모두CBT | 국가고시 실기시험 부시기!

수질환경기사 필답 계산형(101~150) 해설 페이지

수질환경기사 필답 계산형(101~150)

    1

    수질환경기사 필답 계산형(101~150)

    ☆☆☆

    조도계수 0.3 , 수심 0.5m, 폭 1m인 직사각형 단면수로(구배: 1/800) 유량(m3/minm^3/min)을 구하시오.

    문제이미지


    문제이미지

    2

    수질환경기사 필답 계산형(101~150)

    0.025N- Na2C2O4Na_2C_2O_4 표준용액 10mL에 대해 0.025N-KMnO4KMnO_4 용액으로 적정한 결과 적정 소비량 10mL 공시험 적정 소비량 0.1mL였다. 다음 물음에 답하시오.

    문제이미지


    문제이미지

    3

    수질환경기사 필답 계산형(101~150)

    ☆☆☆

    0.1M NaOH 200mL를 2M H2SO4H_2SO_4로 중화적정 시 소비되는 황산의 양(mL)을 구하시오.


    문제이미지

    4

    수질환경기사 필답 계산형(101~150)

    ☆☆

    95% 황산(비중: 1.84)을 가지고 0.1N 황산용액 500mL를 제조하려면 95% 황산 몇mL를 물에 희석해야 되는지 구하시오.


    문제이미지

    5

    수질환경기사 필답 계산형(101~150)
    문제이미지
    문제이미지

    6

    수질환경기사 필답 계산형(101~150)
    문제이미지
    문제이미지

    7

    수질환경기사 필답 계산형(101~150)
    문제이미지
    문제이미지

    8

    수질환경기사 필답 계산형(101~150)
    문제이미지
    문제이미지

    9

    수질환경기사 필답 계산형(101~150)
    문제이미지
    문제이미지

    10

    수질환경기사 필답 계산형(101~150)
    문제이미지
    문제이미지

    11

    수질환경기사 필답 계산형(101~150)
    문제이미지
    문제이미지

    12

    수질환경기사 필답 계산형(101~150)

    ☆☆

    다음 조건에서 입자를 완전히 제거하는 데 요구되는 침전지 체류시간(min)을 구하시오.

    문제이미지
    문제이미지

    13

    수질환경기사 필답 계산형(101~150)

    ☆☆

    다음 조건으로 유분함유폐수를 부상분리 공정으로 처리할 때 물음에 대한 답변을 하시오.

    문제이미지
    문제이미지

    14

    수질환경기사 필답 계산형(101~150)
    문제이미지
    문제이미지

    15

    수질환경기사 필답 계산형(101~150)
    문제이미지
    문제이미지

    16

    수질환경기사 필답 계산형(101~150)

    ☆☆☆☆☆

    다음 조건에서 레이놀드 수를 구하고, 난류인지 판단하시오. 유체는 관 일부만 차서 흐른다.

    ∙폭: 10m

    ∙깊이: 3.5m

    ∙유속: 0.05m/s

    ∙동점성계수: 1.31106m2/s1.31 * 10^{-6}m^2/s


    문제이미지

    17

    수질환경기사 필답 계산형(101~150)
    문제이미지
    문제이미지

    18

    수질환경기사 필답 계산형(101~150)
    문제이미지
    문제이미지

    19

    수질환경기사 필답 계산형(101~150)
    문제이미지
    문제이미지

    20

    수질환경기사 필답 계산형(101~150)
    문제이미지
    문제이미지

    21

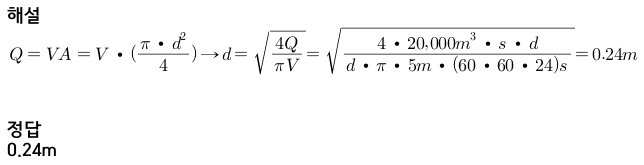
    수질환경기사 필답 계산형(101~150)

    20,000m3/d20,000m^3/d의 설계유량에서 유효흡입속도 5m/s일 때 사용하는 펌프의 흡입 구경(m)을 구하시오.


    문제이미지

    22

    수질환경기사 필답 계산형(101~150)

    ☆☆☆☆☆☆☆

    다음 조건으로 물음에 대한 답변을 구하시오.

    문제이미지
    문제이미지

    23

    수질환경기사 필답 계산형(101~150)

    ☆☆

    다음 조건에서 펌프 소요동력(kW)를 구하시오.

