모두CBT | 국가고시 실기시험 부시기!

3과목(기계기구 및 설비안전관리) 201 ~330 해설 페이지

3과목(기계기구 및 설비안전관리) 201 ~330

    1

    3과목(기계기구 및 설비안전관리) 201 ~330

    공장설비의 배치 계획에서 고려할 사항이 아닌 것은?


    설비 수리를 위한 공간은 확보해야 된다.

    2

    3과목(기계기구 및 설비안전관리) 201 ~330

    다음 중 공장설비의 고장원인 분석 방법으로 적당하지 않은 것은?


    ②: P-Q 분석도는 제품(P)와 생산량(Q)간 관계를 생산량이 많은 제품순으로 히스토그램을 작성하며 생산량에 따라 배치유형을 결정하는 것으로 고장에 대한 대책을 수립하진 않는다.

    3

    3과목(기계기구 및 설비안전관리) 201 ~330

    불순물이 포함된 물을 보일러 수로 사용하여 보일러의 관벽과 드럼 내면에 발생한 관석(Scale)으로 인한 영향이 아닌 것은?


    불완전 연소는 산소 부족 시 발생한다.

    4

    3과목(기계기구 및 설비안전관리) 201 ~330

    ☆☆

    보일러에서 과열이 발생하는 직접적인 원인과 가장 거리가 먼 것은?


    안전밸브와 과열과는 상관이 없다.

    5

    3과목(기계기구 및 설비안전관리) 201 ~330

    ☆☆

    보일러수 속에 유지(油脂)류, 용해 고형물, 부유물 등의 농도가 높아지면 드럼 수면에 안정한 거품이 발생하고, 또한 거품이 증가하여 드럼의 기실(氣室)에 전체로 확대되는 현상을 무엇이라 하는가?


    문제이미지

    6

    3과목(기계기구 및 설비안전관리) 201 ~330

    ☆☆☆☆☆

    보일러수 속에 불순물 농도가 높아지면서 수면에 거품이 형성되어 수위가 불안정하게 되는 현상은?


    문제이미지

    7

    3과목(기계기구 및 설비안전관리) 201 ~330

    다음 중 보일러의 증기관 내에서 수격작용(water hammering) 현상이 발생하는 가장 큰 원인은?


    캐리오버는 수격작용의 원인이다.

    8

    3과목(기계기구 및 설비안전관리) 201 ~330

    다음 중 보일러의 부식원인과 가장 거리가 먼 것은?


    보일러 부식원인

    -급수처리를 하지 않은 물을 사용할 때

    -급수에 해로운 불순물이 혼입되었을 때

    -불순물을 사용하여 수관이 부식되었을 때

    9

    3과목(기계기구 및 설비안전관리) 201 ~330

    일반연삭작업 등에 사용하는 것을 목적으로 하는 탁상용 연삭기의 덮개의 노출 각도로 옳은 것은?


    문제이미지

    10

    3과목(기계기구 및 설비안전관리) 201 ~330

    ☆☆☆☆☆

    산업안전보건법령상 연삭숫돌의 상부를 사용하는 것을 목적으로 하는 탁상용 연삭기 덮개의 노출각도는?


    문제이미지

    11

    3과목(기계기구 및 설비안전관리) 201 ~330

    휴대용 연삭기 덮개의 노출각도 기준은?


    문제이미지

    12

    3과목(기계기구 및 설비안전관리) 201 ~330

    다음 중 연삭기 덮개의 각도에 관한 설명으로 틀린 것은?


    ④: 125도 이내

    문제이미지

    13

    3과목(기계기구 및 설비안전관리) 201 ~330

    ☆☆

    방호장치의 안전기준상 평면연삭기 또는 절단연삭기에서 덮개의 노출각도 기준으로 옳은 것은?


    문제이미지

    14

    3과목(기계기구 및 설비안전관리) 201 ~330

    통로의 설치기준 중 ( )안에 공통적으로 들어갈 숫자로 옳은 것은?


    사업주는 통로면으로부터 높이 ( )m 이내에는 장애물이 없도록 하여야 한다. 다만, 부득이하게 통로면으로부터 높이 ( )m 이내에 장애물을 설치할 수밖에 없거나 통로면으로부터 높이 ( )m 이내의 장애물을 제거하는 것이 곤란하다고 고용노동부장관이 인정하는 경우에는 근로자에게 발생할 수 있는 부상 등의 위험을 방지하기 위한 안전 조치를 하여야 한다.

    사업주는 통로면으로부터 높이 2m 이내에는 장애물이 없도록 하여야 한다. 다만, 부득이하게 통로면으로부터 높이 2m 이내에 장애물을 설치할 수밖에 없거나 통로면으로부터 높이 2m 이내의 장애물을 제거하는 것이 곤란하다고 고용노동부장관이 인정하는 경우에는 근로자에게 발생할 수 있는 부상 등의 위험을 방지하기 위한 안전 조치를 하여야 한다.

    15

    3과목(기계기구 및 설비안전관리) 201 ~330

    개방 시 기계의 작동이 정지되는 구조의 구동부 방호 연동장치를 설치해야 되는 진공포장기의 부위로 옳지 않은 것은?

    진공포장기 및 랩핑기의 다음 각 호의 부위에는 개방 시 기계의 작동이 정지되는 구조의 구동부 방호 연동장치를 설치하여야 한다. 다만, 연동회로의 구성이 곤란한 부위에는 고정식 방호가드를 설치하여야 한다.

    1. 릴 풀림장치 등 구동부

    2. 열 봉합장치 등 고열발생 부위

    3. 포장 릴(릴 풀림장치 포함) 주변

    4. 자동 스플라이싱 장치 주변

    5. 포장재 절단용 칼날 주변

    16

    3과목(기계기구 및 설비안전관리) 201 ~330

    포장기계 구동부 방호 연동장치 설치기준으로 옳지 않은 것은?

