모두CBT | 국가고시 실기시험 부시기!

1과목(산업재해 예방 및 안전보건교육) 301 ~ 389 해설 페이지

1과목(산업재해 예방 및 안전보건교육) 301 ~ 389

    1

    1과목(산업재해 예방 및 안전보건교육) 301 ~ 389

    안전교육 3단계 중 2단계인 기능교육의 효과를 높이기 위해 가장 바람직한 교육방법은?

    시범식 교육

    -어떤 기능이나 작업과정을 학습시키기 위해 필요로 하는 분명한 동작을 제시하는 교육방법

    -기능교육의 효과를 높이기 위해 가장 바람직한 교육방법

    2

    1과목(산업재해 예방 및 안전보건교육) 301 ~ 389

    교육의 효과를 높이기 위하여 시청각 교재를 최대한으로 활용하는 시청각적 방법의 필요 성이 아닌 것은?

    개인차를 최대한으로 고려하기 힘들다.

    3

    1과목(산업재해 예방 및 안전보건교육) 301 ~ 389

    다음 중 위험예지훈련 4라운드의 순서가 올바르게 나열된 것은?

    위험예지훈련 4라운드

    현상파악 → 본질추구 → 대책수립 → 목표설정

    4

    1과목(산업재해 예방 및 안전보건교육) 301 ~ 389

    ☆☆

    위험예지훈련 4R(라운드)의 진행방법에서 3R(라운드)에 해당하는 것은?

    현상파악 → 본질추구 → 대책수립 → 목표설정

    5

    1과목(산업재해 예방 및 안전보건교육) 301 ~ 389

    ☆☆

    위험예지훈련 4라운드 기법의 진행방법에 있어 문제점 발견 및 중요 문제를 결정하는 단계는?

    본질추구에 대한 설명이다.

    6

    1과목(산업재해 예방 및 안전보건교육) 301 ~ 389

    ☆☆

    위험예지훈련 기초 4라운드법의 진행에서 전원이 토의를 통하여 위험요인을 발견하는 단계로 가장 적절한 것은?

    현상파악에 대한 설명이다.

    7

    1과목(산업재해 예방 및 안전보건교육) 301 ~ 389

    위험예지훈련 방법으로 적절하지 않은 것은?

    단위 인원수를 적게 한다.

    8

    1과목(산업재해 예방 및 안전보건교육) 301 ~ 389

    다음 중 산업안전보건법령상 안전보건 총괄책임자 지정 대상사업으로 상시근로자 50명 이상 사업의 종류에 해당하는 것은?

    안전보건총괄책임자를 지정해야 하는 사업의 종류 및 사업장의 상시근로자 수는 관계수급인에게 고용된 근로자를 포함한 상시근로자가 100명(선박 및 보트 건조업, 1차 금속 제조업 및 토사석 광업의 경우에는 50명) 이상인 사업이나 관계수급인의 공사금액을 포함한 해당 공사의 총공사금액이 20억원 이상인 건설업으로 한다.

    9

    1과목(산업재해 예방 및 안전보건교육) 301 ~ 389

    ☆☆

    산업안전보건법령에 따른 최소 상시근로자 50명 이상 규모에 산업안전보건위원회를 설치 운영하여야 할 사업의 종류가 아닌 것은?


    문제이미지

    10

    1과목(산업재해 예방 및 안전보건교육) 301 ~ 389

    ☆☆☆☆☆☆

    산업안전보건법령상 근로자 안전보건교육 중 채용 시의 교육 및 작업내용 변경 시의 교육 사항으로 옳은 것은?


    문제이미지

    11

    1과목(산업재해 예방 및 안전보건교육) 301 ~ 389

    산업안전보건법령상 사업장 내 안전보건교육 중 근로자의 정기안전보건교육내용에 해당하지 않는 것은?

    ④: 채용 시 교육 및 작업내용 변경 시 교육내용

    문제이미지

    12

    1과목(산업재해 예방 및 안전보건교육) 301 ~ 389

    ☆☆

    다음 중 산업재해 통계에 관한 설명으로 적절하지 않은 것은?

    산업재해 통계만을 기반으로 해당 사업장의 안전수준을 추측하면 안된다.

