모두CBT | 국가고시 실기시험 부시기!

수질환경기사 필답 계산형(51~100) 해설 페이지

수질환경기사 필답 계산형(51~100)

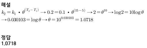
    1

    수질환경기사 필답 계산형(51~100)

    완전혼합 반응기와 압출류형 반응기(PFR)에서 Alum량을 90% 감소시키는 데 걸리는 체류시간(분)을 구하시오. 1차 반응이고, Alum 주입량 50mg/L, 속도상수 k 100d1100d^{-1} 이다.

    문제이미지

    2

    수질환경기사 필답 계산형(51~100)

    ☆☆

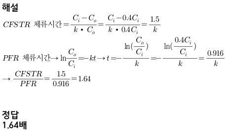
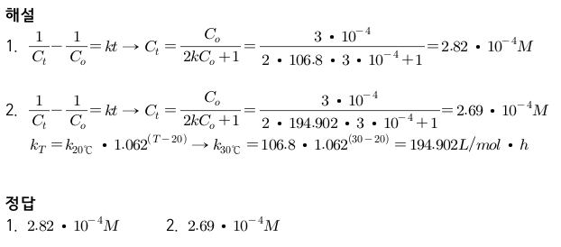
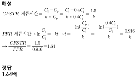
    오염물 초기농도의 60%가 감소되었을 때 CFSTR의 체류시간은 PFR의 체류시간의 몇 배인지 구하시오.(1차 반응, 자연상수 기준)


    문제이미지

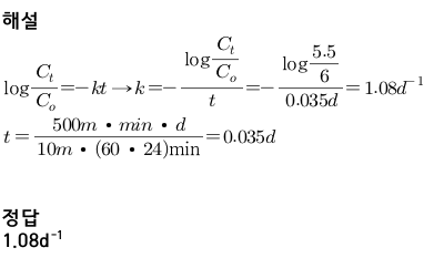
    3

    수질환경기사 필답 계산형(51~100)

    다음 조건으로 탈산소계수k(d-1)를 구하시오.(상용대수 기준이며 1차 반응이다.)

    문제이미지


    문제이미지

    4

    수질환경기사 필답 계산형(51~100)

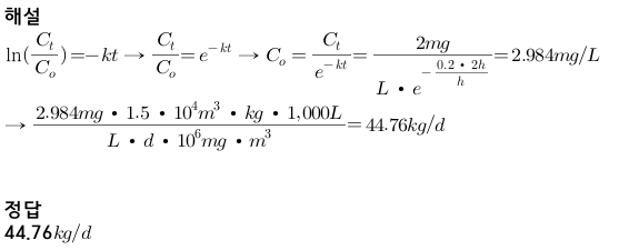
    다음 조건을 이용해서 염소 주입량(kg/d)과 유기물 축적량(mg/L)을 구하시오.

    문제이미지


    문제이미지

    5

    수질환경기사 필답 계산형(51~100)

    ☆☆

    다음 조건에서 필요한 염소 주입량(kg/d)를 구하시오.(1차 반응, PFR반응)

    문제이미지


    문제이미지

    6

    수질환경기사 필답 계산형(51~100)
    문제이미지
    문제이미지

    7

    수질환경기사 필답 계산형(51~100)

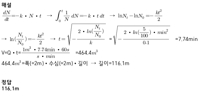
    잔류염소 농도: 0.35mg/L에서 5분 만에 90%의 세균이 사멸되었다면 99% 살균을 위해서는 몇 분의 시간이 필요한지 구하시오.(사멸반응: 1차 반응)

    문제이미지

    8

    수질환경기사 필답 계산형(51~100)

    ☆☆☆☆

    다음 조건에서 접촉조 소요 길이(m)를 구하시오.

    문제이미지
    문제이미지

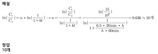
    9

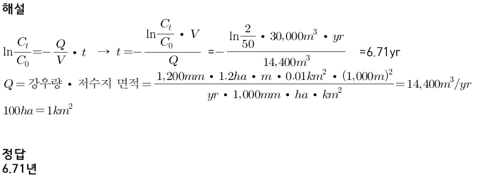
    수질환경기사 필답 계산형(51~100)

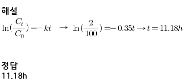
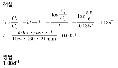
    다음 조건에서 저수지 유해물 농도가 50mg/L에서 2mg/L로 변할 때까지 걸리는 시간(년)을 구하시오. 저수지는 유입, 유출량은 강우량에만 의존한다. 또한 자연대수 기준이다.

