모두CBT | 국가고시 실기시험 부시기!

수질환경기사 필답 계산형(1~50) 해설 페이지

수질환경기사 필답 계산형(1~50)

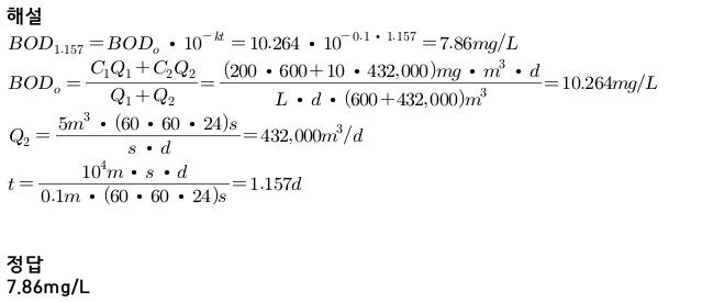
    1

    수질환경기사 필답 계산형(1~50)

     ☆☆

    다음 물음에 답하시오.

    문제이미지
    문제이미지

    2

    수질환경기사 필답 계산형(1~50)

    ☆☆☆

    TS=320mg/L, FS=200mg/L, VSS=50mg/L, TSS=100mg/L일 때, TDS, VS, FSS, VDS, FDS를 구하시오. 단위는 mg/L이다.

    문제이미지

    3

    수질환경기사 필답 계산형(1~50)

    다음 조건을 이용하여 물음에 답하시오.

    문제이미지
    문제이미지

    4

    수질환경기사 필답 계산형(1~50)

    ☆☆☆

    다음 물음에 대한 답변을 하시오.

    문제이미지
    문제이미지

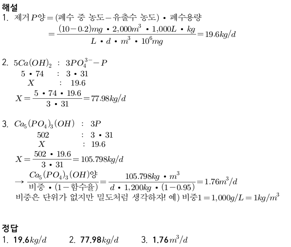
    5

    수질환경기사 필답 계산형(1~50)

    ☆☆☆

    소석회(Ca(OH)2)를 이용해 수중 인을 제거하고자 한다. 다음 조건으로 물음에 대한 답변을 하시오.

    문제이미지
    문제이미지

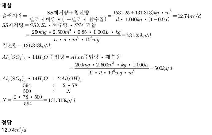
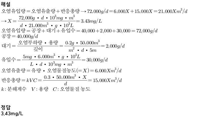
    6

    수질환경기사 필답 계산형(1~50)

    ☆☆☆

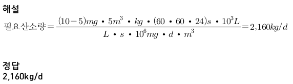
    유량 5m3/s, DO농도 10mg/L인 하천에서 DO농도를 최소 5mg/L로 유지해야 자정능력이 있다 할 때 자연 정화에 이용되는 필요 산소량(kg/d)를 구하시오.

    문제이미지

    7

    수질환경기사 필답 계산형(1~50)

    ☆☆

    문제이미지
    문제이미지

    8

    수질환경기사 필답 계산형(1~50)

    ☆☆☆☆☆

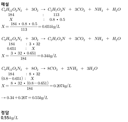
    다음 조건으로 박테리아(C5H7O2NC_5H_7O_2N)에 대한 물음에 답변을 하시오.

    문제이미지
    문제이미지

    9

    수질환경기사 필답 계산형(1~50)

    명암 병법 관련 조건이며 물음에 답하시오.

    문제이미지
    문제이미지

    10

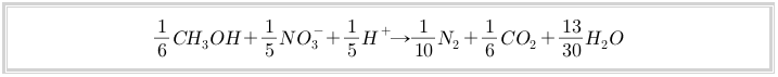
    수질환경기사 필답 계산형(1~50)

    ☆☆☆☆

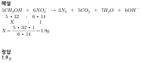
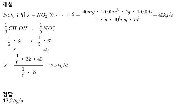
    NO3 NO_3^-의 탈질 총괄반응식이 다음과 같을 때, NO3NO_3^-농도 40mg/L 함유된 폐수1,000m3/dm^3/d를 탈질시키는 데 요구되는 메탄올 양(kg/d)을 구하시오.

    문제이미지
    문제이미지

    11

    수질환경기사 필답 계산형(1~50)

    ☆☆☆

    질산성 질소 1g 탈질하는 데 수소공여체로서 필요한 메탄올 이론량(g)을 구하시오.

