모두CBT | 국가고시 실기시험 부시기!

01. (10%) 콘크리트의 재료 해설 페이지

01. (10%) 콘크리트의 재료

    1

    01. (10%) 콘크리트의 재료

    (기05,09, 4점) 시멘트 성분 중 클링커의 조성 광물을 4가지만 쓰시오.

    1. 알라이트(Alite)

    2. 벨라이트(Belite)

    3. 알루미네이트(celite)

    4. 페라이트(Ferrite)

    문제이미지

    2

    01. (10%) 콘크리트의 재료

    (기10, 4점) 시멘트의 안정성(soundness)에 대해 아래의 물음에 답하시오.

    가. 시멘트의 안정성 정의를 간단히 설명하시오.

    나. 시멘트의 안정성을 알아보기 위한 시험의 명칭을 쓰시오.

    가. 시멘트가 경화 중에 체적이 팽창하여 팽창 균열이나 휨 등이 생기는 정도를 말한다.

    나. 시멘트의 오토클레이브 팽창도 시험 방법(KSL5107)

    3

    01. (10%) 콘크리트의 재료

    (기06, 4점) 콘크리트, 시멘트풀, 모르타르의 체적이 시멘트 수화 반응의 진행에 의해 감소하여 수축하는 현상을 무엇이라 하는가?

    건조 수축

    4

    01. (10%) 콘크리트의 재료

    (산05, 6점) 콘크리트 사용 골재로서 갖추어야 할 필요한 성질 3가지만 쓰시오.

    1. 소요의 중량을 가질 것

    2. 마모에 대한 저항성이 클 것

    3. 깨끗하고 유해물을 포함하지 않을 것

    4. 물리적으로 안정하고 내구성이 클 것

    5. 모양이 둥글거나 정육면체에 가깝고 시멘트풀과의 부착력이 좋을 것

    5

    01. (10%) 콘크리트의 재료

    (산05, 4점) 콘크리트용 골재의 함수 상태에 따른 다음 그림을 보고 ( ) 안의 빈칸을 채우시오.

    문제이미지

    (1) 공기 중 건조 상태

    (2) 습윤상태

    (3) 유효 흡수량

    (4) 흡수량

    문제이미지

    6

    01. (10%) 콘크리트의 재료

    (기09, 4점) 골재의 흡수율에 대하여 정의를 간단히 쓰시오.

    표면건조포화상태의 골재에 함유되어 있는 전체 수량의 절대건조상태 골재 질량에 대한 백분율

    문제이미지

    7

    01. (10%) 콘크리트의 재료

    (기07,10, 4점) 다음 그림은 골재의 함수 상태를 나타낸 그림이다. 그림을 보고 ( ) 안에 알맞은 용어를 넣으시오.

    문제이미지

    (1) 유효 흡수량

    (2) 표면 수량

    (3) 흡수량

    (4) 함수량

    8

    01. (10%) 콘크리트의 재료

    (산05, 4점) 골재의 절대 건조 상태의 질량이 1100g, 표면 건조 포화상태의 질량이 1120g, 습윤 상태의 질량이 638g이었다. 이 골재의 흡수율을 구하시오.

    문제이미지

    9

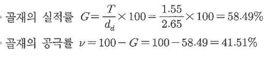
    01. (10%) 콘크리트의 재료

    (기05, 4점) 골재 시험 결과 다음과 같은 결과를 얻었을 때 공극률을 구하시오.

    문제이미지
    문제이미지

    10

    01. (10%) 콘크리트의 재료

    (기05,09,12, 6점) 굵은 골재의 유해물 함유량 한도 규격을 아래 표의 빈칸을 채우시오.

    문제이미지

    1) 0.25

    2) 5.0

    3) 1.0

    문제이미지

    11

    01. (10%) 콘크리트의 재료

    (산05, 5점) 콘크리트용 부순 굵은 골재(KSF2527)는 규정에 적합한 골재를 사용하여야 한다. 부순 굵은 골재의 물리적 품질에 대한 아래 표의 빈칸을 채우시오.

    문제이미지
    문제이미지

    12

    01. (10%) 콘크리트의 재료

    (기07, 산05, 4점) 콘크리트용 부순 굵은 골재(KSF2527)는 규정에 적합한 골재를 사용하여야 한다. 부순 굵은 골재의 물리적 품질에 대한 아래 표의 빈칸을 채우시오.

    문제이미지


    문제이미지

    13

    01. (10%) 콘크리트의 재료

    (기12,15, 6점) 콘크리트용 화학 혼화제(KSF2560)의 성능시험 항목 6가지만 쓰시오.

    1) 감수율

    2) 블리딩양의 비

    3) 응결시간의 차

    4) 압축감도비

    5) 길이변화비

    6) 동결융해에 대한 저항성

    7) 슬럼프 손실

    8) 공기량의 변화량

    문제이미지

    14

    01. (10%) 콘크리트의 재료

    (기05, 산06, 4점) 혼화 재료인 플라이애시(fly ash)의 특징을 4가지만 쓰시오.

    1) 콘크리트의 사용 수량을 감소시켜 준다.

    2) 콘크리트의 수밀성을 크게 개선한다.

    3) 콘크리트의 워커빌리티를 좋게 한다.

    4) 동결 융해에 대한 저항성을 향상시킨다.

    5) 시멘트의 수화열에 의한 콘크리트의 온도를 감소시킨다.

    15

    01. (10%) 콘크리트의 재료

    (산05, 4점) 콘크리트 속에 함유된 연행 공기(entrained air)와 갇힌 공기(entrapped air)에 대하여 간단히 설명하시오.

    가. 연행 공기 :

    나. 갇힌 공기 :

    가. 연행 공기 : 공기 연행제 또는 공기 연행 작용이 있는 혼화제를 사용하여 콘크리트 속에 연행시킨 독립된 미세한 기포

    나. 갇힌 공기 : 혼화제를 사용하지 않더라도 콘크리트 속에 자연적으로 포함되는 공기

    16

    01. (10%) 콘크리트의 재료

    (산13, 4점) 콘크리트용 화학 혼화제 중 유동화제와 고성능 감수제에 대해서 각각 설명하시오.

    가. 유동화제 :

    나. 고성능 감수제 :

    가. 유동화제 : 콘크리트 배합 완료 후 유동성을 목적으로 사용

    나. 고성능 감수제 : 콘크리트 배합 초기부터 감수 및 유동성을 목적으로 사용

    17

    01. (10%) 콘크리트의 재료

    (산08, 4점) 고강도 콘크리트를 제조하기 위해서는 혼화재로서 실리카퓸을 주로 사용하기도 한다. 실리카퓸의 어떤 효과들이 콘크리트가 고강도화가 되도록 하는지 2가지의 효과를 쓰시오.

    1) 공극 충전(micro filler) 효과

    2) 포졸란(pozzolan) 반응