모두CBT | 국가고시 실기시험 부시기!

인간공학기사 23년 2회 해설 페이지

인간공학기사 23년 2회

    1

    인간공학기사 23년 2회

    다음 보기 중 Fail-Safe의 사례를 고르시오.

    ㄱ.자동차 후방카메라가 설치된 차량

    ㄴ.엔진을 두개 장착한 비행기

    ㄷ.자동차 스페어 타이어

    ㄹ.넘어졌을 시 자동으로 작동이 꺼지는 난로

    ㅁ.뚜껑을 누르고 돌려야 열리는 약병

    ㄴ,ㄷ

    2

    인간공학기사 23년 2회

    제조물책임법에서 제조물 결함의 종류에 대한 정의를 쓰시오.

    1.제조상의 결함 : 제조업자가 제조물에 대하여 제조상, 가공상의 주의 의무를 이행하였는지에 관계 없이 제조물이 원래 의도한 설계와 다르게 제조, 가공됨으로써 안전하지 못하게 된 경우를 말한다.

    2.설계상의 결함: 제조업자가 합리적인 대체설계를 채용하였더라면 피해나 위험을 줄이거나 피할 수 있었음에도 대체설계를 채용하지 아니하여 해당 제조물이 안전하지 못하게 된 경우를 말한다.

    3.표시상의 결함 : 제조업자가 합리적인 설명, 지시, 경고 또는 그 밖의 표시를 하였더라면 해당 제조물에 의하여 발생할 수 있는 피해나 위험을 줄이거나 피할 수 있었음에도 이를 하지 아니한 경우를 말한다.

    3

    인간공학기사 23년 2회

    다음을 보고 RWL과 LI 지수를 구하고 조치방법을 기술하시오

    문제이미지

    1. 식 : RWL = LC x HM x VM x DM x AM x FM x CM

    = 23 x 0.45 x 0.88 x 1.0 x 0.95 x 0.92 x 0.80

    답 : 6.37


    2. 식 : LI지수 = 작업물 무게 / RWL

    = 8 / 6.37

    답 : 1.26


    3. 조치방법 : LI지수가 1보다 크므로 이 작업은 요통발생의 발생위험이 높다. 따라서 들기 지수(LI)가 1 이하가 되도록 작업을 설계/재설계 할 필요가 있다.

    4

    인간공학기사 23년 2회

    수의근과 불수의근 뜻을 쓰시오.

    1. 수의근 : 의지대로 움직일 수 있는 근육으로 골격근이 이에 속한다.

    2. 불수의근 : 의지대로 움직일 수 없는 근육으로 심장근이 이에 속한다.

    5

    인간공학기사 23년 2회

    산업안전보건법령상, 안전관리자의 업무 5가지를 쓰시오.(단, 기타 안전에 관한 사항으로서 고용노동부 장관이 정하는 사항 제외)

    1. 안전인증대상 기계,기구등과 자율안전화인대상 기계,기구등 구입시 적격품 선정에 관한 보좌 및 조언, 지도

    2. 위험성평가에 관한 보좌 및 조언, 지도

    3. 사업장 안전교육계획의 수립 및 안전교육 실시에 관한 보좌 및 조언, 지도

    4. 사업장 순회점검,지도 및 조치의 건의

    5. 산업재해 발생의 원인 조사,분석 및 재발 방지를 위한 기술적 보좌 및 조언, 지도

    6. 산업재해에 관한 통계의 유지, 관리, 분석을 위한 보좌 및 조언,지도

    7. 법 또는 법에 따른 명령으로 정한 안전에 관한 사항의 이행에 관한 보좌 및 조언, 지도

    8. 업무수행 내용의 기록, 유지

    6

    인간공학기사 23년 2회

    근육 수축 시 미오신과 액틴은 길이가 변하지 않는다. 이때, 액틴과 미오신이 중첩된 짙은 갈색부분을 무엇이라 하는가?

    A대

    7

    인간공학기사 23년 2회

    국내에서 총 8시간 동안 작업을 하면서 90dB에서 4시간, 95dB에서 3시간, 100dB에서 1시간의 소음에 노출되었을 때 소음노출지수와 TWA값을 구하시오.

