모두CBT | 국가고시 실기시험 부시기!

직8딴_대기환경기사_계산형(1~50) 해설 페이지

직8딴_대기환경기사_계산형(1~50)

    1

    직8딴_대기환경기사_계산형(1~50)


    옥테인 연소 시 다음 물음에 답하시오.

    1. 질량기준 공연비(공기 질량: 29)

    2. 옥테인 연소 시 질량기준 공연비가 5일 때 옥테인 연소여부


    문제이미지

    2

    직8딴_대기환경기사_계산형(1~50)


    ☆☆☆☆☆☆

    가솔린(C8H17.5)을 연소 시 질량기준 공연비와 부피기준 공연비를 구하시오.

    문제이미지

    3

    직8딴_대기환경기사_계산형(1~50)


    CxHyC_xH_y 을 연소 시 질량기준 공연비를 구하시오.( x:y=1:2x:y=1:2 , 공기분자량: 29)

    문제이미지

    4

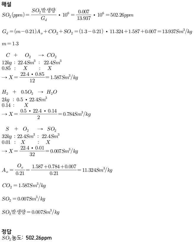
    직8딴_대기환경기사_계산형(1~50)


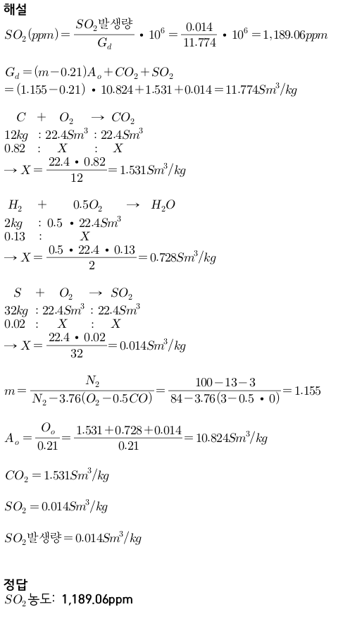
    ☆☆

    프로페인(프로판) 완전연소 시 다음 물음에 답하시오.

    ∙산소 1mol당 질소 4mol 포함 ∙공기 질량: 29

    1. 프로페인 연소반응식 2. 공연비 부피기준 3. 공연비 질량기준

    문제이미지

    5

    직8딴_대기환경기사_계산형(1~50)


    과잉 공기율 6%이고, 프로페인(프로판) 연소 시 실제과잉O2실제습연소가스량\frac{실제 과잉O_2량}{실제 습연소가스량}(%)를 구하시오.

    문제이미지

    6

    직8딴_대기환경기사_계산형(1~50)


    가솔린에 함유된 벤젠(C6H6C_6H_6 )의 AFR(무게기준)을 구하시오.

    문제이미지

    7

    직8딴_대기환경기사_계산형(1~50)


    프로페인과 뷰테인(부탄)을 용적비 3 : 2로 혼합한 연료 1Sm31Sm^3 을 공기비 1.2으로 완전연소할 때 공연비(AFR)를 부피비(Sm3/Sm3Sm^3/Sm^3 )로 구하시오.

    문제이미지

    8

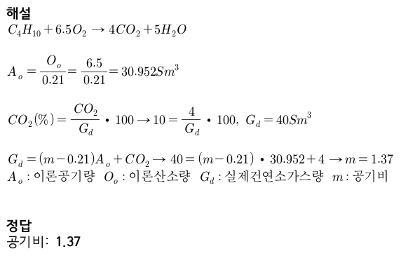
    직8딴_대기환경기사_계산형(1~50)


    ☆☆

    뷰테인(부탄) 1Sm31Sm^3 연소 시 건조배기가스 중 CO2CO_2 가 10%라면 공기비를 구하시오.

    문제이미지

    9

    직8딴_대기환경기사_계산형(1~50)


    부피비로 CH4 : 95%, CO2: 1%, N2: 2%, O2: 2% 인 기체연료 1Sm3 에 9.5Sm3의 공기를 투입하여 연소한다면 공기비는 얼마인가? (단, 질소는 질소산화물로 산화되지 않는다.)

