.032mg/m3

    문제이미지

    31

    산업위생관리기사 실기 계산형(51~100)

    ☆☆

    채취 전 여과지 무게 0.42mg, 채취 후 여과지 무게 0.67mg, 채취 전 공시료 여과지 무게 0.4mg, 채취 후 공시료 여과지 무게 0.39mg이며 유량 2L/min으로 150분 포집 시 질량농도(mg/m3)를 구하시오.

    질량농도: 0.87mg/m3

    문제이미지

    32

    산업위생관리기사 실기 계산형(51~100)

    톨루엔 분석량 1mg, 채취유량 50cm3/min, 채취시간 350분, 탈착률 95%일 때 질량농도(mg/m3)를 구하시오.

    질량농도: 60.15mg/m3

    문제이미지

    33

    산업위생관리기사 실기 계산형(51~100)

    로우볼륨샘플러로 납을 채취했다, 납 정량치 20μg, 총 흡인유량 300L, 회수율 95%일 때 공기 중 납 농도(mg/m3)를 구하시오.

    농도: 0.07mg/m3

    문제이미지

    34

    산업위생관리기사 실기 계산형(51~100)

    ☆☆☆☆

    재순환 공기의 CO2 농도 700ppm이고, 급기 CO2 농도 500ppm, 외부 공기 CO2 농도 350ppm일 때 급기 중 외부 공기 포함량(%)을 구하시오.

    급기 중 외부 공기 포함량: 57.14%

    문제이미지

    35

    산업위생관리기사 실기 계산형(51~100)

    ☆☆☆☆

    1기압 25°C인 작업장에서 벤젠을 고체흡착관으로 13시부터 17시까지 측정한다. 비누거품미터로 유량 보정 시 50cc 통과하는데 시료채취 전에는 16초, 시료채취 후에는 16.5초가 걸렸다, 벤젠 분석 결과 활성탄관 앞층에서 2mg, 뒷층에선 0.1mg가 검출되었을 때 파과 여부와 공기 중 벤젠 농도(ppm)을 구하시오.

    파과 여부: 파과 안됨   벤젠 농도: 14.86ppm

    문제이미지

    36

    산업위생관리기사 실기 계산형(51~100)

    ☆☆

    1기압 25°C인 작업장에서 벤젠을 고체흡착관으로 13시부터 17시까지 측정한다. 비누거품미터로 유량 보정 시 50cc 통과하는데 시료채취 전에는 16초, 시료채취 후에는 16.5초가 걸렸다, 벤젠 분석 결과 활성탄관 앞층에서 2mg, 뒷층에선 0.1mg가 검출되었을 때 공기 중 벤젠 농도(ppm)을 구하시오. (공시료 평균 분석량은 0.01mg)

    벤젠 농도: 14.79ppm

    문제이미지

    37

    산업위생관리기사 실기 계산형(51~100)

    측정시간 2시간, 펌프 유량 2.5L/min, 직경 25mm 여과지(유효직경 22.15mm)를 사용해 석면을 채취해 분석한 결과 단위시야당 시료 3.1개, 공시료는 0.05개일 때 석면 농도(개/cc)를 구하시오.(단위시야면적(Af)은0.00785mm2)

    석면 농도: 0.5개/cc

    문제이미지

    38

    산업위생관리기사 실기 계산형(51~100)

    ☆☆☆☆☆

    부피 400m3, 유효환기량 57m3/min인 작업장에 메틸클로로폼 증기가 100ppm 발생했다, 이 양을 30ppm까지 감소시키는데 걸리는 시간(분)을 구하시오.

    8.45분

    문제이미지

    39

    산업위생관리기사 실기 계산형(51~100)

    부피 3,000m3, 유효환기량 57인 작업장에 메틸렌글로라이드 증기가 600g/h 발생했다, 이 양을 100mg/m3까지 감소시키는데 걸리는 시간(분)을 구하시오.

    44.42분

    문제이미지

    40

    산업위생관리기사 실기 계산형(51~100)

    ☆☆☆☆☆☆

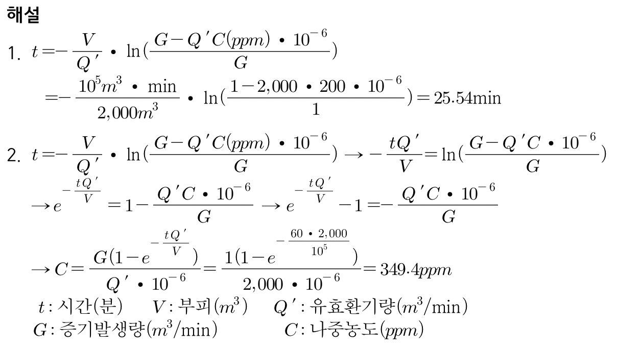
    부피 100,000m3, 유효환기량 2,000m3/min인 작업장에 메틸클로로폼 증기가 1발생했다. 다음 물음에 답하시오.