    1. 소음노출지수 : 175.0

    2. TWA : 94.04dB

    문제이미지

    8

    인간공학기사 23년 2회

    다음 경우 설계에 응용할 수 있는 인체치수 설계원칙을 적으시오.

    문제이미지

    1. 최대집단값에 의한 설계

    2. 최소집단값에 의한 설계

    3. 평균치를 이용한 설계

    4. 조절식 설계

    9

    인간공학기사 23년 2회

    시력이 0.5일 때 링스톤 1.5mm를 식별할 수 있는 거리를 구하시오.(단, 소수 넷째 자리에서 반올림하시오.

    2.579m

    문제이미지

    10

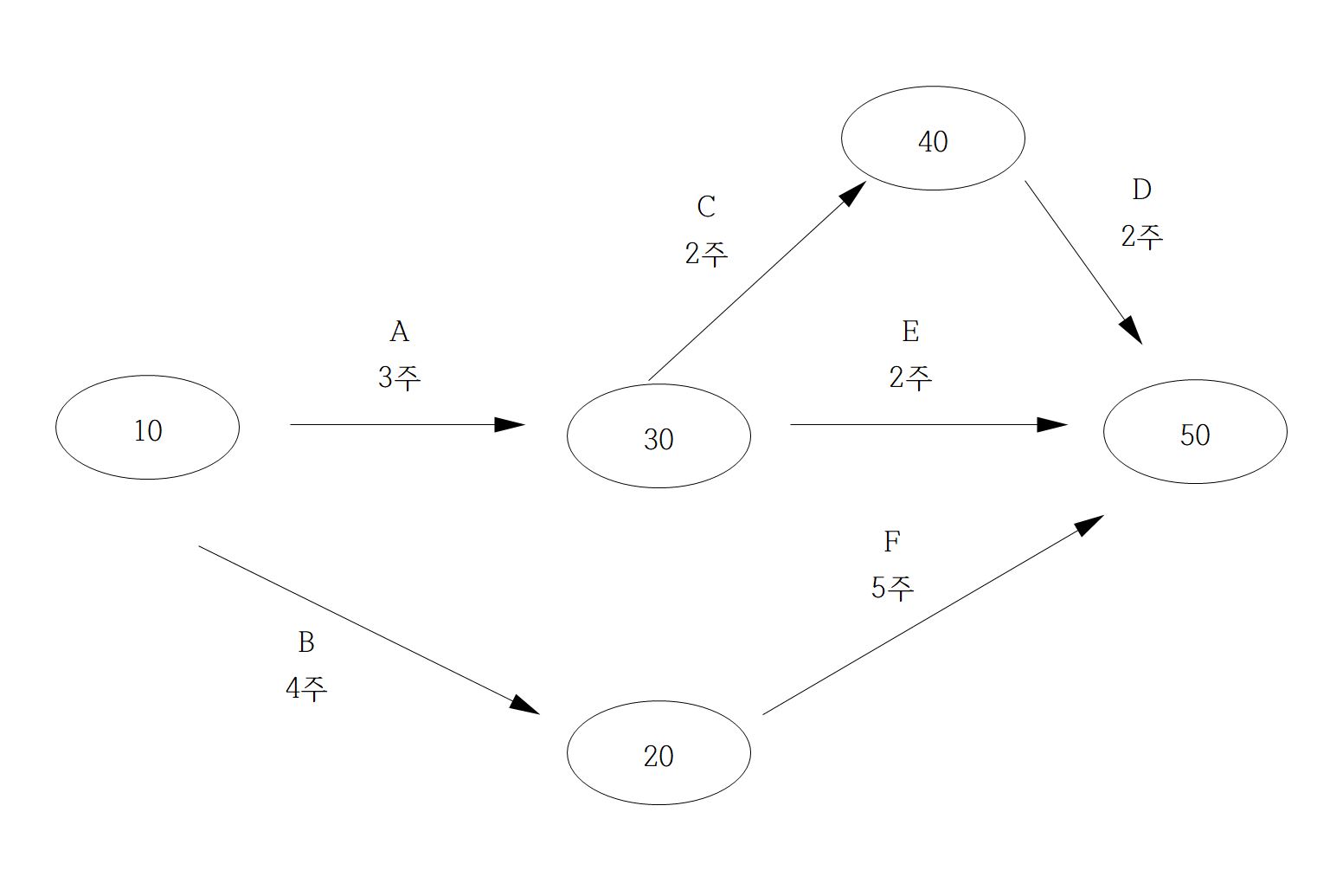
    인간공학기사 23년 2회

    아래 그림을 보고 주공정경로와 주공정시간을 구하시오

    문제이미지

    1. 주 공정경로 : 1 > 20 > 50

    2. 주 공정시간: 9주


    *주 공정경로: 가장 시간이 오래 걸리는 경로

    *주 공정시간: 가장 오래 걸리는 시간

    11

    인간공학기사 23년 2회

    5개 공정에서 주기시간이 6분인 경우 평균효율을 구하시오

    문제이미지

    1. 식: 평균효율(%) = (총 작업시간 / 작업시간 X 주기시간) X 100

    평균효율 (%) = (5+4+3+4+6)/(5 X 6) X100 =7.33

    2. 답: 73.33%

    12

    인간공학기사 23년 2회

    작업개선의 ECRS의 원칙 4가지를 쓰시오.

    1. Eliminate(제거) : 불필요한 작업, 작업요소를 제거

    2. Combine(결합) : 다른 작업, 작업요소와의 결합

    3. Rerrange(재배치) : 작업의 순서 변경

    4. Simplify(단순화) : 작업, 작업요소의 단순화, 간소화

    13

    인간공학기사 23년 2회

    인간공학 실험 시 고려해야할 평가기준 종속변수 3가지를 쓰시오.

    1. 시스템 기준

    2. 작업성능 기준

    3. 인간기준

    14

    인간공학기사 23년 2회