    문제이미지

    10

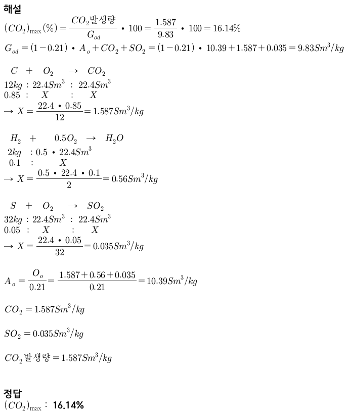
    직8딴_대기환경기사_계산형(1~50)


    ☆☆☆☆☆☆

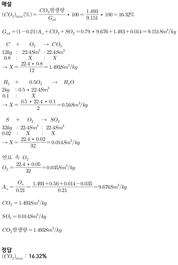
    탄소 85%, 수소 10%, 황 5% 함유하는 중유의 (CO2)max(CO_2)_{max} (%)를 구하시오.

    문제이미지

    11

    직8딴_대기환경기사_계산형(1~50)

     CH4CH_4 80%, H2H_2 20% 혼합된 가스의 (CO2)max(CO_2)_{max} (%)를 구하시오.

    (CO2)max(CO_2)_{max}: 11.12%

    문제이미지

    12

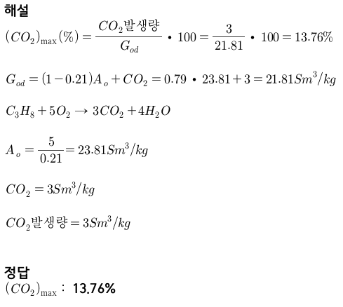
    직8딴_대기환경기사_계산형(1~50)


    ☆☆☆

    공기 사용해 프로페인 완전연소 시 건조 연소가스 중 (CO2)max(CO_2)_{max} (%)를 구하시오.

    문제이미지

    13

    직8딴_대기환경기사_계산형(1~50)


    NO2NO_2COCO를 이용해 질소로 환원하려 한다. 온도 100℃, NO2NO_2 농도 50ppm, 공간부피: 500Sm3500Sm^3 일 때 필요한 CO(m3)CO양(m^3) 을 구하시오.

    문제이미지

    14

    직8딴_대기환경기사_계산형(1~50)


    ☆☆☆

    석탄 성분 분석 결과이다. 물음에 대한 답변을 하시오.


    ∙C: 65%  ∙H: 5%  ∙O: 9%  ∙N: 0.9%  ∙S: 0.1%  ∙회분: 12% ∙수분: 8%


    1. God(Sm3/kg)G_{od}(Sm^3/kg)  2. Gow(Sm3/kg)G_{ow}(Sm^3/kg)   3.(CO2)max(CO_2)_{max} (%)

    문제이미지

    15

    직8딴_대기환경기사_계산형(1~50)


    가스 구성이 H2H_2 70%, CO2CO_2 30%, 공기비 1.1일 때 습배기가스 중 CO2CO_2 농도(%)를 구하시오.

    문제이미지

    16

    직8딴_대기환경기사_계산형(1~50)


    연료 조성 C 80%, H 10%, S 2%, O 5%, 수분 3%일 때 (CO2)max(CO_2)_{max} (%)를 구하시오.

    문제이미지

    17

    직8딴_대기환경기사_계산형(1~50)


    ☆☆☆☆

    황화수소 0.5% 함유된 메탄을 공기비 1.05로 연소할 경우 건조배기가스 중 SO2SO_2 농도(ppm)를 구하시오.(황화수소는 전량 SO2SO_2 로 변환)

    문제이미지

    18

    직8딴_대기환경기사_계산형(1~50)


    탄소 85%, 수소 10%, 황 5% 중유를 연소하는데 공기 15Sm3/kg15Sm^3/kg Sm3/kgSm^3/kg 이 소요될 때 습연소가스 중 SO2SO_2 농도(ppm)를 구하시오.(표준상태)

    문제이미지

    19

    직8딴_대기환경기사_계산형(1~50)