    문제이미지

    12

    수질환경기사 필답 계산형(1~50)

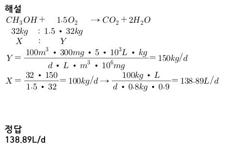
    유량 100m3/dm^3/d, 질산성질소 300mg/L인 폐수를 메탄올을 이용해 탈질하려 할 때 메탄올 소요량(L/d)을 구하시오. 메탄올 순도는 90%, 비중 0.8이며 COD=5N이다.

    문제이미지

    13

    수질환경기사 필답 계산형(1~50)

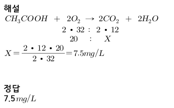
    CH3COOHCH_3COOH(초산, 아세트산)의 BODUBOD_U 가 20mg/L일 때 TOC(mg/L)를 구하시오.

    문제이미지

    14

    수질환경기사 필답 계산형(1~50)

    CH3CH(NH2)COOOHCH_3CH(NH_2)COOOH 1mol이 호기성 분해할 때의 이론적 산소요구량(g/mol)을 구하시오.(질소는 HNO3HNO_3로 분해)

    문제이미지

    15

    수질환경기사 필답 계산형(1~50)

    ☆☆

    글리신(CH2(NH2)COOHCH_2(NH_2)COOH)의 ThOD(g/mol)을 구하시오.

    문제이미지
    문제이미지

    16

    수질환경기사 필답 계산형(1~50)

    ☆☆☆☆☆☆

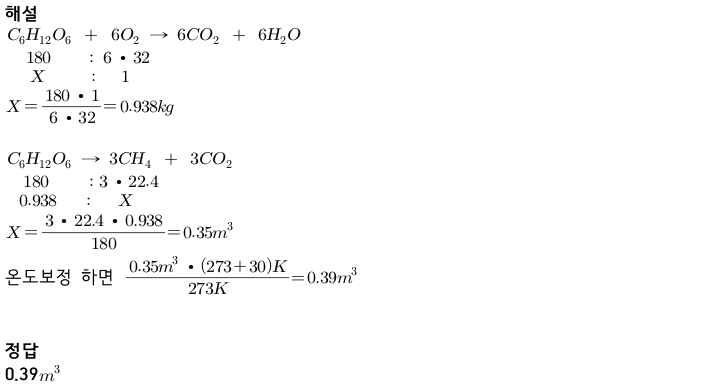
    혐기조건에서 글루코스(Glucose)가 분해될 때 30°C에서 최종 BOD 1kg당 발생 가능한 메탄 부피(m3m^3)를 구하시오.

    문제이미지

    17

    수질환경기사 필답 계산형(1~50)

    ☆☆☆☆☆☆☆☆☆

    메탄 최대수율은 제거 1kg COD당 0.35m3CH4m^3CH_4임을 증명하고, 유량 1,000m3/d1,000m^3/d, COD 3,000mg/L, COD제거율: 80%일 경우 CH4CH_4발생 량(m3/dm^3/d)을 구하시오.

    문제이미지

    18

    수질환경기사 필답 계산형(1~50)

    ☆☆☆☆

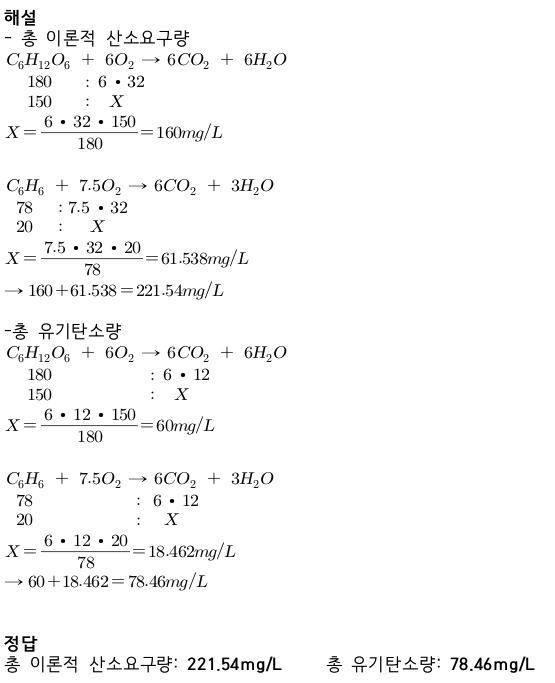
    글루코스 150mg/L와 벤젠 20mg/L 용액의 총 이론적 산소요구량(mg/L)과 총 유기탄소량(mg/L)을 구하시오.

