모두CBT | 국가고시 실기시험 부시기!

전기설비기술기준 2장 해설 페이지

전기설비기술기준 2장

    1

    전기설비기술기준 2장

    접지계통분류

    1)TN계통: 접지가 하나로 되어있음 (TN-S: N,PE가 개별, TS-C: PEN 결합)

    2)TT계통: 접지가 각각되어 있음

    3)IT계통: 접지에 임피던스 달려있음

    2

    전기설비기술기준 2장

    누전차단기 시설

    1)50v 초과하는 곳

    2)제외 시: (발전소,변전소,개폐소), (건조한 곳), (절연)

    3

    전기설비기술기준 2장

    퓨즈의 용단 특성

    16A↑~63A↓일때 60분 뒤 용단

    4

    전기설비기술기준 2장

    과부하 전류 보호

    문제이미지

    5

    전기설비기술기준 2장

    과부하 및 단락 보호장치 설치 위치

    과부하: 분기점에서 3m

    단락: 분기점에서 3m

    6

    전기설비기술기준 2장

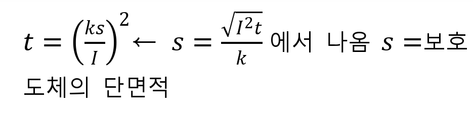
    절연체의 허용온도까지 도달하는 시간 t

    문제이미지

    7

    전기설비기술기준 2장

    전동기 과전류 보호장치 생략

    1)정격출력: 0.2kw↓

    2)취급자 감시

    3)과전류가 생길 우려x

    4)단상 전동기의 과전류 차단기 16A, (배선 차단기 20A)