    구동부 방호 연동장치는 다음 각 호의 요건에 적합하게 설치하여야 한다.

    1. 정해진 위치에 견고하게 고정될 것

    2. 공구를 사용하여야 해체할 수 있을 것

    3. 연동장치는 방호덮개 등을 닫은 후 자동

    으로 재기동되지 아니하고 별도의 조작에

    의해서만 기동될 것

    4. 구동부와 방호덮개 등의 연동장치가 상호간섭되지 않도록 충분한 안전거리를 확보할 것

    17

    3과목(기계기구 및 설비안전관리) 201 ~330

    ☆☆☆☆☆

    다음 중 기계설비에 의해 형성되는 위험점이 아닌 것은?


    문제이미지

    18

    3과목(기계기구 및 설비안전관리) 201 ~330

    기계설비기구의 위험점에서 고정부분과 회전부분이 만드는 위험점이 아니고 밀링커터, 둥근 톱날 등과 같이 회전하는 운동부 자체의 위험이나 운동하는 기계부분 자체의 위험에서 초래되는 위험점은?


    문제이미지

    19

    3과목(기계기구 및 설비안전관리) 201 ~330

    ☆☆☆☆☆☆

    연삭 숫돌과 작업받침대, 교반기의 날개, 하우스 등 기계의 회전 운동하는 부분과 고정부분 사이에 위험이 형성되는 위험점은?


    문제이미지

    20

    3과목(기계기구 및 설비안전관리) 201 ~330

    ☆☆☆

    프레스 작업 시 왕복 운동하는 부분과 고정 부분 사이에서 형성되는 위험점은?


    문제이미지

    21

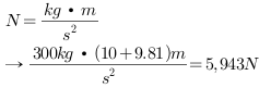
    3과목(기계기구 및 설비안전관리) 201 ~330

    다음 중 왕복운동을 하는 운동부와 고정부 사이에서 형성되는 위험점인 협착점(squeeze point)이 형성되는 기계로 가장 거리가 먼 것은?


    문제이미지

    22

    3과목(기계기구 및 설비안전관리) 201 ~330

    ☆☆

    체인과 스프로킷, 랙과 피니언, 풀리와 V벨트 등에 형성되는 위험점은?


    문제이미지

    23

    3과목(기계기구 및 설비안전관리) 201 ~330

    ☆☆

    2개의 회전체가 회전운동을 할 때에 물림점이 발생할 수 있는 조건은?


    물림점: 회전하는 두 개의 회전체가 맞닿아서 위험성이 있는 곳이며 회전체가 서로 반대방향으로 맞물려 회전되어야 한다.

    24

    3과목(기계기구 및 설비안전관리) 201 ~330

    기계설비의 회전운동으로 인한 위험을 유발하는 것이 아닌 것은?

    사업주는 기계의 원동기ㆍ회전축ㆍ기어ㆍ풀리ㆍ플라이휠ㆍ벨트 및 체인 등 근로자가 위험에 처할 우려가 있는 부위에 덮개ㆍ울ㆍ슬리브 및 건널다리 등을 설치하여야 한다.

    25

    3과목(기계기구 및 설비안전관리) 201 ~330

    ☆☆☆

    다음 중 산업안전보건법령에 따라 비파괴 검사를 실시해야 하는 고속회전체의 기준은?

    사업주는 고속회전체(회전축의 중량이 1톤을 초과하고 원주속도가 초당 120미터 이상인 것으로 한정한다)의 회전시험을 하는 경우 미리 회전축의 재질 및 형상 등에 상응하는 종류의 비파괴검사를 해서 결함 유무(有無)를 확인하여야 한다.

    26

    3과목(기계기구 및 설비안전관리) 201 ~330

    25m/s 초과 120m/s 미만의 속도로 회전하는 고속회전체에 적합한 방호 설비는?


    회전체에는 덮개가 필요하다.

    27

    3과목(기계기구 및 설비안전관리) 201 ~330

    ☆☆

    다음 중 취급운반의 5원칙으로 틀린 것은?


    취급운반 5원칙

    1. 직선 운반으로 할 것

    2. 연속 운반으로 할 것

    3. 극한까지 수 작업을 없애는 운반일 것

    4. 생산을 최고로 하는 운반을 생각할 것

    5. 운반 작업을 집중화시킬 것

    28

    3과목(기계기구 및 설비안전관리) 201 ~330

    다음 중 인력운반 작업시 안전수칙으로 적절하지 않은 것은?


    물건을 들어 올릴 때는 팔과 무릎을 사용하고 허리를 핀다.

    29

    3과목(기계기구 및 설비안전관리) 201 ~330

    중량물을 들어올리는 자세에 대한 설명 중 가장 적절한 것은?


    ①: 다리를 곧게 펴고 허리를 펴 들어올린다.

    ③: 무릎을 굽힌 자세에서 허리를 피고 들어올린다.

    ④: 다리를 벌린 상태에서 허리를 피고 서서히 들어올린다.

    30

    3과목(기계기구 및 설비안전관리) 201 ~330

    아세틸렌 용접장치의 안전기 사용 시 준수사항으로 틀린 것은?


    수봉식 안전기는 지면에 대하여 수직으로설치한다.

    31

    3과목(기계기구 및 설비안전관리) 201 ~330

    다음 중 현장에 안전밸브를 설치할 경우의 주의사항으로 틀린 것은?


    검사하기 쉬운 위치에 밸브축을 수직으로 설치한다.

    32

    3과목(기계기구 및 설비안전관리) 201 ~330

    ☆☆

    산업안전보건법령에 따라 압력용기에 설치하는 안전밸브의 설치 및 작동에 관한 설명으로 틀린 것은?

    안전밸브등이 안전밸브등을 통하여 보호하려는 설비의 최고사용압력 이하에서 작동되도록 하여야 한다.

