모두CBT | 국가고시 실기시험 부시기!

가스기사 필답 2020 3 해설 페이지

가스기사 필답 2020-3

    1

    가스기사 필답 2020-3

    공기액화 분리장치의 액화산소 5L 중에 메탄이 420mg, 아세틸렌이 10mg 함유하고 있다면 공기액화 분리장치의 운전이 가능한지 판정하시오.

    (단, 공기액화 분리장치의 공기 압축량은 1000m3/h 이상인 경우이다.)

    액화산소 5L 중에 아세틸렌 질량이 5mg를 넘으므로 운전을 중지하고 액화산소를 방출하여야 한다.


    -

    공기액화 분리기(분리장치)의 불순물 유입금지 기준

    : 공기액화분리기 (1시간의 공기 압축량이 1000m3 이하인 것은 제외한다)에 설치된 액화산소통 안의 액화산소 5L 중에 아세틸렌의 질량이 5mg 또는 탄화수소의 탄소의 질량이 500mg을 넘을 때에는 그 공기액화분리기의 운전을 중지하고 액화산소를 방출한다.

    2

    가스기사 필답 2020-3

    다음에 설명하는 전기방식법의 명칭을 쓰시오.

    [보기]

    지중 또는 수중에 설치된 양극(anode)금속과 매설배관(cathode: 음극)등을 전선으로 연결하여 양극금속과 매설배관 등 사이의 전지작용(고유 전위차)에 의하여 전기적 부식을 방지하는 방법이다.

    희생양극법

    3

    가스기사 필답 2020-3

    LNG 또는 석유로부터 수소를 제조하는 방법 2가지를 쓰시오.

    1. 수증기 개질법

    2. 부분 산화법

    4

    가스기사 필답 2020-3

    내용적 52L인 충전용기를 3.5MPa 압력으로 내압시험을 하였을 때 용기 내용적이 52.211L가 되었다.

    압력을 제거한 후 대기압 상태에서 내용적이 52.004L가 되었다면 영구증가율(%)은 얼마인가?

    1.9%


    -


    문제이미지

    5

    가스기사 필답 2020-3

    다음 방폭 전기기기를 구조에 따라 나타내는 기호를 영문 약자로 각각 쓰시오.


    1. 안전증 방폭구조

    2. 내압 방폭구조

    3. 본질안전 방폭구조

    1. 안전증: e

    2. 내압: d

    3. 본질안전: ia, ib

    6

    가스기사 필답 2020-3

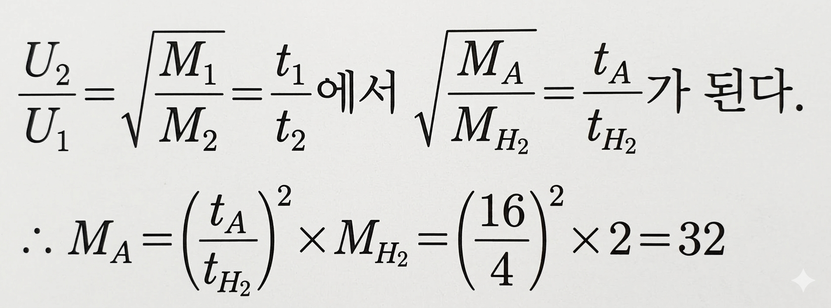
    A기체를 대기 중으로 확산하는 데 16분이 소요되었다. 같은 조건에서의 수소의 확산시간은 4분이 소요되었다면 A기체의 분자량은 얼마인가?

    32


    -


    문제이미지

    7

    가스기사 필답 2020-3

    연소기에서 발생하는 이상 현상 중 리프팅(lifting) 발생원인 4가지를 쓰시오

    1. 염공이 작아졌을 때

    2. 가스의 공급압력이 높을 때

    3. 2차공기량 부족

    4. 1차공기량 과다


    -

    리프팅현상

    : 불꽃이 염공에 접하여 연소하지 않고 염공을 떠나 공간에서 연소하는 현상으로 선화라고도 한다.

