모두CBT | 국가고시 실기시험 부시기!

수질환경기사 필답 서술형(101~137) 해설 페이지

수질환경기사 필답 서술형(101~137)

    1

    수질환경기사 필답 서술형(101~137)

    ☆☆

    폐수의 최종 방류수가 수질환경에 미치는 영향을 적게 받는 방법 3가지 쓰시오.

    고도처리 공정 강화/방류수 수질기준 강화/오염물질 분해가능 생물 투입

    2

    수질환경기사 필답 서술형(101~137)

    ☆☆☆☆☆☆

    관 내 유량측정법 중 공정수 유량 측정법 4가지 쓰시오.

    피토관/오리피스/유량측정용 노즐/자기식 유량측정기

    문제이미지

    3

    수질환경기사 필답 서술형(101~137)

    투석, 역삼투 및 전기투석 막 공법의 추진력(=구동력)을 쓰시오.

    투석: 농도 차  역삼투: 정수압 차  전기투석: 전위 차

    4

    수질환경기사 필답 서술형(101~137)

    ☆☆☆

    Jar test의 기본적인 목적 4가지 쓰시오.

    최적의 PH 선정/최적의 교반조건 선정/최적의 응집제 종류 선정/최적의 응집제 주입량 선정

    5

    수질환경기사 필답 서술형(101~137)

    유량조정조에 관한 물음에 해당하는 답변을 쓰시오.

    1. 설치목적  2. 설치방식 2가지와 간단한 설명

    1. 유입하수의 유량과 수질의 변동을 균등화함으로써 처리시설의 처리효율을 높이고 처리수질의 향상을 도모

    2. in라인: 처리계통에 직렬로 설치하여 유입하수의 전량이 유량조정조를 통과하는 방식

      off라인: 처리계통에 병렬로 연결하여 일 최대하수량을 초과하는 수량만 유량조정조에 유입시켜 수량과 수질의 균등화를 도모하는 방식


    해설

    유량조정조는 유입하수의 유량과 수질의 변동을 균등화함으로써 처리시설의 처리효율을 높이고 처리수질의 향상을 도모할 목적으로 설치하는 것이 기본 목적이나, 합류식지역의 경우 우천시 처리장 유입수(하수+강우유출수)의 일시 저류 목적으로 사용될 수도 있다.

    문제이미지

    6

    수질환경기사 필답 서술형(101~137)

    ☆☆☆

    이온크로마토그래피에서 사용하는 서프레서 역할 2가지 쓰시오.

    목적 성분 전도도 증가시킴/용리액 자체 전도도 감소시킴


    해설

    제거장치 (suppressor)

    분석목적에 적절한 제거장치를 사용하는 경우도 있다. 제거장치는 컬럼으로부터 용리된 각 성분이 검출기에 들어가기 전에 용리액 자체의 전도도를 감소시키고 목적 성분의 전도도를 증가시켜 높은 감도로 분석하기 위한 장치이다. 고용량의 양이온 교환수지를 충전시킨 컬럼형과 양이온 교환막으로 된 격막형이 있다.

    7

    수질환경기사 필답 서술형(101~137)

    펜톤(Fenton) 산화법 목적과 시약, 최적 PH를 쓰시오.

    -목적: 생물학적 분해 불가능한 고분자 물질을 분해 가능한 저분자 물질로 전환

    -시약: 과산화수소, 2가철염

    -최적 PH: 3~4.5

    8

    수질환경기사 필답 서술형(101~137)

    6가 크롬 환원 침전 계통도를 그리고, 환원조와 중화조의 최적 pH와 시약을 쓰시오.

    -계통도: 저류조 → 환원조 → 중화조 → 침전지


    -환원조

    최적 pH: 2~3

    시약: SO2,FeSO4,Na2SO3,NaHSO3SO_2, FeSO_4, Na_2SO_3, NaHSO_3


    -중화조

    최적 pH: 8~9

    시약: NaOH,Ca(OH)2NaOH, Ca(OH)_2

    9

    수질환경기사 필답 서술형(101~137)

    ☆☆☆

    다음 용어의 정의를 쓰시오.