    33

    3과목(기계기구 및 설비안전관리) 201 ~330

    ☆☆☆☆☆

    압력용기에서 안전밸브를 2개 설치한 경우 그 설치방법으로 옳은 것은?

    안전밸브등이 2개 이상 설치된 경우에 1개는 최고사용압력의 1.05배(외부화재를 대비한 경우에는 1.1배) 이하에서 작동되도록 설치할 수 있다.

    34

    3과목(기계기구 및 설비안전관리) 201 ~330

    산소-아세틸렌가스 용접에서 산소 용기의 취급 시 주의사항으로 틀린 것은?


    원활한 산소 공급을 위하여 산소 용기는 세워서 사용할 것

    35

    3과목(기계기구 및 설비안전관리) 201 ~330

    가스용접 작업의 안전수칙에 대한 설면 중 잘못된 것은?


    작업 후에는 산소 밸브를 먼저 닫고 아세틸렌 밸브를 닫을 것

    36

    3과목(기계기구 및 설비안전관리) 201 ~330

    가스용접용 용기를 보관하는 저장소의 온도는 몇℃ 이하로 유지해야 하는가?


    용기 온도를 섭씨 40도 이하로 유지할 것

    37

    3과목(기계기구 및 설비안전관리) 201 ~330

    가스용접용 산소 용기에 각인된 “TP50”에서 “TP”의 의미로 옳은 것은?

    -내압시험압력(기호: TP, 단위: Mpa) (액화석유가스용기 및 초저온용기는 제외)

    -최고충전압력(기호: FP, 단위: Mpa) (압축가스를 충전하는 용기 및 초저온용기에 한정)

    38

    3과목(기계기구 및 설비안전관리) 201 ~330

    아세틸렌은 특정 물질과 결합 시 폭발을 쉽게 일으킬 수 있는데 다음 중 이에 해당하지 않는 물질은?

    동(Cu, 구리), 은(Ag), 수은(Hg)등의 금속과 화합시 폭발성의 화합물인 금속 아세틸라이드를 생성한다. (화합폭발)

    39

    3과목(기계기구 및 설비안전관리) 201 ~330

    아세틸렌 용접 시 화재가 발생하였을 때 제일 먼저 해야 할 일은?


    아세틸렌 용접 시 화재가 발생하였을 때 즉시 메인밸브를 잠근다.

    40

    3과목(기계기구 및 설비안전관리) 201 ~330

    아세틸렌 용접장치를 사용하여 금속의 용접⋅용단 또는 가열작업을 하는 경우 게이지 압력으로 얼마를 초과하는 압력의 아세틸렌을 발생시켜 사용해서는 아니 되는가?

    사업주는 아세틸렌 용접장치를 사용하여 금속의 용접ㆍ용단 또는 가열작업을 하는 경우에는 게이지 압력이 127킬로파스칼을 초과하는 압력의 아세틸렌을 발생시켜 사용해서는 아니 된다.

    41

    3과목(기계기구 및 설비안전관리) 201 ~330

    아세틸렌 용접장치를 사용하여 금속의 용접, 용단 또는 가열 작업 시 아세틸렌의 게이지 압력은 얼마를 초과하여 사용해서는 안되는가?


    1kPa=0.0102kg/cm2→127kPa=1.3kg/cm2

    42

    3과목(기계기구 및 설비안전관리) 201 ~330

    ☆☆

    아세틸렌 용접장치의 발생기실을 옥외에 설치하는 경우에는 그 개구부는 다른 건축물로부터 몇m 이상 떨어져야 하는가?


    발생기실을 옥외에 설치한 경우에는 그 개구부를 다른 건축물로부터 1.5미터 이상 떨어지도록 하여야 한다.

    43

    3과목(기계기구 및 설비안전관리) 201 ~330

    ☆☆

    산업안전보건법령에 따라 아세틸렌 발생기실에 설치해야 할 배기통은 얼마 이상의 단면적을 가져야 하는가?


    바닥면적의 16분의 1 이상의 단면적을 가진 배기통을 옥상으로 돌출시키고 그 개구부를 창이나 출입구로부터 1.5미터 이상 떨어지도록 할 것

    44

    3과목(기계기구 및 설비안전관리) 201 ~330

    아세틸렌 용접장치에서 아세틸렌 발생기실 설치 위치 기준으로 옳은 것은?

    사업주는 아세틸렌 용접장치의 아세틸렌 발생기(이하 “발생기”라 한다)를 설치하는 경우에는 전용의 발생기실에 설치하여야 한다.

    1. 발생기실은 건물의 최상층에 위치하여야 하며, 화기를 사용하는 설비로부터 3미터를 초과하는 장소에 설치하여야 한다.

    2. 발생기실을 옥외에 설치한 경우에는 그 개구부를 다른 건축물로부터 1.5미터 이상 떨어지도록 하여야 한다.

    45

    3과목(기계기구 및 설비안전관리) 201 ~330

    ☆☆☆

    다음 중 산업안전보건법령에 따른 아세틸렌 용접장치에 관한 설명으로 옳은 것은?

    ②: 발생기실은 건물의 최상층에 위치하여야 하며, 화기를 사용하는 설비로부터 3미터를 초과하는 장소에 설치하여야 한다.

    ③: 발생기실은 건물의 최상층에 위치하여야 하며, 화기를 사용하는 설비로부터 3미터를 초과하는 장소에 설치하여야 한다.

    ④: 사업주는 아세틸렌 용접장치를 사용하여 금속의 용접ㆍ용단 또는 가열작업을 하는 경우에는 게이지 압력이 127킬로파스칼을 초과하는 압력의 아세틸렌을 발생시켜 사용해서는 아니 된다.