    문제이미지

    19

    수질환경기사 필답 계산형(1~50)

    ☆☆☆

    혐기소화조에서 유기성분 70%, 무기성분 30%인 슬러지를 소화한 후 유기성분 60%, 무기성분 40%가 되었을 때 소화율(%)을 구하고, 투입 슬러지 초기 TOC농도 측정 결과 10,000mg/L이었다면 슬러지 1m3m^3당 발생하는 가스량(m3m^3)을 구하시오. (단, 슬러지 유기성분은 포도당인 탄수화물로 구성되어 있으며 표준상태 기준이다.)

    문제이미지

    20

    수질환경기사 필답 계산형(1~50)

    ☆☆☆☆

    표준상태에서 포도당 800mg/L 용액이 있다. 다음 물음에 답하시오.

    문제이미지
    문제이미지

    21

    수질환경기사 필답 계산형(1~50)

    ☆☆☆☆☆☆

    유출수에 아질산성 질소 15mg/L, 암모니아성 질소 50mg/L 함유되어 있을 때 완전 질산화에 소요되는 이론적 산소 요구량(mg/L)를 구하시오.

    문제이미지

    22

    수질환경기사 필답 계산형(1~50)

    ☆☆☆

    호기성 조건하에서 폐수의 암모니아를 질산염으로 산화시키려 한다. 다음 조건으로 물음에 대한 답변을 하시오.

    문제이미지
    문제이미지

    23

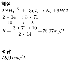
    수질환경기사 필답 계산형(1~50)

    파과점 염소 주입법을 이용해 NH3NNH_3^{-N} 10mg/L를 처리할 때 필요한 염소농도(mg/L)를 구하시오.

    문제이미지

    24

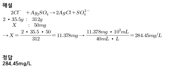
    수질환경기사 필답 계산형(1~50)

    측정시료 40mL에 포함된 염소이온을 황산은(Ag2SO4Ag_2SO_4)을 이용해 AgClAgCl형태로 침전 제거하고자 한다. 소모된 황산은의 양이 50mg일 때 시료 중 염소이온 농도(mg/L)를 구하시오.

    문제이미지

    25

    수질환경기사 필답 계산형(1~50)

    ☆☆☆☆

    어느 폐수 유량 300m3/dm^3/d, BOD 2,000mg/L이며 N과 P는 존재하지 않는다. 활성슬러지법으로 처리하기 위해 요구되는 황산암모늄과 인산의 소요량(kg/d)을 구하시오. (BOD : N : P = 100 : 5 : 1)

    문제이미지

    26

    수질환경기사 필답 계산형(1~50)

    오염물질을 응집침전을 이용해 처리할 때 발생하는 슬러지량(m3/dm^3/d)을 구하시오.

    문제이미지
    문제이미지

    27

    수질환경기사 필답 계산형(1~50)

    ☆☆☆☆

    다음 조건으로 인을 제거하기 위해 요구되는 액상 Alum 양(m3/dm^3/d)을 구하시오.

    문제이미지
    문제이미지

    28

    수질환경기사 필답 계산형(1~50)

    ☆☆

    알칼리염소법으로 CNCN^-농도 300mg/L, 폐수량 500m3/dm^3/d인 폐수를 처리하는 데 필요한 이론적 염소량(ton/d)을 구하시오.

    문제이미지

    29

    수질환경기사 필답 계산형(1~50)

    ☆☆☆☆☆

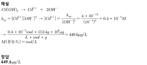
    카드뮴 함유 산성폐수에 알칼리를 가해 pH를 올리면 수산화카드뮴(Cd(OH)2Cd(OH)_2), 용해도곱(평형상수) 410144∙10^{-14}의 침전물이 형성된다. pH10일 때 침전처리 후 CdCd(원자량 112.4) 잔류이론량(µg/L)을 구하시오. 단, 재용해나 착염 영향은 없다.

    문제이미지

    30

    수질환경기사 필답 계산형(1~50)

    ☆☆☆☆☆☆

    HOCl과 OClOCl^-을 이용한 살균 소독공정에서 pH: 7, 온도: 20°C, 평형상수k: 2.21082.2∙10^{-8} 이라면 [HOCl]/[OClOCl^-] 비율을 구하시오.