     1. 작업장 초기농도 0ppm에서 200ppm에 도달하는데 걸리는 시간(분)

     2. 1시간 뒤 농도(ppm)

    1. 25.54분  2. 349.4ppm

    문제이미지

    41

    산업위생관리기사 실기 계산형(51~100)

    1atm, 25°C인 작업장에서 테트라클로로에틸렌(분자량 165.8g, TLV 25ppm, 폐흡수율(체내잔류율) 80%)을 사용하며 80kg 작업자가 경노동(호흡률(폐환기율) 1m3/h) 5시간, 중노동(호흡률(폐환기율) 1.5m3/h) 3시간 근무했다. 작업장 내 폭로 농도 23ppm일 때 근로자 하루 폭로량(mg/kg)을 구하시오.

    폭로량: 14.82mg/kg

    문제이미지

    42

    산업위생관리기사 실기 계산형(51~100)

    ☆☆☆

    폐환기율 1m3/h, 체내 잔류율 1, 체내흡수량 0.05mg/kg, 평균체중 80kg인 근로자가 경작업 수준으로 1일 8시간 근무 시 허용농도(mg/m3)를 구하시오.

    허용농도: 0.5mg/m3

    문제이미지

    43

    산업위생관리기사 실기 계산형(51~100)

    ☆☆☆

    폐환기율 1m3/h, 체내 잔류율 1, 1기압, 25°C에서 체내흡수량이 0.1mg/kg, 평균체중 90kg인 근로자가 경작업 수준으로 벤젠(분자량 78g) 농도 50ppm인 물질이 있을 때 최소 몇분 이하로 노출이 가능한지 구하시오.

    3.39분

    문제이미지

    44

    산업위생관리기사 실기 계산형(51~100)

    ☆☆☆☆☆

    과거 트리클로로에틸렌(분자량 131.4g) 노출농도는 평균 50ppm이었다, 시료는 활성탄관을 이용해 0.2L/min의 유량을 채취한다. 가스 크로마토그래피 정량한계(LOQ)는 시료당 0.5mg일 때 최소 채취시간(분)을 구하시오. 온도는 25°C이다.

    최소 채취시간: 9.3분

    문제이미지

    45

    산업위생관리기사 실기 계산형(51~100)

    ☆☆

    육체적 작업능력(PWC)이 16kcal/min인 남성이 1일 8시간 동안 작업을 했으며 이때 작업대사량은 10kcal/min이고, 휴식 시 대사량은 1.5kcal/min일 때 적정 휴식시간(분)을 구하시오.

    적정 휴식시간: 32.94분

    문제이미지

    46

    산업위생관리기사 실기 계산형(51~100)

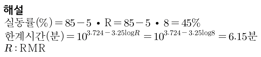
    사이토 오시마식을 이용해 RMR이 8인 작업을 하는 근로자의 실동률(%)과 계속작업의 한계시간(분)을 구하시오.

    실동률: 45%  

    계속작업의 한계시간: 6.15분

    문제이미지

    47

    산업위생관리기사 실기 계산형(51~100)

    ☆☆☆☆☆☆☆☆☆

    흡음량이 2,500sabin인 작업장 천장에 흡음물질을 첨가해 2,000sabin을 더할 경우 실내소음 저감량(dB)을 구하시오.

    저감량: 2.55dB

    문제이미지

    48

    산업위생관리기사 실기 계산형(51~100)

    ☆☆

    가로 5m, 세로 3m, 높이 4m인 작업장 흡음률이 천장 0.1, 바닥 0.3, 벽 0.2일 때 다음 물음에 답하시오.


    1. 총 흡음력(sabin)

    2. 흡음률이 천장 0.3될 시 저감량(dB)

    1. 18.8sabin   2. 0.64dB

    문제이미지

    49

    산업위생관리기사 실기 계산형(51~100)

    100dB 소음 발생하는 작업장에서 흡음물질 추가 후 총 흡음량이 4배 증가했다면 흡음물질 추가 후 예상되는 소음(dB(A))을 구하시오.

    예상되는 소음: 93.98dB(A)

    문제이미지

    50

    산업위생관리기사 실기 계산형(51~100)

    ☆☆☆

    20m*50m*10m인 공장에 대해 총 흡음량을 조사하려 한다. 총 흡음량은 음 잔향시간(반향시간)을 이용해 측정했을 때 130dB의 소음을 발생했고, 공장 소음이 70dB까지 감소되는 시간이 5초이다, 다음 물음에 답하시오.


    1. 흡음물질 사용해 총 흡음량을 3배로 증가시킬 때 실내 소음 저감량(dB)

    2. 총 흡음량(sabin)

    1. 4.77dB  2. 322sabin

    문제이미지