    1. 0차반응 2. 1차 반응 3. 제타 전위 4. 슬러지 비저항 계수 5. 슬러지 용량 지표

    1. 시간 변화에 따른 농도 변화가 농도와 관계 없는 반응

    2. 시간 변화에 따른 농도 변화가 농도의 1승에 비례하는 반응

    3. 콜로이드 입자 전하와 전하 효력이 미치는 분산매 거리를 측정한 것

    4. SRF이며 슬러지 탈수성을 나타내는 지표로 클수록 탈수성이 나쁘다. 단위는 m/kg이다.

    5. SVI이며 슬러지 침강 농축성을 나타내는 지표로 클수록 침전성이 나쁘다. 단위는 mL/g이다.


    해설

    0차 반응: 시간 변화에 따른 농도 변화가 농도와 관계 없는 반응

    0.5차 반응: 시간 변화에 따른 농도 변화가 농도의 0.5승에 비례하는 반응

    1차 반응: 시간 변화에 따른 농도 변화가 농도의 1승에 비례하는 반응

    2차 반응: 시간 변화에 따른 농도 변화가 농도의 2승에 비례하는 반응

    10

    수질환경기사 필답 서술형(101~137)

    열화와 파울링의 정의를 쓰시오.

    열화: 막 자체의 비가역적인 변질로 생기는 성능 변화되는 것

    파울링: 외적 요인으로 막의 성능이 변화되는 것



    해설

    열화: 압력에 의한 크립(creep)변형이나 손상 등 물리적 열화, 가수분해나 산화 등 화학적 열화, 미생물로 자화(資化)되는 생물열화(bio-fouling) 등 막 자체의 비가역적인 변질로 생기는 성능 변화로 성능이 회복되지 않는다.

    파울링: 막 자체의 변화가 아니라 외적 요인으로 막의 성능이 변화되는 것으로, 그 원인에 따라서는 세척함으로써 성능이 회복될 수 있다. 

    11

    수질환경기사 필답 서술형(101~137)

    ☆☆☆

    생 하수 내에 주로 존재하는 질소 형태를 쓰시오.

    유기성 질소/암모니아성 질소

    12

    수질환경기사 필답 서술형(101~137)

    A~B구역에서 발생 가능한 손실수두 명칭 5가지 쓰시오.

    문제이미지

    마찰 손실수두/굴곡 손실수두/밸브 손실수두/확대 손실수두/축소 손실수두

    13

    수질환경기사 필답 서술형(101~137)

    유체 흐름에서 정상류와 비정상류, 등류와 부등류를 설명하시오.

    정상류: 유체 내 각 점의 유속, 유량 등이 시간적으로 변화하지 않는 유체 흐름

    비정상류: 유체 내 각 점의 유속, 유량 등이 시간적으로 변화하는 유체 흐름

    등류: 유체 내 각 점의 유속, 유량 등이 시간적, 공간적으로 변화하지 않는 유체 흐름

    부등류: 유체 내 각 점의 유속, 유량 등이 시간적, 공간적으로 변화하는 유체 흐름

    14

    수질환경기사 필답 서술형(101~137)

    흡광광도법 분석과정별 구성요소를 쓰시오.

    광원부 – 파장선택부 – 시료부 – 측광부


    해설

    자외선/가시선분광법(=흡광광도법)은 광원부, 파장선택부, 시료부 및 측광부로 구성되고 광원부에서 측광부까지의 광학계에는 측정목적에 따라 여러가지 형식이 있다.

    광원부

    광원부의 광원에는 텅스텐램프 중수소방전관등을 사용하며 점등을 위하여 전원부나 렌즈와 같은 광학계를 부속시킨다. 가시부와 근적외부의 광원으로는 주로 텅스텐램프를 사용하고 자외부의 광원으로는 주로 중수소 방전관을 사용한다. 또, 전원부에는 광원의 강도를 안정시키기 위한 장치를 사용할 때도 있다.

    파장선택부

    파장의 선택에는 일반적으로 단색화장치 (monochrometer) 또는 필터 (filter)를 사용한

    다. 단색장치로는 프리즘, 회절격자 또는 이 두 가지를 조합시킨 것을 사용하며 단색광을 내기 위하여 슬릿 (slit)을 부속시킨다. 필터에는 색유리 필터, 젤라틴 필터, 간접필터 등을 사용한다.

    시료부

    시료부에는 일반적으로 시료액을 넣은 흡수셀 (cell, 시료셀)과 대조액을 넣는 흡수셀(대조셀)이 있고 이 셀을 보호하기 위한 셀홀더 (cell holder)와 이것을 광로에 올려 놓을 시료실로 구성된다.

    측광부

    측광부의 광전측광에는 광전관, 광전자증배관, 광전도셀 또는 광전지 등을 사용하고 필요에 따라 증폭기 대수변환기가 있으며 지시계, 기록계 등을 사용한다. 또 광전관, 광전자증배관은 주로 자외 내지 가시파장 범위에서 광전도셀은 근적외 파장범위에서, 광전지는 주로 가시파장 범위 내에서의 광선측광에 사용된다. 지시계는 투과율, 흡광도, 농도 또는 이를 조합한 눈금이 있고 숫자로 표시되는 것도 있다. 기록계에는 투과율, 흡광도, 농도 등을 자동기록한다.