    문제이미지

    31

    수질환경기사 필답 계산형(1~50)
    문제이미지
    문제이미지

    32

    수질환경기사 필답 계산형(1~50)

    ☆☆☆☆☆

    다음 조건으로 응집처리 시설에서 제거되는 고형물 양(kg/d)을 구하시오.

    문제이미지
    문제이미지

    33

    수질환경기사 필답 계산형(1~50)
    문제이미지
    문제이미지

    34

    수질환경기사 필답 계산형(1~50)

    ☆☆☆


    수중에 NH4+NH4^+NH3NH_3 가 평형 상태에 있을 때 pH10, 25℃에서 NH3NH_3 비율(%)을 구하시오.

    (단, 해리상수 kb :1.81051.8·10^{-5} , NH3+H2ONH_3 + H_2 ONH4+NH_4^+ + OHOH^- )

    문제이미지

    35

    수질환경기사 필답 계산형(1~50)
    문제이미지
    문제이미지

    36

    수질환경기사 필답 계산형(1~50)

    ☆☆☆

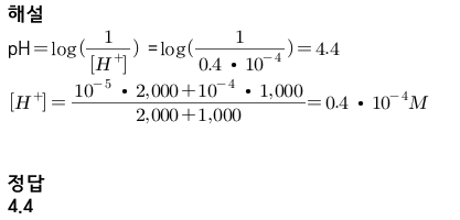
    pH3인 폐수를 배출하는 공장A와 pH9인 폐수를 배출하는 공장B의 폐수가 합쳐질 때 pH를 구하시오.(폐수 용량비는 A : B = 2 : 5)

    문제이미지

    37

    수질환경기사 필답 계산형(1~50)
    문제이미지
    문제이미지

    38

    수질환경기사 필답 계산형(1~50)
    문제이미지
    문제이미지

    39

    수질환경기사 필답 계산형(1~50)
    문제이미지
    문제이미지

    40

    수질환경기사 필답 계산형(1~50)
    문제이미지
    문제이미지

    41

    수질환경기사 필답 계산형(1~50)

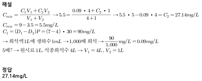
    ☆☆

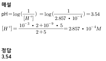
    폐수 BOD 측정을 위해 검수에 식종희석수를 넣어 5배로 희석하여 20℃ 부란기에 넣어 5일간 배양했다. 희석검수의 처음 DO는 9mg/L, 5일 뒤 DO는 3.5mg/L였다. 사용된 식종희석액은 희석액 1L에 대해 생 하수 1mL 비율로 가한 것이며 생하수를 별도로 30배 희석해 BOD 측정 결과 배양 전 DO 7mg/L, 배양 후 DO 4mg/L였다. 이 공장폐수 BOD(mg/L)를 구하시오

    문제이미지

    42

    수질환경기사 필답 계산형(1~50)

    ☆☆

    BOD 300mg/L, 유량 200L/s에 대한 폐수처리 계획 수립하려 할 때 물음에 답하시오.

    문제이미지
    문제이미지

    43

    수질환경기사 필답 계산형(1~50)
    문제이미지
    문제이미지

    44

    수질환경기사 필답 계산형(1~50)

    ☆☆

    다음 조건으로 농축시설의 물음에 대한 답변을 쓰시오.

    문제이미지
    문제이미지

    45

    수질환경기사 필답 계산형(1~50)

    ☆☆

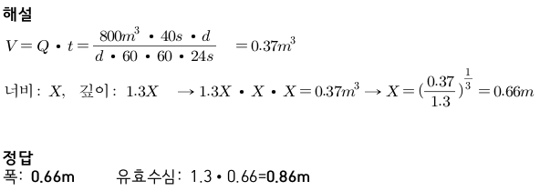
    다음 조건에서 침전지 소요직경(m)과 높이(m)를 구하시오.

    문제이미지
    문제이미지

    46

    수질환경기사 필답 계산형(1~50)

    다음 조건으로 필요한 침전지 개수(지)를 구하시오.

    문제이미지
    문제이미지

    47

    수질환경기사 필답 계산형(1~50)
    문제이미지
    문제이미지

    48

    수질환경기사 필답 계산형(1~50)
    문제이미지
    문제이미지

    49

    수질환경기사 필답 계산형(1~50)
    문제이미지
    문제이미지

    50

    수질환경기사 필답 계산형(1~50)
    문제이미지
    문제이미지