    문제이미지


    문제이미지

    10

    수질환경기사 필답 계산형(51~100)
    문제이미지
    문제이미지

    11

    수질환경기사 필답 계산형(51~100)
    문제이미지
    문제이미지

    12

    수질환경기사 필답 계산형(51~100)
    문제이미지
    문제이미지

    13

    수질환경기사 필답 계산형(51~100)
    문제이미지
    문제이미지

    14

    수질환경기사 필답 계산형(51~100)
    문제이미지
    문제이미지

    15

    수질환경기사 필답 계산형(51~100)
    문제이미지
    문제이미지

    16

    수질환경기사 필답 계산형(51~100)

    ☆☆☆☆☆☆☆

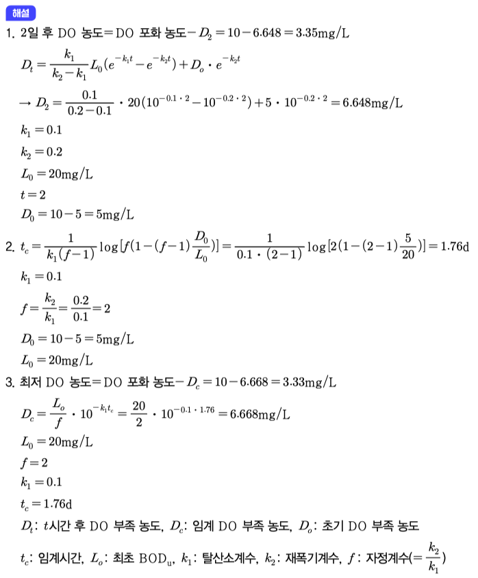
    다음 조건에서 36시간 흐른 뒤 하류에서의 DO 농도(mg/L)를 구하시오.(단, 상용대수 기준)

    문제이미지
    문제이미지

    17

    수질환경기사 필답 계산형(51~100)

    아래 그림과 다음 조건으로 물음에 대한 답변을 구하시오.

    문제이미지
    문제이미지

    18

    수질환경기사 필답 계산형(51~100)

    ☆☆

    다음 조건으로 물음에 대한 답변을 하시오.(단, 상용대수 기준, Streeter phelps식 이용)

    문제이미지
    문제이미지

    19

    수질환경기사 필답 계산형(51~100)

    ☆☆

    하천에서 폐수가 유입되고 있고, 폐수 방류지점에서 혼합은 이상적으로 이뤄지고 있다. 혼합수 수질 및 조건이 주어졌을 때 다음을 구하시오.(단, 상용대수 기준)

    문제이미지
    문제이미지

    20

    수질환경기사 필답 계산형(51~100)
    문제이미지
    문제이미지

    21

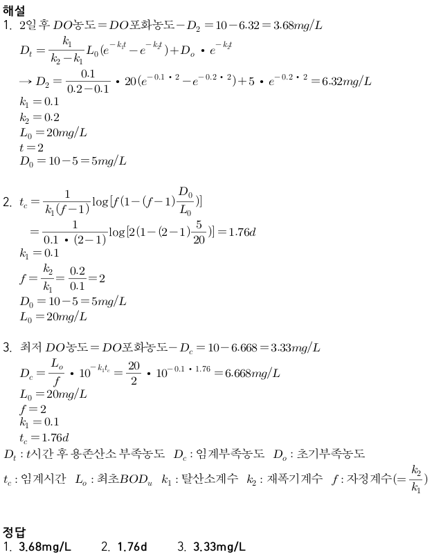
    수질환경기사 필답 계산형(51~100)

    ☆☆☆

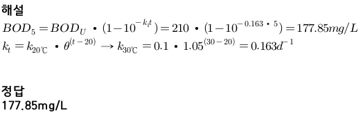
    다음 조건에서 2일 후 배양기 온도를 25℃로 조절했을 때 측정된 BOD5 를 구하시오. 상용대수 기준이다.

