모두CBT | 국가고시 실기시험 부시기!

04. (14%) 배합 설계 해설 페이지

04. (14%) 배합 설계

    1

    04. (14%) 배합 설계

    (산09,10,11, 6점) 콘크리트 압축 강도의 표준편차를 알지 못할 때(기록이 없는 경우) 또는 압축 강도의 시험 횟수가 14회 이하인 경우 콘크리트 배합 강도를 구하는 식으로 쓰시오.

    문제이미지
    문제이미지

    2

    04. (14%) 배합 설계

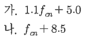
    (산11, 4점) 콘크리트 압축 강도의 표준편차를 알지 못했을 때 콘크리트의 배합 강도를 구하시오.

    가. fcn > 35MPa 일 때

    나. fcn ≤ 35MPa 일 때

    문제이미지

    3

    04. (14%) 배합 설계

    (산07, 4점) 30회 이상의 콘크리트 압축 강도 시험 실적으로부터 결정한 압축 강도의 표준 편차가 2.4MPa이고, 호칭강도가 24MPa일 때 배합 강도를 구하시오.

    문제이미지

    4

    04. (14%) 배합 설계

    (기11, 4점) 호칭강도(fcn)가 30MPa이고, 23회 이상의 충분한 압축 강도 시험을 거쳐 2.0MPa의 표준편차를 얻었다. 이 콘크리트의 배합강도(fcr)룰 구하시오.

    문제이미지

    5

    04. (14%) 배합 설계

    (산08, 4점) 품질 기준 강도가 25.0MPa이고, 30회 이상의 충분한 압축 강도 시험을 거쳐 4.0MPa의 표준편차를 얻었다. 이 콘크리트의 배합강도(fcr)를 구하시오.

    문제이미지

    6

    04. (14%) 배합 설계

    (산05,13, 6점) 콘크리트 압축 강도를 35회 측정하였을 때 표준편차가 3.0MPa이었다. 품질 기준 강도 fcq=30MPa일 때, 콘크리트의 배합 강도 fcr를 구하시오.

    문제이미지

    7

    04. (14%) 배합 설계

    (기05, 4점) 콘크리트 압축 강도를 30회 측정하였을 때 표준편차가 3.0MPa이었다. 품질 기준 강도 fcq=24MPa일 때, 콘크리트의 배합 강도 fcr를 구하시오.

    문제이미지

    8

    04. (14%) 배합 설계

    (기06, 산10, 4점) 콘크리트 압축 강도를 30회 측정하였을 때 표준편차가 2.7MPa이었다. 품질 기준 강도 fcq=18MPa일 때, 콘크리트의 배합 강도 fcr를 구하시오.

    문제이미지

    9

    04. (14%) 배합 설계

    (기08, 6점) 콘크리트의 압축강도 측정결과가 다음과 같을 때 배합설계에 적용할 표준편차를 구하고, 품질 기준 강도가 24MPa일 때 콘크리트 배합강도를 구하시오.

    문제이미지
    문제이미지

    10

    04. (14%) 배합 설계

    (기13, 6점) 콘크리트 압축 강도 측정 결과가 다음과 같았다. 배합설계에 적용할 표준편차를 구하고 호칭강도가 40MPa일 때 콘크리트의 배합 강도를 구하시오.

    문제이미지
    문제이미지

    11

    04. (14%) 배합 설계