    46

    3과목(기계기구 및 설비안전관리) 201 ~330

    ☆☆

    아세틸렌 용접장치에 대하여 취관마다 설치하여야 하는 것은?

    (단, 주관 및 취관에 근접한 분기관마다 이것을 부착한 때는 부착하지 않아도 된다.)


    사업주는 아세틸렌 용접장치의 취관마다 안전기를 설치하여야 한다. 다만, 주관 및 취관에 가장 가까운 분기관(分岐管)마다 안전기를 부착한 경우에는 그러하지 아니하다.

    47

    3과목(기계기구 및 설비안전관리) 201 ~330

    아세틸렌 용접장치의 안전기준과 관련하여 다음 빈칸에 들어갈 용어로 옳은 것은?


    사업주는 가스용기가 발생기와 분리되어 있는 아세틸렌 용접장치에 대하여 발생기와 가스용기 사이에 ( )를 설치해야 한다.


    사업주는 가스용기가 발생기와 분리되어 있는 아세틸렌 용접장치에 대하여 발생기와 가스용기 사이에 안전기를 설치하여야 한다.

    48

    3과목(기계기구 및 설비안전관리) 201 ~330

    아세틸렌 용접시 역화를 방지하기 위하여 설치하는 것은?


    아세틸렌 용접시 역화를 방지하기 위하여 안전기를 설치한다.

    49

    3과목(기계기구 및 설비안전관리) 201 ~330

    가스집합 용접장치에서 가스장치실에 대한 안전조치로 틀린 것은?

    천장과 지붕에는 얇은 철판이나 가벼운 불연성 재료를 사용할 것

    50

    3과목(기계기구 및 설비안전관리) 201 ~330

    산업안전보건법령상 가스집합장치로부터 얼마 이내의 장소에서는 흡연, 화기의 사용 또는 불꽃을 발생할 우려가 있는 행위를 금지하여야 하는가?

    가스집합장치로부터 5미터 이내의 장소에서는 흡연, 화기의 사용 또는 불꽃을 발생할 우려가 있는 행위를 금지할 것

    51

    3과목(기계기구 및 설비안전관리) 201 ~330

    ☆☆

    가스용접작업 시 충전가스 용기 색깔 중에서 틀린 것은?


    문제이미지

    52

    3과목(기계기구 및 설비안전관리) 201 ~330

    산소-아세틸렌 가스용접장치에 사용되는 호스 색깔 중 [산소호스: 아세틸렌 호스] 색이 바르게 짝지어진 것은?


    가스용접장치 호스 색상

    산소: 흑색, 아세틸렌: 적색

    53

    3과목(기계기구 및 설비안전관리) 201 ~330

    다음 중 외형의 안전화를 위한 대상기계ㆍ기구ㆍ장치별 색채의 연결이 잘못된 것은?


    문제이미지

    54

    3과목(기계기구 및 설비안전관리) 201 ~330

    용접 팁의 청소는 무엇으로 해야 좋은가?


    용접 팁의 청소는 팁 클리너로 한다.

    55

    3과목(기계기구 및 설비안전관리) 201 ~330

    절연봉 성능기준상 일반구조로 옳은 것은?

    1. 절연봉 등의 직경은 규정된 허용 한계값 이내이어야 한다.

    2. 주어진 구간에서 두 직경사이의 차이는 1 mm 이내이어야 한다.

    3. 절연봉 등의 색상은 주문자에 의해 규정되어야 한다. 4. 절연관의 내부 폼은 절연관의 벽에 접착 되어야 하며, 폼 및 접착제는 다음의 시험 중에 부분적으로 손상되는 것 이외의 그 어떠한 열화도 있어서는 안 된다.

    56

    3과목(기계기구 및 설비안전관리) 201 ~330

    교류아크 용접에서 지동시간이란?

    -"시동시간"이란 용접봉을 피용접물에 접촉시켜서 전격방지기의 주접점이 폐로될(닫힐)때까지의 시간을 말한다.

    -"지동시간"이란 용접봉 홀더에 용접기 출력 측의 무부하전압이 발생한 후 주접점이 개 방될 때까지의 시간을 말한다.

    -"표준시동감도"란 정격전원전압(전원을 용접기의 출력측에서 취하는 경우는 무부하전압의 하한값을 포함한다)에 있어서 전격방지기를 시동시킬 수 있는 출력회로의 시동감도로서 명판에 표시된 것을 말한다.

    57

    3과목(기계기구 및 설비안전관리) 201 ~330

    전격방지기 정격주파수에 대해 옳지 않은 것은?

    정격주파수는 다음 각 목과 같이 한다.

    가. 용접기에 적용되는 것에 대해서는 60헤 르쯔(㎐)로 한다.

    나. SP-E형으로 보조전원을 사용하는 것에 대해서는 그 보조전원의 공칭주파수 또는 정격주파수로 한다.

    다. 전격방지기가 특정의 주파수에 한정되지 않고 넓은 주파수의 범위로 상용할 수 있는 것에 대해서는 적용 가능한 주파수 범위를 정하고 명판에 표시해야 한다.

    58

    3과목(기계기구 및 설비안전관리) 201 ~330

    ☆☆

    피복 아크 용접 작업 시 생기는 결함에 대한 설명 중 틀린 것은?


    크레이터(crater): 비트 끝부분이 오목하게 패인 부분

    59

    3과목(기계기구 및 설비안전관리) 201 ~330

    가스 용접 작업을 위한 압력조정기 및 토치의 취급방법으로 틀린 것은?


    압력 조정 시 반드시 압력 조정핸들은 서서히 돌린다.

    60

    3과목(기계기구 및 설비안전관리) 201 ~330

    ☆☆☆☆

    가스 용접에서 역화의 원인으로 볼 수 없는 것은?