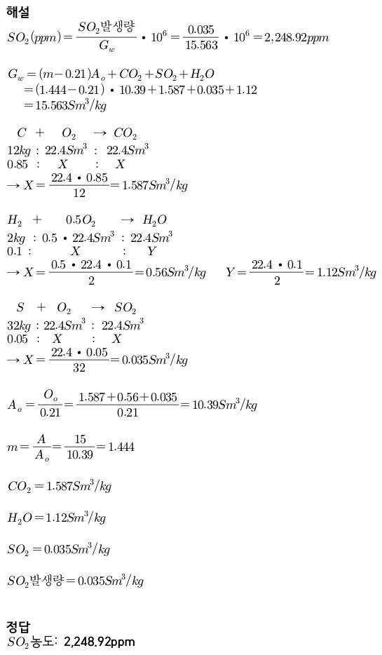
    ☆☆☆☆☆ 

    탄소 82%, 수소 13%, 황 2% 중유를 연소해 배기가스 분석결과 (CO2+SO2CO_2+SO_2 ) 13%, O2O_2 3%였다. 건조연소가스 중 SO2SO_2 농도(ppm)를 구하시오.(표준상태)

    문제이미지

    20

    직8딴_대기환경기사_계산형(1~50)


    탄소 85%, 수소 14%, 황 1% 중유를 5kg/h 연소했다. 이때 건조연소가스 중 SO2SO_2 농도(ppm)를 구하시오.(공기비: 1.3, 표준상태)

    문제이미지

    21

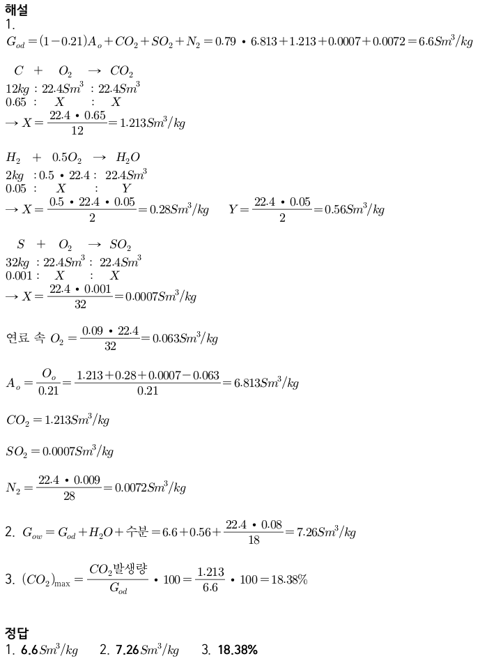
    직8딴_대기환경기사_계산형(1~50)


    ☆☆

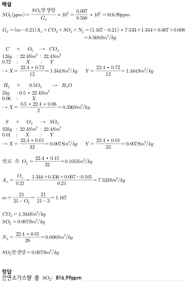
    석탄 성분 분석 결과이다. 건연소가스량 중 SO2SO_2(ppm)을 구하시오.


    ∙C: 72% ∙H: 6% ∙O: 15% ∙N: 1% ∙S: 1% ∙회분: 5% ∙표준상태 ∙연소가스 중 O2O_2 : 3%

    문제이미지

    22

    직8딴_대기환경기사_계산형(1~50)

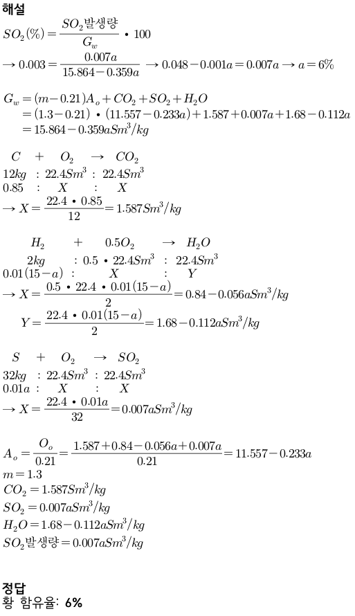
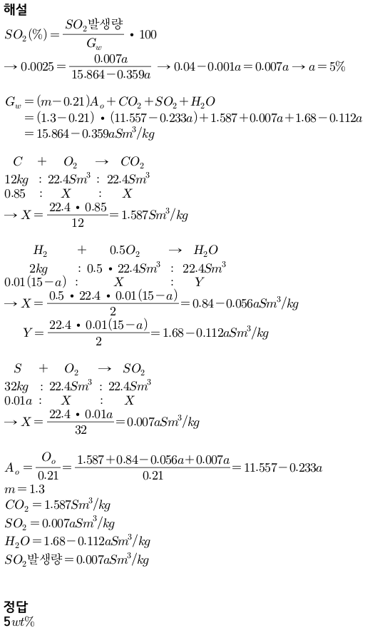
    ☆☆

