모두CBT | 국가고시 실기시험 부시기!

2025년도 기출기반 [방사선장해방어] 해설 페이지

2025년도 기출기반 [방사선장해방어]

    1

    2025년도 기출기반 [방사선장해방어]

    감마선 0.2mGy/h, 베타선 0.3mGy/h, 알파선1mGy/h, 열중성자선 0.04mGy/h, 속중성자선0.1mGy/h라고 한다. 이 작업장에서 작업하는사람이받을 수 있는 전신선량률과 피부선량률은?

    알파선은 외부피폭선량 산출 시, 고려하지 않으며, 베타선은 피부의 피폭선량을 산출할 때에만 고려되므로전신선량률의 산출에서 제외된다.

    2

    2025년도 기출기반 [방사선장해방어]

    일본 원폭 피해 생존자 집단에서 고려하고 있지 않은 인자는?

    3

    2025년도 기출기반 [방사선장해방어]

    다음 설명 중 옳지 않은 것은?

    4

    2025년도 기출기반 [방사선장해방어]

    포유동물의 배의 발생단계는 크게 착상전기, 기관형성기, 태아기로 구분한다. 다음 설명 중 옳지 않은 것은?

    5

    2025년도 기출기반 [방사선장해방어]

    확률론적 영향의 제한목적으로 제시된 것과 결정론적 영향의 제한 목적으로 제시된 것으로 올바른 것은?

    6

    2025년도 기출기반 [방사선장해방어]

    다음 설명 중 옳지 않은 것은?

    평형인자(F)가 증가하면 라돈자손에 의한 피폭선량이 증가하며, 평형인자를 따로 측정치 않을 경우 기본적으로 0.4를 적용한다.


    WL은 Working Lv의 약자로서 방사평형 상태의 라돈농도100pCi/L에서 생긴 자핵종에서 방출하는 알파선의 전체 에너지이다.

    7

    2025년도 기출기반 [방사선장해방어]

    방사화학적 분리 방법에는 침전법. 용액잔류법, 용출법. 용매추출법 등이 있다. 방사화학적 분리 방법에 대한 내용으로 옳지 않은 것은?

    8

    2025년도 기출기반 [방사선장해방어]

    원자력관계법령 상 수시출입자, 운반종사자의 유효선량한도는?

    9

    2025년도 기출기반 [방사선장해방어]

    단일히트에서 평균치사선량이 3.2Gy일 때, 세포 800 개에 4Gy 흡수선량을 가했을 때 사멸세포수는 몇 개인 가?

    사멸세포 수는 세포수와 사멸확률의 곱으로서 세포 수와 ( 1 - 생존확률)의 곱이다.

    10

    2025년도 기출기반 [방사선장해방어]

    열형광선량계에 대한 다음 설명 중 옳지 않은 것은?

    피부와 심부선량 측정을 위해 Filter가 내장되어 있다.

    11

    2025년도 기출기반 [방사선장해방어]

    1g의 Ra-226이 자핵종 Rn-222와 영구평형을 이룰 때 Rn-222의 양은 몇 mmol인가? 단, Ra-226, Rn-222의 반감기는 각각 1,630년과 3.8일으로 가정한다.

    문제이미지

    12

    2025년도 기출기반 [방사선장해방어]

    선원으로부터 30cm 거리에서 방사선량률이 3Sv/h 인 작업장이 있다. 선원으로부터 3m 거리에서 방사선량률이 5uSv/h 로 줄이기 위해 콘크리트를 이용하여 차폐하고자 할 때, 필요한 차폐체의 두께는? 단, 방사선 에너지는 0.5MeV, 콘크리트의 질량 감쇠계수는 0.0877cm2/g, 콘크리트의 밀도는 2.3g/cm3 , 축적인자는 3이다.

    문제이미지

    13

    2025년도 기출기반 [방사선장해방어]

    다음 설명 중 옳지 않은 것은?

    방사선 방어물질은 대부분 쉽게 산화되므로 세포 내 저산소 상태를 유발하여 손상을 줄이며 수소를 공여함으로서 자유라디칼로 변환된 생체물질의 수복을 돕는다.

    14

    2025년도 기출기반 [방사선장해방어]

    직접(In Vivo Bioassay, WBC)법과 간접법(In Vitro Bioassay)에 대한 다음 설명 중 옳지 않은 것은?

    In Vitro Bioassay법의 측정순서는 "시료채집 → 시료 화학적 처리 → LSC → 선량"으로 이루어진다.

    15

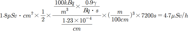
    2025년도 기출기반 [방사선장해방어]

    원전 사고로 인해 I-131 으로 공기가 100kBq/㎥ 농도로 균일하게 오염되어 있다. 오염된 공기 중 지표에 2시간 동안 있는 사람이 받는 외부피폭 선량은? 단, I-131은 붕괴 당 0.4MeV 감마선 0.9개를 방출한다고 가정하며 유효선량 환산계수는 1.8pSv-㎠, 공기의 선형감쇠계수는 1.23 × 10-4/cm, 축적인자 및 인체의 크기는 고려하지 않는다.

    문제이미지

    16

    2025년도 기출기반 [방사선장해방어]

    비밀봉 RI를 취급하는 방사선 작업구역에서사고로인해 어떤 RI 500mg이 종사자의 체내에 섭취되었으며 섭취 후 3주일이 지났을 때, 몸속에 남아있는RI의 양은 1mg이었다. 이 방사성 동위원소의 물리적 반감기가 4일이라면, 생물학적 반감기는?

    17

    2025년도 기출기반 [방사선장해방어]

    간접 전리 방사선의 에너지 플루언스와 "이것"의 곱을 "KERMA" 또는 KERMA는 간접전리 방사선의 입자플루언스와 커마인자의 곱으로 표현할 수 있다. "이것"으로 옳은 것은?

    18

    2025년도 기출기반 [방사선장해방어]

    다음 설명 중 옳지 않은 것은?

    백내장 문턱선량이 5Gy에서 0.5Gy로 감소되었다.

    19

    2025년도 기출기반 [방사선장해방어]

    라돈에 대한 다음 설명 중 옳지 않은 것은?

    210Pb부터는 자손핵종으로 보지 않는다.

    20

    2025년도 기출기반 [방사선장해방어]

    어떤 작업실에서 사고로 인해 P-32가 100,000Bq/m3으로 오염된 사실을 모른 채 작업자들이 8시간 동안 실내에 체류하였다. 이 작업자들의 P-32의 흡입량 Bq은?단, 작업실의 체적은 1000m3이며, 실내 공기환기율은 4회/h, 작업자 호흡률은 0.02m3/min이다.

    문제이미지