    15

    수질환경기사 필답 서술형(101~137)

    다음 빈칸을 쓰시오.

    문제이미지

    A: 계획시간 최대오수량   B: 계획우수량  C: 우천시 계획오수량

    D: 계획하수량–우천시 계획오수량

    16

    수질환경기사 필답 서술형(101~137)

    빈칸을 채우시오.

    폐수 내 질소화합물은 A 질소화합물과 B 질소화합물로 구분할 수 있으며 B 질소화합물은 C, D, E으로 구성되어 있다. 호기성 폐수처리장 체류시간이 충분할 경우 질소화합물은 E으로 완전 산화되어 존재할 가능성이 있다.

    A: 유기   B: 무기   C: 암모니아  D: 아질산이온   E: 질산이온


    해설

    폐수 내 질소화합물은 유기질소화합물과 무기질소화합물로 구분할 수 있으며 무기질소화합물은 암모니아, 아질산이온, 질산이온으로 구성되어 있다. 호기성 폐수처리장 체류시간이 충분할 경우 질소화합물은 질산이온으로 완전 산화되어 존재할 가능성이 있다.

    17

    수질환경기사 필답 서술형(101~137)

    빈칸을 채우시오.

    정류벽의 개구면적이 너무 A 정류효과가 떨어지고 너무 B 정류공 통과부에서 유속이 과대하게 되므로, 지내수류 및 플록파괴의 관점에서 바람직하지 못하다. 정류공의 직경은 C 전후, 정류공의 단면적은 수류전체의 횡단면적에 대하여 약 D 정도가 바람직하다. 이 정류벽은 유입단에서 E 이상 떨어진 위치에 설치하는 것이 바람직하다.

    A: 크면  B: 작으면  C: 10cm  D: 6%  E: 1.5m


    해설

    정류벽은 물의 흐름에서 에너지의 국부적 불균형을 시정하고 전체의 흐름이 될수록 균일하게 하기 위하여 설치하는 시설로, 정류벽의 개구면적이 너무 크면 정류효과가 떨어지고 너무 작으면 정류공 통과부에서 유속이 과대하게 되므로, 지내수류 및 플록파괴의 관점에서 바람직하지 못하다. 정류공의 직경은 10cm 전후, 정류공의 단면적은 수류전체의 횡단면적에 대하여 약 6% 정도가 바람직하다. 이 정류벽은 유입단에서 1.5m 이상 떨어진 위치에 설치하는 것이 바람직하다.

    18

    수질환경기사 필답 서술형(101~137)

    다음 설명하는 용어를 쓰시오.

    1. 원자가 외부로부터 빛을 흡수했다가 다시 먼저상태로 돌아갈 때 방사하는 스펙트럼선

    2. 목적하는 스펙트럼선에 가까운 파장을 갖는 다른 스펙트럼선

    3. 파장에 대한 스펙트럼선의 강도를 나타내는 곡선

    4. 물질의 원자증기층을 빛이 통과할 때 각각 특유한 파장의 빛을 흡수한다. 이 빛을 분산하여 얻어지는 스펙트럼

    1. 공명선(Resonance Line)   2. 근접선(Neighbouring Line)

    3. 선프로파일(Line Profile)   4. 원자흡광스펙트럼(Atomic Absorption Spectrum)

    19

    수질환경기사 필답 서술형(101~137)

    ☆☆

    빈칸을 채우시오.

    1. 미생물이 새 미생물을 형성하기 위해 유기탄소를 이용하는 생물을 A이라 한다.

    2. 세포합성에 필요한 에너지원으로 빛을 이용하는 생물을 B이라 한다.

    3. 아질산염이나 질산염을 전자수용체로 사용하는 조건을 C이라 한다.

    A: 종속영양계  B: 광합성 미생물  C: 무산소 조건

    20

    수질환경기사 필답 서술형(101~137)

    ☆☆

    빈칸을 채우시오.

    문제이미지

    A: 0  B: 0  C: 1  D:

    문제이미지

    21

    수질환경기사 필답 서술형(101~137)

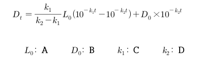
    속도경사 G값 구하는 공식을 쓰시오.

    문제이미지

    22

    수질환경기사 필답 서술형(101~137)

    ☆☆

    화학적 산소요구량 측정 계산식과 구성항목을 쓰시오.

    문제이미지

    23

    수질환경기사 필답 서술형(101~137)

    ☆☆☆

    완전혼합형이며 질량불변의 법칙을 적용해 호수의 물질수지식을 작성하시오. 1차 반응이며 k를 반응속도상수로 한다. 또한, 기준성분 질량 변화량=유입량-유출량-반응량 이다.