    8

    가스기사 필답 2020-3

    비중이 0.6인 가스를 1층에서 2.1kPa의 압력으로 100m 높이의 건물에 30m3/h로 공급할 때에 대한 물음에 답하시오.

    (단, 배관 길이는 건물 높이와 같은 것으로 하며 1Pa은 0.101969mmH2O로 적용한다.)


    1. 높이 100m 지점에서의 유출압력(mmH2O)은 얼마인가?


    2. 배관 안지름(cm)을 계산하시오.

    1. 유출압력: 265.85mmH2O

    2. 배관 안지름: 4.61cm


    -


    문제이미지

    9

    가스기사 필답 2020-3

    정압기 특성 중 시프트(shift)를 설명하시오

    1차 압력의 변화에 의하여 정압곡선이 전체적으로 어긋나는 것


    -

    정특성: 정상상태에서의 유량과 2차 압력과의 관계

    1. 로크업(lock up): 유량이 0으로 되었을 때 끝맺음 압력과 기준압력(Ps)과의 차이

    2. 오프셋(offset): 유량이 변화했을 때 끝맺음 압력과 기준압력(Ps)과의 차이

    3. 시프트(shift): 1차 압력의 변화에 의하여 정압곡선이 전체적으로 어긋나는 것

    10

    가스기사 필답 2020-3

    강제혼합식 가스버너에서 보염기의 역할을 설명하시오.

    버너에서 착화를 확실히 하고 또 화염이 꺼지지 않도록 화염의 안정을 도모하는 장치

    11

    가스기사 필답 2020-3

    액화석유가스의 부취제 냄새측정방법 4가지를 쓰시오

    1. 오더미터법 (= 냄새측정기법)

    2. 주사기법

    3. 냄새주머니법

    4. 무취실법

    12

    가스기사 필답 2020-3

    굴착공사 원콜시스템(one call system)에 대해 설명하시어

    구멍뚫기, 말뚝박기, 터파기, 그 밖의 토지의 굴착공사를 하는 자와 도시가스사업자가 전화 또는 인터넷 등을 통하여 도시가스사업법에서 정하는 절차에 따라 굴착공사에 관한 정보와 도시가스배관 매설 정보를 주고 받음으로써

    도시가스배관의 파손사고를 예방하기 위한 안전조치의 이행을 담보하는 시스템이다.

    13

    가스기사 필답 2020-3

    용기내장형 가스난방기에서 세라믹 버너를 사용하는 경우 갖추어야 할 장치는 무엇인가?

    거버너


    -

    용기내장형 가스난방기의 구조 및 장치 기준: KGS AB232

    1. 난방기의 버너는 적외선방식(세라믹 버너)또는 촉매연소방식의 버너를 사용한다.

    14

    가스기사 필답 2020-3

    도식다스용 지상배관 중 건축물의 내۰외벽에 노출된 것으로 표면색상을 황색으로 하지 아니할 수 있는 경우를 설명하시오

    바닥(2층 이상의 건물의 경우에는 각 층의 바닥)으로부터 1m 높이에 폭 3cm의 황색띠를 2중으로 표시한 경우

    15

    가스기사 필답 2020-3

    액화석유가스 용기 밸브 중 과류차단형 밸브와 차단기능형 밸브의 차이점을 설명하시오.

    1. 과류차단형 액화석유가스용 용기밸브(KGS AA313)

    : 내용적 30L 이상 50L 이하의 액화석유가스 용기에 부착되는 것으로서 규정량 이상의 가스가 흐르는 경우에 가스공급을 자동적으로 차단하는 과류차단기구를 내장한 용기밸브이다.


    2. 차단기능형 액화석유가스용 용기밸브(KGS AA312)

    : 내용적 30L 이상 50L 이하의 액화석유가스 용기에 부착되는 것으로서 가스충전구에서 압력조정기의 체결을 해체할 경우 가스 공급을 자동적으로 차단하는 차단기구가 내장된 용기밸브이다.