    ∙유량: 20m3/min20m^3/min

    ∙양정: 15m

    ∙효율: 80%

    ∙물의 밀도: 1g/cm3cm^3

    ∙여유율: 1.5%


    문제이미지

    24

    수질환경기사 필답 계산형(101~150)

    깊이 180m인 호수 표면 4m 아래에 취수구가 있으며 원수를 펌프로 호수 표면에서 높이 5m에 있는 처리 장 입구까지 수송한다. 펌프 흡입손실수두 3m, 배출손실수두 2m일 때 펌프효율은 70%로 한다. 처리장 에서 45,000인분 물을 공급하며 평균 물 소비량은 0.8m3m^3 /인·d일 때 펌프의 소요마력(HP)을 구하시오.

    문제이미지

    25

    수질환경기사 필답 계산형(101~150)
    문제이미지
    문제이미지

    26

    수질환경기사 필답 계산형(101~150)

    ☆☆☆☆

    다음 조건으로 물음에 대한 답변을 하시오.

    문제이미지


    문제이미지

    27

    수질환경기사 필답 계산형(101~150)
    문제이미지
    문제이미지

    28

    수질환경기사 필답 계산형(101~150)
    문제이미지
    문제이미지

    29

    수질환경기사 필답 계산형(101~150)
    문제이미지
    문제이미지

    30

    수질환경기사 필답 계산형(101~150)

    ☆☆☆

    2단 고율 살수여과상 처리장에서 BOD5BOD_5가 200mg/L, 유량: 7.6103m3/d7.6*10^3m^3/d인 도시폐수를 처리한다. 이 두 여과상은 직경, 깊이, 반송률이 같다. 주어진 조건을 이용해 최종 유출수의 BOD5BOD_5(mg/L)를 구하시오.

    문제이미지


    문제이미지

    31

    수질환경기사 필답 계산형(101~150)
    문제이미지
    문제이미지

    32

    수질환경기사 필답 계산형(101~150)

    ☆☆

    온도 40℃, 유량 0.6m3m^3 /min인 폐수에 침강성 오염물질 농도 300mg/L, 비침강성 오염물질 농도 150mg/L 포함되어 있다. 이 폐수를 부상조, 응집침전조를 거쳐 침강성 오염물질 농도 30mg/L, 비침강 성 오염물질 농도 15mg/L로 줄이려 할 때 물음에 답하시오.(응집침전조는 침강성 오염물질만 제거, 부 상조는 비침강성 오염물질만 제거한다.)

    문제이미지
    문제이미지

    33

    수질환경기사 필답 계산형(101~150)
    문제이미지
    문제이미지

    34

    수질환경기사 필답 계산형(101~150)
    문제이미지
    문제이미지

    35

    수질환경기사 필답 계산형(101~150)
    문제이미지
    문제이미지

    36

    수질환경기사 필답 계산형(101~150)
    문제이미지
    문제이미지

    37

    수질환경기사 필답 계산형(101~150)
    문제이미지
    문제이미지

    38

    수질환경기사 필답 계산형(101~150)
    문제이미지
    문제이미지

    39

    수질환경기사 필답 계산형(101~150)
    문제이미지
    문제이미지

    40

    수질환경기사 필답 계산형(101~150)
    문제이미지
    문제이미지

    41

    수질환경기사 필답 계산형(101~150)
    문제이미지
    문제이미지

    42

    수질환경기사 필답 계산형(101~150)
    문제이미지
    문제이미지

    43

    수질환경기사 필답 계산형(101~150)

    ☆☆

    박테리아를 무게기준으로 분석한 결과 C: 53%, H: 6%, O: 29%, N: 12%일 때 최소 정수비를 C, H, O, N 순서로 나타내시오.

    문제이미지

    44

    수질환경기사 필답 계산형(101~150)
    문제이미지
    문제이미지

    45

    수질환경기사 필답 계산형(101~150)

    ☆☆☆☆

    폐수 COD 제거를 위해 활성탄으로 흡착하려 한다. COD 50mg/L인 원수에 활성탄 20mg/L 주입했더니 COD 20mg/L가 되었고, 활성탄 50mg/L 주입했더니 COD 5mg/L가 되었다. COD 10mg/L으로 하기 위한 활성탄 주입량(mg/L)을 구하시오. Freundlich 공식 이용한다.


    문제이미지

    46

    수질환경기사 필답 계산형(101~150)
    문제이미지
    문제이미지

    47

    수질환경기사 필답 계산형(101~150)
    문제이미지
    문제이미지

    48

    수질환경기사 필답 계산형(101~150)
    문제이미지
    문제이미지

    49

    수질환경기사 필답 계산형(101~150)

    직각 3각웨어의 유량 공식을 쓰시오.


    문제이미지

    50

    수질환경기사 필답 계산형(101~150)
    문제이미지
    문제이미지