    탄소 85%, 수소 (15-a)%, 황 a% 함유한 중유를 공기비 1.3으로 완전연소했다. 습배기가스 중 SO2SO_2 가 0.3%일 때 중유 속 포함된 황 함유율(%)을 구하시오.

    문제이미지

    23

    직8딴_대기환경기사_계산형(1~50)

    탄소가 85wt%인 중유를 연소시키니 습연소가스 중의 SO2 함량이 0.25wt%의 값을 얻었다. 연료는 탄소와 수소, 황으로만 구성되어 있으며 공기비 1.3으로 완전 연소되었을 때 중유의 황 함량(wt%)을 구하시오.

    문제이미지

    24

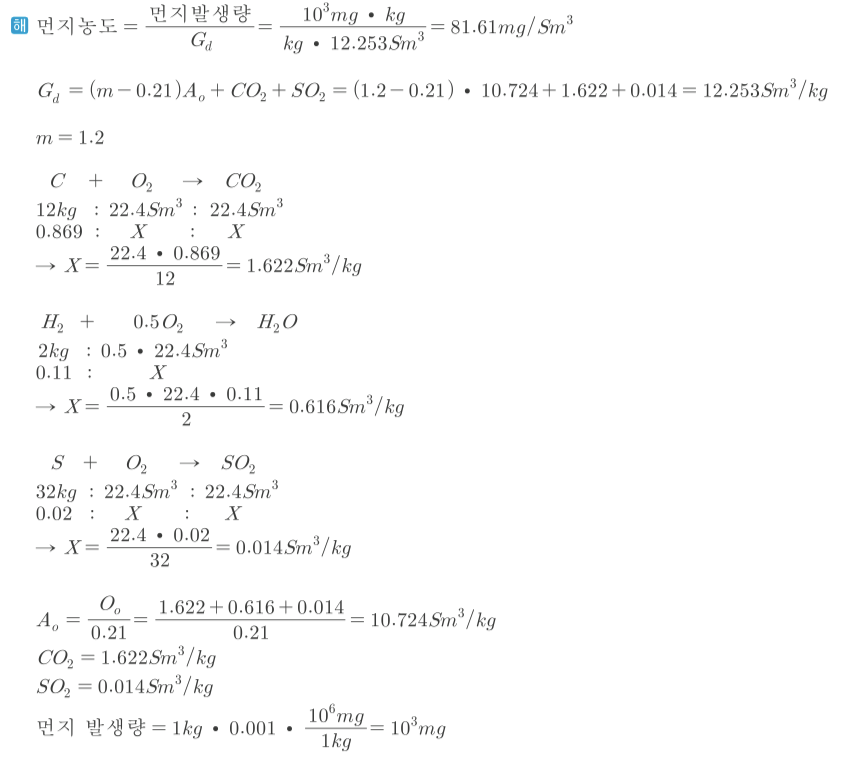
    직8딴_대기환경기사_계산형(1~50)

    다음 조성의 중유 1kg을 공기비 1.2로 완전연소 시킬 때 건연소가스 중의 먼지 농도는 몇 mg/Sm3 인가? (단, 회분은 전부 먼지로 배출된다.)

    ∙C: 86.9%  ∙H: 11%  ∙S: 2%  ∙회분: 0.1%

    81.61mg/Sm3

    문제이미지

    25

    직8딴_대기환경기사_계산형(1~50)


    아세트산 연소반응식과 1Sm31Sm^3 완전연소 시 발생하는 이론 건조가스량(Sm3Sm^3)을 구하시오.

    문제이미지

    26

    직8딴_대기환경기사_계산형(1~50)


    ☆☆☆

    기체연료(CmHnC_mH_n) 1mol을 이론공기량으로 완전연소 시 이론 습연소가스량(mol)을 구하시오.