    역화의 원인

    -산소의 공급 과다

    -토치 성능의 부실

    -압력조절기의 고장

    -토치 팁에 이물질이 묻은 경우

    61

    3과목(기계기구 및 설비안전관리) 201 ~330

    다음 중 아세틸렌 용접장치에서 역화의 발생 원인과 가장 관계가 먼 것은?

    역화의 원인

    -산소의 공급 과다

    -토치 성능의 부실

    -압력조절기의 고장

    -토치 팁에 이물질이 묻은 경우

    62

    3과목(기계기구 및 설비안전관리) 201 ~330

    보일러의 역화(Back Fire) 발생원인이 아닌것은?


    보일러 역화 원인

    -압입통풍이 너무 강할 경우

    -댐퍼를 너무 조여 흡입통풍 부족할 경우

    -연료밸브를 급히 열었을 경우

    -점화시 착화 지연될 경우

    -연소실 내부 충분히 환기시키지 않아 미연소 가스 남았을 경우

    63

    3과목(기계기구 및 설비안전관리) 201 ~330

    역화방지기 가스압력손실시험 기준이다, 빈칸에 알맞은 내용은?


    가스압력손실은 유량이 분당 A리터일 때는 8.82킬로파스칼 이하, 유량이 분당 B리터일 때는 19.60킬로파스칼 이하여야 한다.

    가스압력손실은 유량이 분당 13리터일 때는 8.82킬로파스칼(㎪) 이하, 유량이 분당 30리터일 때는 19.60킬로파스칼 이하여야 한다.

    64

    3과목(기계기구 및 설비안전관리) 201 ~330

    산업안전보건법령상 차량계 하역 운반기계를이용한 화물 적재 시의 준수해야 할 사항으로 틀린 것은?


    그냥 최대적재량을 초과하지 않도록 적재한다.

    65

    3과목(기계기구 및 설비안전관리) 201 ~330

    화물취급작업 중 화물 적재 시 준수해야 하는 사항에 속하지 않는 것은?


    중량의 화물은 건물의 칸막이나 벽에 기대어 적재하지 말 것

    66

    3과목(기계기구 및 설비안전관리) 201 ~330

    ☆☆☆☆

    다음 중 기계 고장률의 기본 모형이 아닌 것은?


    문제이미지

    67

    3과목(기계기구 및 설비안전관리) 201 ~330

    기계고장률의 기본 모형 중 우발고장에 관한 사항으로 옳은 것은?


    문제이미지

    68

    3과목(기계기구 및 설비안전관리) 201 ~330

    기계설비의 수명곡선에서 고장의 유형에 관한 설명으로 틀린 것은?


    문제이미지

    69

    3과목(기계기구 및 설비안전관리) 201 ~330

    ☆☆

    반복하중을 받는 기계 구조물 설계 시 우선 고려해야 할 설계 인자는?


    문제이미지

    70

    3과목(기계기구 및 설비안전관리) 201 ~330

    한계하중 이하의 하중이라도 고온조건에서 일정 하중을 지속적으로 가하며 시간의 경과에 따라 변형이 증가하고 결국은 파괴에 이르게 되는 현상을 무엇이라 하는가?


    문제이미지

    71

    3과목(기계기구 및 설비안전관리) 201 ~330

    ☆☆

    구멍이 있거나 노치(notch)등이 있는 재료에 외력이 작용할 때 가장 현저하게 나타나는 현상은?


    문제이미지

    72

    3과목(기계기구 및 설비안전관리) 201 ~330

    기계를 구성하는 요소에서 피로현상은 안전과 밀접한 관련이 있다. 다음 중 기계요소의 피로파괴현상과 가장 관련이 적은 것은?


    피로파괴 영향인자

    노치/부식/치수효과/표면효과

    73

    3과목(기계기구 및 설비안전관리) 201 ~330

    훅의 법칙을 바르게 설명한 항은?

    탄성한도내에서 응력과 변형률 관계를 설명한 법칙

    74

    3과목(기계기구 및 설비안전관리) 201 ~330

    ☆☆

    기계요소에 의해서 사람이 어떻게 상해를 입느냐에 대한 5가지 요소(사고 체인의 5요소)에 해당하지 않는 것은?


    문제이미지

    75

    3과목(기계기구 및 설비안전관리) 201 ~330

    소성가공의 종류가 아닌 것은?


    문제이미지

    76

    3과목(기계기구 및 설비안전관리) 201 ~330

    가공물 또는 공구를 회전시켜 나사나 기어 등을 소성가공하는 방법은?


    문제이미지

    77

    3과목(기계기구 및 설비안전관리) 201 ~330

    ☆☆

    그림과 같이 2줄의 와이어로프로 중량물을 달아 올릴 때, 로프에 가장 힘이 적게 걸리는 각도는?

    문제이미지


    각도가 작을수록 힘이 적게 걸리며 보기에선 30이 제일 작으니 30도이다.

    78

    3과목(기계기구 및 설비안전관리) 201 ~330

    ☆☆☆

    지게차의 헤드가드가 갖추어야 할 조건에 대한 설명으로 틀린 것은?


    상부틀의 각 개구의 폭 또는 길이가 16센티미터 미만일 것

    79

    3과목(기계기구 및 설비안전관리) 201 ~330

    지게차의 헤드가드 상부틀에 있어서 각 개구부의 폭 또는 길이의 크기는?


    상부틀의 각 개구의 폭 또는 길이가 16센티미터 미만일 것

    80

    3과목(기계기구 및 설비안전관리) 201 ~330

    ☆☆

    운전자가 서서 조작하는 방식의 지게차의 경우 운전석의 바닥면에서 헤드가드의 상부틀의 하면까지의 높이가 몇m 이상이 되어야 하는가?

