모두CBT | 국가고시 실기시험 부시기!

수질환경기사 필답 계산형(151~182) 해설 페이지

수질환경기사 필답 계산형(151~182)

    1

    수질환경기사 필답 계산형(151~182)

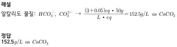
    산성도 4, 온도 25°C, 조성이 표와 같은 물을 연수화하기 위한 응집제 선정시 총 알칼리도(g/L as CaCO3CaCO_3)를 구하시오.

    문제이미지


    문제이미지

    2

    수질환경기사 필답 계산형(151~182)

    ☆☆☆

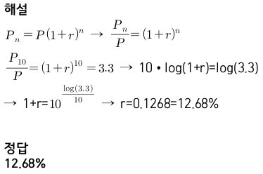
    등비증가법에 따라 도시인구가 10년간 3.3배 증가했을 때 연평균 인구 증가율(%)을 구하시오


    문제이미지

    3

    수질환경기사 필답 계산형(151~182)

    ☆☆

    1개월 동안 대장균 계수 자료가 오름차순으로 주어졌을 때 기하평균과 중간 값을 구하시오.

    대장균 계수자료

    1 13 60 85 150 234 330 331


    문제이미지

    4

    수질환경기사 필답 계산형(151~182)

    ☆☆☆

    회분침강농축 실험해 다음 그래프를 얻었다. 슬러지 초기 농도가 10g/L일 때, 6시간 정치 후 슬러지 농도(g/L)를 구하시오.

    문제이미지


    문제이미지

    5

    수질환경기사 필답 계산형(151~182)

    ☆☆☆

    다음 조건에서 유출수의 BOD농도(mg/L)를 구하시오.

    문제이미지


    문제이미지

    6

    수질환경기사 필답 계산형(151~182)

    다음 조건을 이용해 물음에 답하시오.

    문제이미지


    문제이미지

    7

    수질환경기사 필답 계산형(151~182)
    문제이미지
    문제이미지

    8

    수질환경기사 필답 계산형(151~182)

    ☆☆☆☆

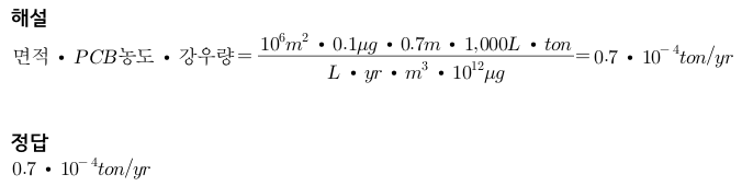
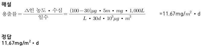
    106m210^6m^2의 호수에 강우 PCB농도가 0.1µg/L , 연평균 강우량이 70cm인 강우에 의해 호수로 직접 유입되는 PCB 양(ton/yr)을 구하시오.


    문제이미지

    9

    수질환경기사 필답 계산형(151~182)

    ☆☆

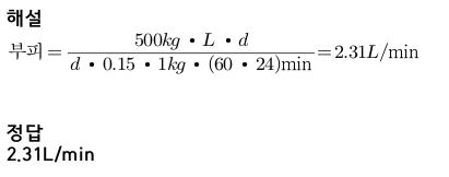
    유량 200m3/dm^3/d, pH 3인 황산화수소를 수산화나트륨(나트륨 함량 90%)으로 중화시킬 때 필요한 수산화나트륨 양(kg/d)을 구하시오.


    문제이미지

    10

    수질환경기사 필답 계산형(151~182)
    문제이미지
    문제이미지

    11

    수질환경기사 필답 계산형(151~182)

    ☆☆

    다음 조건에서 소화조 하반부에 슬러지가 차있으며 가스는 상반부에 있을 때 소화조 용량(m3m^3)을 구하시오.

    문제이미지
    문제이미지

    12

    수질환경기사 필답 계산형(151~182)
    문제이미지
    문제이미지

    13

    수질환경기사 필답 계산형(151~182)
    문제이미지
    문제이미지

    14

    수질환경기사 필답 계산형(151~182)
    문제이미지
    문제이미지

    15

    수질환경기사 필답 계산형(151~182)

    RBC(회전원판법)를 이용한다. 다음 물음에 답하시오.

    문제이미지


    문제이미지

    16

    수질환경기사 필답 계산형(151~182)
    문제이미지
    문제이미지

    17

    수질환경기사 필답 계산형(151~182)

    ☆☆

    다음 조건으로 물음에 대한 답변을 하시오.

    문제이미지


    문제이미지

    18

    수질환경기사 필답 계산형(151~182)
    문제이미지
    문제이미지

    19

    수질환경기사 필답 계산형(151~182)
    문제이미지
    문제이미지

    20

    수질환경기사 필답 계산형(151~182)
    문제이미지
    문제이미지

    21

    수질환경기사 필답 계산형(151~182)
    문제이미지
    문제이미지

    22

    수질환경기사 필답 계산형(151~182)
    문제이미지
    문제이미지

    23

    수질환경기사 필답 계산형(151~182)

    ☆☆

    100m3/hm^3/h로 양수할 때 양수정으로부터 10m와 20m 떨어진 관측정의 수위 저하는 각각 2m, 1m였다. 자유 지하수층에 지름 0.5m 우물을 팠고, 양수 전 지하수는 불투수층 위로 20m일 때 이 대수층의 투수계수(m/h)와 양수정에서의 수위저하(m)를 구하시오.

    문제이미지


    문제이미지

    24

    수질환경기사 필답 계산형(151~182)
    문제이미지
    문제이미지

    25

    수질환경기사 필답 계산형(151~182)
    문제이미지
    문제이미지

    26

    수질환경기사 필답 계산형(151~182)
    문제이미지
    문제이미지

    27

    수질환경기사 필답 계산형(151~182)
    문제이미지
    문제이미지

    28

    수질환경기사 필답 계산형(151~182)

    ☆☆☆

    다음 조건으로 물음에 대한 답변을 하시오.

    문제이미지


    문제이미지

    29

    수질환경기사 필답 계산형(151~182)
    문제이미지
    문제이미지

    30

    수질환경기사 필답 계산형(151~182)
    문제이미지
    문제이미지

    31

    수질환경기사 필답 계산형(151~182)

    유량 2,300m3/dm^3/d, Ni2+Ni^{2+}(원자량 58.7) 50mg/L인 폐수를 이온교환하여 처리하려 한다. 이온교환수지능력 2,700eq/m3eq/m^3로 7일동안 제거할 시 필요한 수지량(m3m^3)을 구하시오.


    문제이미지

    32

    수질환경기사 필답 계산형(151~182)

    수리학적 용적부하율 3h1h^{-1}, 탄소 밀도 400kg/m3kg/m^3, 탄소 단위질량당 처리수 용적 400L/kg, 유량 200m3/dm^3/d, TOC농도 220mg/L인 페놀폐수를 고정상 탄소흡착 칼럼으로 처리해 유출수 TOC농도 10gm/L로 하려 한다. 이때 걸리는 파과점 도달시간(d)를 구하시오,


    문제이미지