    문제이미지

    27

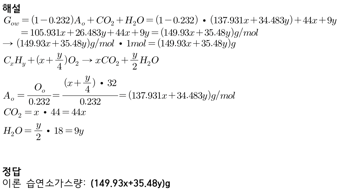
    직8딴_대기환경기사_계산형(1~50)

    CxHyC_xH_y 1mol 연소 시 이론 습연소가스량(g)을 계산하시오.


    문제이미지

    28

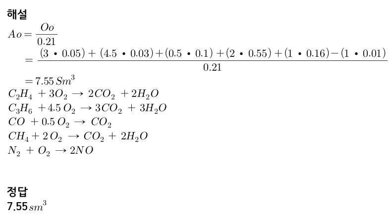
    직8딴_대기환경기사_계산형(1~50)

    도시가스 1Sm3을 분석하니 아래와 같은 결과가 나왔다. 제시된 표를 보고 이론공기량(Sm3)을 계산하시오. 단, N2는 전부 NO로 산화한다고 가정한다.

    문제이미지
    문제이미지

    29

    직8딴_대기환경기사_계산형(1~50)

    비중이 0.8인 1.2L의 에탄올 연소 시 필요한 이론공기량(Sm3)을 구하시오.

    문제이미지

    30

    직8딴_대기환경기사_계산형(1~50)


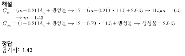
    ☆☆

    연료를 완전연소했을 때 발생하는 습연소가스량이 17Sm3/kg17Sm^3/kg 이었다.

    연료 AoA_o : 11.5Sm3/kg11.5Sm^3/kg , Gow:12Sm3/kgG_{ow}:12Sm^3/kg 일 때 공기비(m)을 구하시오.

    문제이미지

    31

    직8딴_대기환경기사_계산형(1~50)


    ☆☆

    다음 조건을 이용해 연료의 이론 연소온도(℃)를 구하시오.


    CH4CH_4 저위발열량: 8,600kcal/Sm38,600kcal/Sm^3

    C3H8C_3H_8 저위발열량: 22,500kcal/Sm322,500kcal/Sm^3

    ∙0~2,200℃에서 CO2CO_2 정압비열: 13.1kcal/kmol‧℃13.1kcal/kmol ‧ ℃

    ∙0~2,200℃에서 H2OH_2O 정압비열: 10.5kcal/kmol‧℃10.5kcal/kmol ‧ ℃

    ∙0~2,200℃에서 N2N_2 정압비열: 8.0kcal/kmol‧℃8.0kcal/kmol ‧ ℃

    ∙기준온도: 15℃

    CH4CH_4 + C3H8C_3H_8 = 1Sm31Sm^3 이며 둘의 혼합비는 1:1

    문제이미지

    32

    직8딴_대기환경기사_계산형(1~50)


    다음 조건을 이용해 연료의 이론연소온도(℃)를 구하시오.


    ∙저위발열량: 6,000kcal/kg

    ∙연소가스량: 13Sm3/kg13Sm^3/kg

    ∙기준온도: 20℃

    ∙연료 연소가스 평균정압비열: 0.65kcal/sm30.65kcal/sm^3‧℃‧ ℃

    ∙열손실: 저위발열량의 15%

    ∙공기 예열하지 않고, 연소가스 해리되지 않는다.

    문제이미지

    33

    직8딴_대기환경기사_계산형(1~50)

    벤츄리 스크러버에 유입되는 온도가 450℃, 가스의 유량 5 •104m3/h5 • 10^4m^3/h 은 가 공급되고 흡수

    액의 온도는 20℃이며 액가스비는 1.5L/m31.5L/m^3이다. 먼지농도는 30g/m330g/m^3, 가스와 흡수액의 

    정압비열(Cp)은 각각 0.31kcal/kg • °C , 1kcal/kg • °C이고, 가스의 밀도는 1.2kg/m31.2kg/m^3, 흡수액의 밀도는 1kg/L1kg/L일 때 벤츄리스크러버에서 배출되는 가스의 온도는 몇℃인지 쓰시오.