    문제이미지
    문제이미지

    24

    수질환경기사 필답 서술형(101~137)

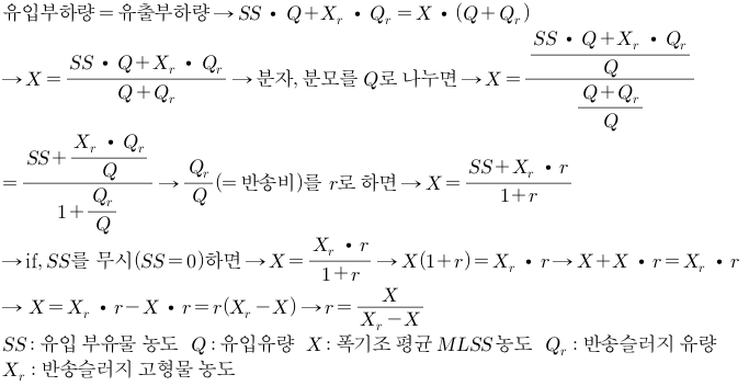
    물질수지식을 이용해 반송비(QrQ\dfrac {Q_r} Q) 유도하시오.

    문제이미지
    문제이미지

    25

    수질환경기사 필답 서술형(101~137)

    침강속도 구하는 Stoke 법칙을 유도하시오.

    문제이미지

    26

    수질환경기사 필답 서술형(101~137)

    Vollenweider 모델식을 미분 방정식으로 표현하시오.

    문제이미지

    27

    수질환경기사 필답 서술형(101~137)

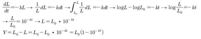
    소모BOD=Y, 잔류BOD=L, 최종BOD=L0L_0, 탈산소계수=k를 이용해 밑수를 10으로 하는 소모BOD 구하는 식을 유도하시오.(1차 반응) 

    문제이미지

    28

    수질환경기사 필답 서술형(101~137)

    램버트 비어(Lambert-Beer) 공식 속 인자를 이용하여 다음을 구하시오.

    문제이미지
    문제이미지

    29

    수질환경기사 필답 서술형(101~137)

    ☆☆☆

    하천의 기본적인 용존산소 모델식인 Streeter-phelps Model을 표현한 것이다. 빈칸을 채우시오.(단위 포함)

    문제이미지
    문제이미지

    30

    수질환경기사 필답 서술형(101~137)

    ☆☆☆☆

    C5H7O2NC_5H_7O_2N을 BOD로 환산할 때 사용하는 계수가 1.42임을 증명하시오.

    문제이미지

    31

    수질환경기사 필답 서술형(101~137)

    ☆☆☆

    C5H7O2NC_5H_7O_2N의 BOD : NOD = 5 : 2일 때 비율을 유도하시오.

    ※ NOD: BOD 배양하고, 7~10일 후에 질산화가 발생하는데 이를 NBOD라고도 하며 하폐수 중 NH4+ 질산화에 필요한 산소 요구량이다.

    문제이미지

    32

    수질환경기사 필답 서술형(101~137)

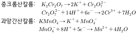
    산화제 K2Cr2O7K_2Cr_2O_7 (중크롬산칼륨), KMnO4KMnO_4 (과망간산칼륨)의 환원 반응식을 쓰시오.

    문제이미지

    33

    수질환경기사 필답 서술형(101~137)

    ☆☆

    탈질화 과정서 메탄올을 탄소원으로 공급할 경우 두 단계로 반응이 일어난다. 단계별 반응식과 전체 반응식을 쓰시오.

    문제이미지

    34

    수질환경기사 필답 서술형(101~137)

    ☆☆

    질산화의 2단계 반응식과 전체 반응식을 쓰시오.

    문제이미지

    35

    수질환경기사 필답 서술형(101~137)

    ☆☆☆

    물에 차아염소산염(OClOCl^-) 주입해 살균 시 물의 pH 변화를 화학식을 이용해 쓰시오.

    OClOCl^- + H2OH_2O -> HOClHOCl + OHOH^- 이며 pH 증가한다.

    36

    수질환경기사 필답 서술형(101~137)

    ☆☆☆☆☆

    공기 탈기법과 파과점 염소 주입법의 원리와 반응식을 쓰시오.

    문제이미지

    37

    수질환경기사 필답 서술형(101~137)

    ☆☆☆☆

    다음 무기응집제에 대해 각각 응집에 필요한 칼슘염 형태의 알칼리도를 반응시켜 플록을 형성하는 완전 반응식을 쓰시오.

    문제이미지
    문제이미지