    전자회사에서 작업자가 정밀작업을 하고 있다. 손, 손목에 부담이 가는 근골격계질환 3가지를 쓰시오.

    1. 수근관 증후군

    2. 건염

    3. 결정종

    15

    인간공학기사 23년 2회

    근골격계질환 예방을 위한 관리적 개선방안 3가지를 쓰시오.

    1. 작업의 다양성 제공

    2. 작업자 교대

    3. 작업자에 대한 휴식시간 제공

    16

    인간공학기사 23년 2회

    시거리가 71cm일 때 단위 눈금 1.8mm, 시거리가 91cm가 되면 단위 눈금은 얼마가 되어야 하는지 구하시오.

    1. 식 : 71cm : 1.8mm = 91cm : x

    x X 71 = 1.8 X 910

    x = (1.8 X 910) / 71

    2. 답 : 2.31mm

    17

    인간공학기사 23년 2회

    산업안전보건법령상, 근골격계 부담작업 관련하여 ( )를 채우시오.

    ( 1 )이란 단순반복 작업 또는 인체에 과도한 부담을 주는 작업으로서 작업량, 작업속도, 작업강도 및 작업장 구조 등에 따라 고용노동부장관이 정하여 고시하는 작업을 말한다.

    ( 2 )이란 반복적인 동작, 부적절한 작업자세, 무리한 힘의 사용, 날카로운 면과의 신체접촉, 진동 및 온도 등의 요인에 의하여 발생하는 건강장해로서 목, 어깨, 허리, 팔, 다리의 신경 근육 및 그 주변 신체조직 등에 나타나는 질환을 말한다.

    ( 3 )이란 유해요인조사, 작업환경 개선, 의학적 관리, 교육.훈련, 평가에 관한 사항 등ㅇ이 포함 된 근골격계질환을 예방.관리하기 위한 종합적인 계획을 말한다.

    1. 근골격계부담작업

    2. 근골격계질환

    3. 근골격계 질환 예방관리프로그램

    18

    인간공학기사 23년 2회

    반사경 없이 모든 방향으로 빛을 발하는 점광원에서 2m 떨어진 곳의 조도가 120lux라면 3m 떨어진 곳의 조도는 얼마인지 계산하고, 작업환경에 관한 조명의 적합성을 판단하시오.

    조도: 53.33lux

    적합성 판단: 부적합


    답안작성시 사진과 같이 작성하세요.

    문제이미지