    운전자가 앉아서 조작하거나 서서 조작하는 지게차의 헤드가드는 한국산업표준(좌승식:좌석 기준점으로부터 0.903m 이상, 입승식: 조종사가 서 있는 플랫폼으로부터 1.905m 이상)에서 정하는 높이 기준 이상일 것

    81

    3과목(기계기구 및 설비안전관리) 201 ~330

    다음은 지게차의 헤드가드에 관한 기준이다. ( )안에 들어갈 내용으로 옳은 것은?


    지게차 사용 시 화물 낙하 위험 방호조치사항으로 헤드가드를 낮추어야 한다.

    강도는 지게차의 최대하중의 ( ) 값(4톤을 넘는 값에 대해서는 4톤으로 한다)의 등분포정하중에 견딜 수 있을 것


    강도는 지게차의 최대하중의 2배 값(4톤을 넘는 값에 대해서는 4톤으로 한다)의 등분포정하중에 견딜 수 있을 것

    82

    3과목(기계기구 및 설비안전관리) 201 ~330

    지게차의 안정도 기준으로 틀린 것은?


    기준부하상태에서 주행 시의 전후 안정도는 18% 이내이다.

    83

    3과목(기계기구 및 설비안전관리) 201 ~330

    그림과 같은 지게차가 안정적으로 작업할 수 있는 상태의 조건으로 적합한 것은?

    문제이미지


    화물의 모멘트가 차의 모멘트보다 작거나 같아야 한다. 즉, M1 ≦ M2이다.

    84

    3과목(기계기구 및 설비안전관리) 201 ~330

    ☆☆

    화물적재 시 지게차의 안정조건을 옳게 나타낸 것은?

    (단, W는 화물의 중량, Lw는 앞바퀴에서 화물중심까지의 최단거리, G는 지게차의 중량, Lg는 앞바퀴에서 지게차 중심까지의 최단거리이다.)


    G×Lg ≧ W×Lw

    W: 화물 중량

    G: 지게차 중량

    Lw: 앞바퀴에서 화물중심까지의 최단거리

    Lg: 앞바퀴에서 지게차 중심까지의 최단거리

    85

    3과목(기계기구 및 설비안전관리) 201 ~330

    지게차의 작업과정에서 작업 대상물의 팔레트 폭이 b라고 할 때 적절한 포크 간격은?

    (단, 포크의 중심과 팔레트의 중심은 일치한다고 가정한다.)

    코샤가이드/M-185-2015

    포크의 간격은 적재상태 팔레트 폭(b)의 1/2이상, 3/4이하 정도 간격을 유지한다.

    86

    3과목(기계기구 및 설비안전관리) 201 ~330

    다음 중 와이어로프 구성기호 “6×19"의 표기에서 "6"의 의미에 해당하는 것은?

    와이어로프 호칭

    꼬임 수량(strand수)×소선 수량(wire수)

    87

    3과목(기계기구 및 설비안전관리) 201 ~330

    이동식크레인과 관련된 용어의 설명 중 옳지 않은 것은?

    파단하중: 파단시험에서 시험편이 파단될 때 까지의 최대하중

    88

    3과목(기계기구 및 설비안전관리) 201 ~330

    다음 중 정하중이 작용할 때 기계의 안전을 위해 일반적으로 안전율이 가장 크게 요구되는 재질은?


    벽돌: 20 주철: 4 구리: 5 목재: 7

    89

    3과목(기계기구 및 설비안전관리) 201 ~330

    파이프서포트의 최대사용길이에서 압축강도기준은?

    파이프서포트의 최대사용길이에서 압축강도는 40,000N 이상이어야 한다.

    90

    3과목(기계기구 및 설비안전관리) 201 ~330

    보일러의 안전밸브가 보일러의 사용 최고 증기압력 초과 시 배출시키는 증기압()을 구하는 공식은? [단, f:밸브의 증기 분출구의 단면적(), V:증기의 용적(), P:증기압력()]


    문제이미지

    91

    3과목(기계기구 및 설비안전관리) 201 ~330

    숫돌의 지름이 D(mm), 회전수 N(rpm)이라 할 경우 숫돌의 원주속도 V(m/min)를 구하는 식으로 옳은 것은?


    문제이미지

    92

    3과목(기계기구 및 설비안전관리) 201 ~330

    ☆☆

    연삭기의 원주 속도 V(m/s)를 구하는 식은?

    (단, d는 숫돌의 지름(m), n은 회전수(rpm) 이다.)


    문제이미지

    93

    3과목(기계기구 및 설비안전관리) 201 ~330

    프레스 양수조작식 안전거리(D) 계산식으로 적합한 것은?

    (단, TL는 누름버턴에서 손을 떼는 순간부터 급정지기구가 작동개시하기까지의 시간, TS는 급정지기구 작동을 개시할 때부터 슬라이드가 정지할 때까지의 시간이다.)


    문제이미지

    94

    3과목(기계기구 및 설비안전관리) 201 ~330

    ☆☆☆☆

    근로자가 탑승하는 운반구를 지지하는 달기체인의 안전계수는 몇 이상이어야 하는가?

    1. 근로자가 탑승하는 운반구를 지지하는 달기와이어로프 또는 달기체인의 경우: 10 이상

    2. 화물의 하중을 직접 지지하는 달기와이어 로프 또는 달기체인의 경우: 5 이상

    3. 훅, 샤클, 클램프, 리프팅 빔의 경우: 3 이상

    4. 그 밖의 경우: 4 이상

    95

    3과목(기계기구 및 설비안전관리) 201 ~330

    ☆☆☆

    기계장치의 안전설계를 위해 적용하는 안전율 계산식은?


    문제이미지

    96

    3과목(기계기구 및 설비안전관리) 201 ~330

    ☆☆

    기초강도를 사용조건 및 하중의 종류에 따라 극한강도, 항복점, 크리프강도, 피로한도 등으로 적용할 때 허용응력과 안전율(>1)의 관계를 올바르게 표현한 것은?