    문제이미지

    34

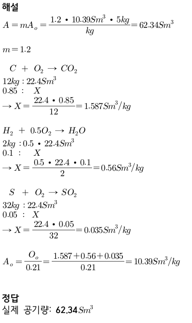
    직8딴_대기환경기사_계산형(1~50)


    중유 조성이 탄소 85%, 수소 10%, 황 5%이고, 중유 2kg을 27Sm327Sm^3 의 공기를 이용해 완전연소할 때 공기비를 구하시오.

    문제이미지

    35

    직8딴_대기환경기사_계산형(1~50)


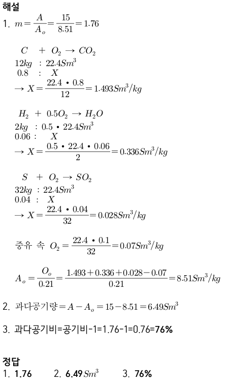
    중유(1kg)의 조성이 C: 80%, O: 10%, H: 6%, S: 4%이며 15Sm315Sm^3 의 공기를 이용해 완전연소할 시 다음을 구하시오.


    1. 공기비   2. 과다공기량(Sm3Sm^3)   3.과다공기비(%)

    문제이미지

    36

    직8딴_대기환경기사_계산형(1~50)


    탄소 74%, 수소 26%를 함유한 액체연료를 100kg/h 연소할 때 공기공급량(Sm3/hSm^3/h )을 구하시오.

    문제이미지

    37

    직8딴_대기환경기사_계산형(1~50)


    탄소 85%, 수소 10%, 황 5%인 연료 5kg로 연소 공기비 1.2일 때 실제공기량(Sm3Sm^3)을 구하시오.

    문제이미지

    38

    직8딴_대기환경기사_계산형(1~50)


    ☆☆☆

    100kg/h의 액체연료(C: 85%, H:15%)를 연소하려 한다. 배출가스 분석결과 N2N_2: 85%, O2O_2: 5%, CO2CO_2: 10%이었다면 표준상태에서 실제연소 공기량( Sm3/hSm^3/h )을 구하시오.

    문제이미지

    39

    직8딴_대기환경기사_계산형(1~50)


    200kmol/h로 배출되는 처리가스는 공기 3mol : HCl 5mol로 구성되어 있다. 해당 처리가스를 16,000kg/h 물로 HCl을 흡수처리한다 했을 시 배출가스의 공기 1mol당 HCl은 몇 mol인지 구하시오.(배출된 물은 물 8mol당 HCl 1mol로 구성)

    문제이미지

    40

    직8딴_대기환경기사_계산형(1~50)

    100m3100m^3로 배출되는 처리가스는 공기 75%, HCl 25%로 구성되어 있다. 해당 처리가스를 120kg 물로 HCl을 흡수 처리할 때 다음 물음에 답하시오.(배출된 물은 물 7mol당 HCl 1mol로 구성)

    1. 흡수되는 염산의 양(kg)

    2. 배출되는 가스량(m3m^3)

    3. 배출 후 부피 조성비(%)


    문제이미지

    41

    직8딴_대기환경기사_계산형(1~50)


    에테인과 프로페인을 함유하는 혼합가스 1Nm31Nm^3을 완전연소 배기가스 중 CO2CO_2발생량 2.6Nm32.6Nm^3이었다. 이 혼합가스 중 에테인프로페인\dfrac {에테인} {프로페인} 몰 비를 구하시오.

    문제이미지

    42

    직8딴_대기환경기사_계산형(1~50)


    ☆☆

    프로페인과 뷰테인을 용적비 4 : 1로 혼합한 가스 1Sm3Sm^3을 이론적으로 완전연소할 때 발생하는 CO2CO_2양(Sm3Sm^3)을 구하시오.(표준상태)

    문제이미지

    43

    직8딴_대기환경기사_계산형(1~50)

    ☆☆☆

    기체혼합물의 용량비로 COCO 40%, H2H_2 60%일 때 다음 물음에 답하시오.


    1. COCOH2H_2의 중량비(%)   2. 기체 혼합물 평균분자량(g)

    문제이미지

    44

    직8딴_대기환경기사_계산형(1~50)


    공기비 1.3이고, 1Sm31Sm^3 프로페인이 완전연소 시 다음을 구하시오.