    문제이미지
    문제이미지

    22

    수질환경기사 필답 계산형(51~100)
    문제이미지
    문제이미지

    23

    수질환경기사 필답 계산형(51~100)
    문제이미지
    문제이미지

    24

    수질환경기사 필답 계산형(51~100)

    ☆☆☆

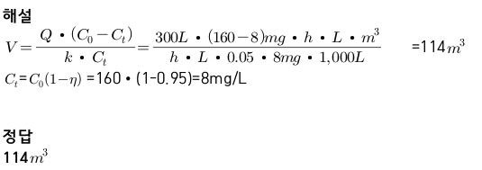
    300mL BOD병에 60mL의 시료를 넣고 나머지 부분은 희석수로 채운 후 BOD실험을 진행했다. 초기 DO농도 8mg/L, 5일 후 DO농도 5mg/L일 때 시료 BOD농도(mg/L)를 구하시오.

    해설

    BOD=()

    ∙=(8-5)

    ∙5=15mg/L, =5 D1: 초기 용존산소(DO)농도 D2: 5일 배양후 용존산소 농도 P: 희석배수


    정답

    15mg/L

    문제이미지

    25

    수질환경기사 필답 계산형(51~100)
    문제이미지
    문제이미지

    26

    수질환경기사 필답 계산형(51~100)
    문제이미지
    문제이미지

    27

    수질환경기사 필답 계산형(51~100)

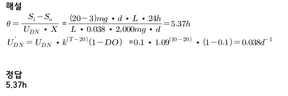
    활성슬러지 공정의 조건이 아래와 같을 때 다음을 구하시오.

    문제이미지


    문제이미지

    28

    수질환경기사 필답 계산형(51~100)

    ☆☆☆☆

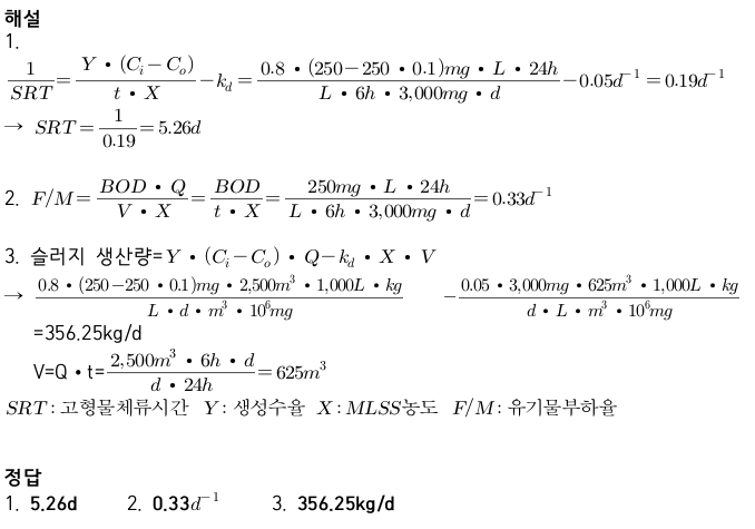
    완전혼합 활성슬러지 공정의 조건이 아래와 같을 때 다음을 구하시오.

    문제이미지
    문제이미지

    29

    수질환경기사 필답 계산형(51~100)
    문제이미지
    문제이미지

    30

    수질환경기사 필답 계산형(51~100)
    문제이미지
    문제이미지

    31

    수질환경기사 필답 계산형(51~100)
    문제이미지
    문제이미지

    32

    수질환경기사 필답 계산형(51~100)
    문제이미지
    문제이미지

    33

    수질환경기사 필답 계산형(51~100)
    문제이미지
    문제이미지

    34

    수질환경기사 필답 계산형(51~100)
    문제이미지
    문제이미지

    35

    수질환경기사 필답 계산형(51~100)
    문제이미지
    문제이미지

    36

    수질환경기사 필답 계산형(51~100)
    문제이미지
    문제이미지

    37

    수질환경기사 필답 계산형(51~100)
    문제이미지
    문제이미지

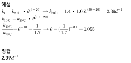
    38

    수질환경기사 필답 계산형(51~100)