    문제이미지

    97

    3과목(기계기구 및 설비안전관리) 201 ~330

    와이어로프에서 소선 하나의 파단강도는 P, 와이어로프 가닥수는 N, 안전계수는 S일 때, 이 와이어로프의 최대안전하중 Q는?


    문제이미지

    98

    3과목(기계기구 및 설비안전관리) 201 ~330

    ☆☆☆

    다음과 같은 작업조건일 경우 와이어로프의 안전율은?


    작업대에서 사용된 와이어로프 1줄의 파단하중이 100kN, 인양하중이 40kN, 로프 줄 수가 2줄이다.


    문제이미지

    99

    3과목(기계기구 및 설비안전관리) 201 ~330

    그림과 같이 2줄 걸이 인양작업에서 와이어로프 1줄의 파단하중이 10,000N, 인양화물의 무게가 2,000N이라면 이 작업에서 확보된 안전율은?

    문제이미지


    문제이미지

    100

    3과목(기계기구 및 설비안전관리) 201 ~330

    4.2ton의 화물을 그림과 같이 60°의 각을 갖는 와이어로프로 매달아 올릴 때 와이어로프 A에 걸리는 장력 W1은 약 얼마인가?

    문제이미지


    문제이미지

    101

    3과목(기계기구 및 설비안전관리) 201 ~330

    다음과 같이 2개의 슬링 와이어로프로 무게 1,000N의 화물을 인양하고 있다. 로프 TAB에 발생하는 장력의 크기는 얼마인가?

    문제이미지


    문제이미지

    102

    3과목(기계기구 및 설비안전관리) 201 ~330

    ☆☆☆☆☆

    산업안전보건법령상 양중기에서 절단하중이 100톤인 와이어로프를 사용하여 화물을 직접적으로 지지하는 경우, 화물의 최대허용하중(톤)은?


    문제이미지

    103

    3과목(기계기구 및 설비안전관리) 201 ~330

    ☆☆

    산업안전보건법령에 따라 양중기에서 절단하중이 100톤인 와이어로프를 사용하여 근로자가 탑승하는 운반구를 지지하는 경우, 달기와이어로프에 걸 수 있는 최대 사용하중은 얼마인가?


    문제이미지

    104

    3과목(기계기구 및 설비안전관리) 201 ~330

    연강의 인장강도가 420MPa이고, 허용응력이 140MPa 이라면, 인장률은?


    문제이미지

    105

    3과목(기계기구 및 설비안전관리) 201 ~330

    극한강도가 100MPa이고, 최대설계응력 10MPa이면 안전율은?


    문제이미지

    106

    3과목(기계기구 및 설비안전관리) 201 ~330

    어떤 부재의 사용하중은 200kgf이고, 이의 파괴하중은 400kgf이다. 정격하중을 100kgf로 가정하고 설계한다면 안전율은 얼마인가?


    문제이미지

    107

    3과목(기계기구 및 설비안전관리) 201 ~330

    ☆☆

    안전계수 5인 로프의 절단하중이 4,000N 이라면 이 로프는 몇N 이하의 하중을 매달아야 하는가?


    문제이미지

    108

    3과목(기계기구 및 설비안전관리) 201 ~330

    ☆☆☆

    크레인 작업 시 300kg의 질량을 10m/s2의 가속도로 감아올릴 때 로프에 걸리는 총 하중은 약 몇 N인가?

     (단, 중력가속도는 9.81m/s2로 한다.)


    문제이미지

    109

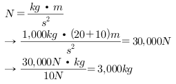
    3과목(기계기구 및 설비안전관리) 201 ~330

    크레인 작업 시 로프에 1톤의 중량을 걸어 20m/s2의 가속도로 감아올릴 때, 로프에 걸리는 총 하중(kgf)은 약 얼마인가?

    (단, 중력가속도는 10m/s2이다.)


    문제이미지

    110

    3과목(기계기구 및 설비안전관리) 201 ~330

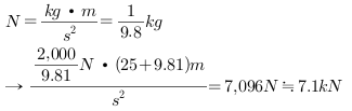
    크레인 작업 시 2,000N의 화물을 걸어 25m/s2 가속도로 감아올릴 때 로프에 걸리는 총 하중은 몇kN인가?

    (단, 중력 가속도는 9.81m/s2이다.)


    문제이미지

    111

    3과목(기계기구 및 설비안전관리) 201 ~330

    ☆☆

    완전 회전식 클러치 기구가 있는 양수조작식 방호장치에서 확동클러치의 봉합개소가 4개, 분당 행정수가 200spm일 때, 방호장치의 최소 안전거리는 몇mm 이상이어야 하는가?


    문제이미지

    112

    3과목(기계기구 및 설비안전관리) 201 ~330

    ☆☆☆

    클러치 프레스에 부착된 양수조작식 방호장치에 있어서 클러치 맞물림 개소수가 4군데, 매분 행정수가 300SPM일 때 양수조작식 조작부의 최소 안전거리는?

     (단, 인간 손의 기준 속도는 1.6m/s로 한다.)


    문제이미지

    113

    3과목(기계기구 및 설비안전관리) 201 ~330

    양수조작식 방호장치의 누름버튼에서 손을 떼는 순간부터 급정지기구가 작동하여 슬라이드가 정지할 때까지의 시간이 0.2초 걸린다면, 양수조작식 방호장치의 안전거리는 최소한 몇mm 이상이어야 하는가?


    문제이미지

    114

    3과목(기계기구 및 설비안전관리) 201 ~330

    ☆☆☆☆☆☆☆

    프레스기가 작동 후 작업점까지의 도달시간이 0.2초 걸렸다면, 양수기동식 방호장치의 설치거리는 최소 얼마인가?