    1.실제 건연소가스량(Sm3Sm^3)   

    2.실제 습연소가스량(Sm3Sm^3)   

    3. 실제습연소가스량실제건연소가스량\frac {실제 습연소가스량} {실제 건연소가스량}

    문제이미지

    45

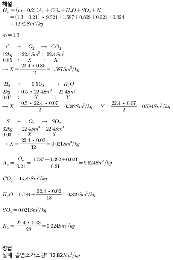
    직8딴_대기환경기사_계산형(1~50)

    ☆☆

    공기비 1.3, 탄소 85%, 수소 7%, 황 3%, 질소 3%, 수분 2%인 중유연소에 필요한 실제 습연소가스량(Sm3/kgSm^3/kg)을 구하시오.

    문제이미지

    46

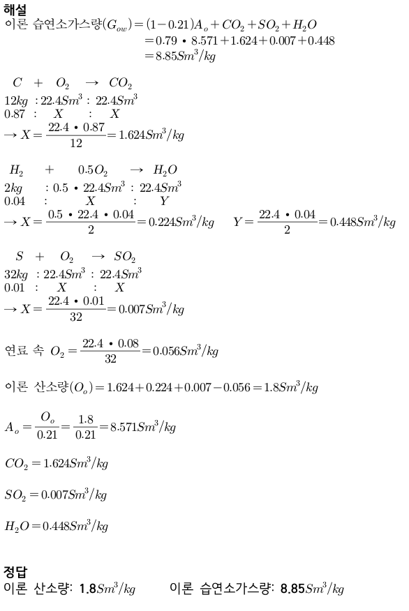
    직8딴_대기환경기사_계산형(1~50)


    ☆☆☆☆☆☆

    탄소 87%, 수소 4%, 황 1%, 산소 8%인 중유가 연소에 필요한 이론 산소량(Sm3/kgSm^3/kg)과 이론 습연소가스량(Sm3/kgSm^3/kg)을 구하시오.

    문제이미지

    47

    직8딴_대기환경기사_계산형(1~50)


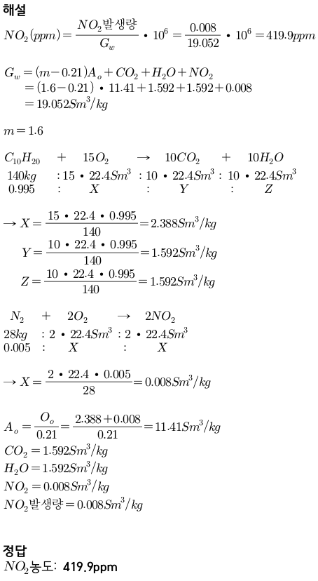
    C10H20C_{10}H_{20} 중 0.5% 중량비를 갖는 질소가 포함된 연료가 연소된다고 한다. 이때 연료 중 질소는 NO2NO_2로 전부 전환될 때 습연소가스량 중 NO2NO_2농도(ppm)를 구하시오.(과잉공기율: 60%)

    문제이미지

    48

    직8딴_대기환경기사_계산형(1~50)


    벤젠(C6H6C_6H_6)을 30%의 과잉공기를 사용해 완전연소했을 시 배기가스 중 CO2CO_2, H2OH_2O , O2O_2 , N2N_2 의 부피 조성(%)과 무게 조성(%)을 구하시오.

    문제이미지

    49

    직8딴_대기환경기사_계산형(1~50)


    ☆☆

    탄소 85%, 수소 15%된 경유(1kg)를 공기과잉계수 1.2로 연소했더니 탄소 1%가 검댕(그을음)으로 된다. 검댕 밀도 2g/mL일 때 건조 배기가스 중 검댕농도(ppm)을 구하시오.

    문제이미지

    50

    직8딴_대기환경기사_계산형(1~50)


    ☆☆☆☆☆

    탄소 85%, 수소 15%된 경유(1kg)를 공기과잉계수 1.2로 연소했더니 탄소 1%가 검댕(그을음)으로 된다. 건조 배기가스 1Sm31Sm^3 중 검댕(그을음)농도(g/Sm3g/Sm^3)을 구하시오.

    문제이미지