    ☆☆

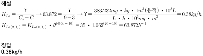
    다음 조건으로 20℃에서의 산소전달률(kg/h)을 구하시오,

    문제이미지


    문제이미지

    39

    수질환경기사 필답 계산형(51~100)
    문제이미지
    문제이미지

    40

    수질환경기사 필답 계산형(51~100)
    문제이미지
    문제이미지

    41

    수질환경기사 필답 계산형(51~100)
    문제이미지
    문제이미지

    42

    수질환경기사 필답 계산형(51~100)
    문제이미지
    문제이미지

    43

    수질환경기사 필답 계산형(51~100)
    문제이미지
    문제이미지

    44

    수질환경기사 필답 계산형(51~100)

    MLSS: 3,000mg/L, SVI: 100인 슬러지 1L를 30분 동안 침강시킨 후 슬러지 침강분율(%) 을 구하시오.


    문제이미지

    45

    수질환경기사 필답 계산형(51~100)

    ☆☆

    유출계수 , 유역면적 10410^4ha에 3시간 동안 10cm 비가 내렸을 때 합리식 이용해 유량(m3/sm^3/s)을 구하시오.(합리식으로 계산)

    해설



    정답

    740.73

    문제이미지

    46

    수질환경기사 필답 계산형(51~100)

    ☆☆☆

    다음 조건에서 합리식 이용해 하수관에서 흘러나오는 우수량(m3/sm^3/s)을 구하시오.

    문제이미지
    문제이미지

    47

    수질환경기사 필답 계산형(51~100)
    문제이미지
    문제이미지

    48

    수질환경기사 필답 계산형(51~100)
    문제이미지
    문제이미지

    49

    수질환경기사 필답 계산형(51~100)
    문제이미지
    문제이미지

    50

    수질환경기사 필답 계산형(51~100)

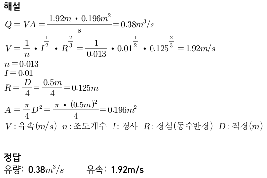
    ☆☆☆

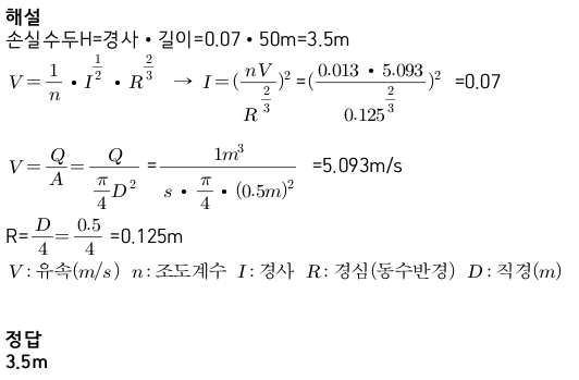
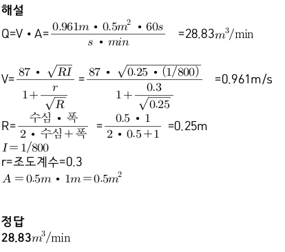
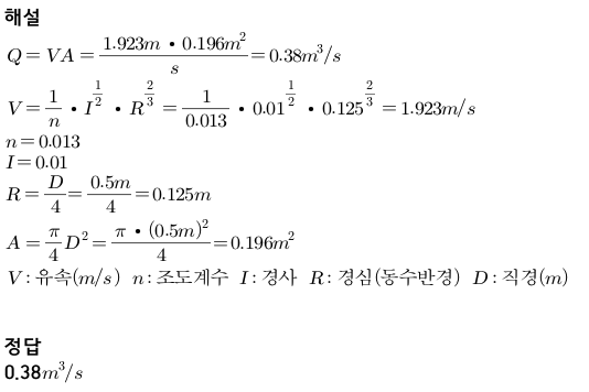
    다음 조건에서 Manning공식 이용해 원형관 만류 시 유량()과 유속(m/s)을 구하시오.


    ∙직경: 0.5m   ∙하수관 경사: 1%   ∙조도계수: 0.013


    문제이미지

    51

    수질환경기사 필답 계산형(51~100)

    ☆☆☆☆☆

    다음 조건에서 Manning 공식을 이용해 손실수두(m)를 구하시오. (만관 기준이다.)

    문제이미지

    =

    문제이미지