    문제이미지

    115

    3과목(기계기구 및 설비안전관리) 201 ~330

    작업자의 신체움직임을 감지하여 프레스의 작동을 급정지시키는 광전자식 안전장치를 부착한 프레스가 있다. 안전거리가 32cm라면 급정지에 소요되는 시간은 최대 몇 초 이내일 때 안전한가?

    (단, 급정지에 소요되는 시간은 손이 광선을 차단한 순간부터 급정지 기구가 작동하여 슬라이드가 정지할 때 까지의 시간을 의미한다.)


    문제이미지

    116

    3과목(기계기구 및 설비안전관리) 201 ~330

    ☆☆☆☆

    광전자식 방호장치가 설치된 프레스에서 손이 광선을 차단했을 때부터 급정지기구가 작동을 개시할 때까지의 시간은 0.3초, 급정지기구가 작동을 개시했을 때부터 슬라이드가 정지할 때까지의 시간이 0.4초 걸린다고 할 때 최소 안전거리는 약 몇mm인가?


    문제이미지

    117

    3과목(기계기구 및 설비안전관리) 201 ~330

    드릴링 머신의 드릴지름이 10mm이고, 드릴 회전수가 1,000rpm일 때 원주속도는 약 몇 m/min인가?


    문제이미지

    118

    3과목(기계기구 및 설비안전관리) 201 ~330

    ☆☆☆☆☆☆☆

    500rpm으로 회전하는 연삭기의 숫돌지름이 200mm일 때 원주속도(m/min)는?


    문제이미지

    119

    3과목(기계기구 및 설비안전관리) 201 ~330

    ☆☆☆☆☆

    롤러기에서 앞면 롤러의 지름이 200mm, 회전속도가 30rpm인 롤러의 무부하 동작에서의 급정지거리로 옳은 것은?


    문제이미지

    120

    3과목(기계기구 및 설비안전관리) 201 ~330

    개구부에서 회전하는 롤러의 위험점까지 최단거리가 60mm일 때 개구부 간격은?


    문제이미지

    121

    3과목(기계기구 및 설비안전관리) 201 ~330

    동력전달부분의 전방 50cm 위치에 설치한 일방 평행 보호망에서 가드용 재료의 최대 구멍크기는 얼마인가?


    문제이미지

    122

    3과목(기계기구 및 설비안전관리) 201 ~330

    ☆☆☆

    롤러의 맞물림점 전방에 개구부 간격 30mm의 가드를 설치하고자 한다. 개구면에서 위험점까지의 최단거리(mm)는 얼마인가?

    (단, ILO기준에 의해 계산한다.)


    문제이미지

    123

    3과목(기계기구 및 설비안전관리) 201 ~330

    ☆☆☆☆☆☆☆☆

    연삭기에서 숫돌의 바깥지름이 180mm라면, 평형 플랜지의 바깥지름은 몇 mm 이상이어야 하는가?


    평형플랜지 지름은 숫돌 직경의 1/3 이상이어야 됨.

    → 180/3=60mm

    124

    3과목(기계기구 및 설비안전관리) 201 ~330

    탁상용 연삭기의 평형 플랜지 바깥지름이 150mm일 때, 숫돌의 바깥지름은 몇mm 이내이어야 하는가?


    평형플랜지 지름은 숫돌 직경의 1/3 이상이어야 됨.

    → 150∙3=450mm

    125

    3과목(기계기구 및 설비안전관리) 201 ~330

    ☆☆

    목재가공용 둥근톱의 두께가 3mm일 때, 분할날의 두께는 몇mm 이상이어야 하는가?


    분할날 두께는 둥근 톱 두께의 1.1배 이상이고, 치진폭보다는 작아야 된다

    → 3∙1.1mm ≦ t → 3.3mm ≦ t

    126

    3과목(기계기구 및 설비안전관리) 201 ~330

    원통형 연삭기의 방호장치를 그림과 같이 설치할 때 각도 a와 간격 b로 가장 옳은 것은?

    문제이미지


    문제이미지

    127

    3과목(기계기구 및 설비안전관리) 201 ~330

    ☆☆☆☆☆☆

    지게차가 무부하 상태로 구내 최고속도 25km/h로 주행 시 좌우안정도는 몇% 이내인가?


    주행 시 좌우안정도=15+1.1V=15+1.1∙25

    =42.5%

    128

    3과목(기계기구 및 설비안전관리) 201 ~330

    원래 길이가 150mm인 슬링체인을 점검한 결과 길이에 변형이 발생하였다. 다음 중 폐기대상에 해당되는 측정값(길이)으로 옳은 것은?

    달기체인 사용금지 기준

    달기 체인의 길이가 달기 체인이 제조된 때의 길이의 5%를 초과한 것

    ①: (151.5-150)/150∙100=1%, 사용가능

    ②: (153.5-150)/150∙100=2.33%,사용가능

    ③: (155.5-150)/150∙100=3.67%,사용가능

    ④: (158.5-150)/150∙100=5.67%,사용불가

    129

    3과목(기계기구 및 설비안전관리) 201 ~330

    2줄 나사의 피치가 0.75mm일 때 이 나사의 리드(lead)는 얼마인가?

    1줄 나사 리드=피치2줄 나사 리드=2∙피치=2∙0.75=1.5mm리드: 1회전 시 이동거리피치: 나사산과 나사산 거리

    130

    3과목(기계기구 및 설비안전관리) 201 ~330

    롤러기 내전압시험기준이다. 가하여야 할 최저 전압(V)를 구하면?(정상상태에서 시료 회로에 걸리는 최고전압: 200V)

    내전압시험은 상용주파수의 정현파에 가까운 파형으로 다음 산식에서 구한 전압을 각 충전부분과 외함사이에서 1분간 가한다.2E+1,000V(다만, 최저 1,500V로 한다.)E: 정상상태서 시료회로에 걸리는 최고전압→ 2∙200+1,000=1,400V허나 최저 1,500V이므로 답은 1,500V