    13

    1과목(산업재해 예방 및 안전보건교육) 301 ~ 389

    ☆☆☆☆☆☆☆

    산업안전보건법령상 안전검사 대상 유해위험기계의 종류에 포함되지 않는 것은?

    안전검사대상기계

    1. 프레스

    2. 전단기

    3. 크레인(정격하중이 2톤 미만인 것은 제외)

    4. 리프트

    5. 압력용기

    6. 곤돌라

    7. 국소 배기장치(이동식은 제외한다)

    8. 원심기(산업용만 해당한다)

    9. 롤러기(밀폐형 구조는 제외한다)

    10. 사출성형기[형체결력 294kN 미만 제외]

    11. 고소작업대(「자동차관리법」 제3조제3호

    또는 제4호에 따른 화물자동차 또는 특

    수자동차에 탑재한 고소작업대로 한정)

    12. 컨베이어

    13. 산업용 로봇

    14. 혼합기

    15. 파쇄기 또는 분쇄기

    14

    1과목(산업재해 예방 및 안전보건교육) 301 ~ 389

    ☆☆

    산업안전보건법령상 안전인증대상 기계기구등이 아닌 것은?

    산업용 원심기: 안전검사대상 기계기구

    15

    1과목(산업재해 예방 및 안전보건교육) 301 ~ 389

    주요 구조 부분을 변경하는 경우 안전인증을 받아야 하는 기계·기구가 아닌 것은?

    주요 구조 부분을 변경하는 경우 안전인증을 받아야 하는 기계 및 설비

    가. 프레스

    나. 전단기 및 절곡기(折曲機)

    다. 크레인

    라. 리프트

    마. 압력용기

    바. 롤러기

    사. 사출성형기(射出成形機)

    아. 고소(高所)작업대

    자. 곤돌라

    16

    1과목(산업재해 예방 및 안전보건교육) 301 ~ 389

    ☆☆☆

    다음 중 산업안전보건법령상 자율안전확인대 상에 해당하는 방호장치는?

    ①/②/④: 안전인증대상

    자율안전확인 대상 방호장치

    가. 아세틸렌 용접장치용 또는 가스집합 용접장치용 안전기

    나. 교류 아크용접기용 자동전격방지기

    다. 롤러기 급정지장치

    라. 연삭기 덮개

    마. 목재 가공용 둥근톱 반발 예방장치와 날 접촉 예방장치

    바. 동력식 수동대패용 칼날 접촉 방지장치

    사. 추락ㆍ낙하 및 붕괴 등의 위험 방지 및 보호에 필요한 가설기자재(제74조제1항 제2호아목의 가설기자재는 제외한다)로서 고용노동부장관이 정하여 고시하는 것

    17

    1과목(산업재해 예방 및 안전보건교육) 301 ~ 389

    다음 중 산업안전보건법령상 안전인증대상 보호구의 안전인증제품에 안전인증 표시 외에 표시하여야 할 사항과 가장 거리가 먼 것은?

    안전인증제품에는 규칙에 따른 표시 외에 다음 각 호의 사항을 표시한다.

    1. 형식 또는 모델명

    2. 규격 또는 등급 등

    3. 제조자명

    4. 제조번호 및 제조연월

    5. 안전인증 번호

    18

    1과목(산업재해 예방 및 안전보건교육) 301 ~ 389

    산업안전보건법령상 안전인증대상 보호구에 해당하지 않는 것은?

    안전인증대상 보호구

    가. 추락 및 감전 위험방지용 안전모

    나. 안전화

    다. 안전장갑

    라. 방진마스크

    마. 방독마스크

    바. 송기(送氣)마스크

    사. 전동식 호흡보호구

    아. 보호복

    자. 안전대

    차. 차광(遮光) 및 비산물(飛散物) 위험방지용 보안경

    카. 용접용 보안면

    타. 방음용 귀마개 또는 귀덮개

    19

    1과목(산업재해 예방 및 안전보건교육) 301 ~ 389

    ☆☆☆☆

    산업 안전 보건법령에 따른 안전검사대상 유해 위험 기계 등의 검사 주기 기준 중 다음 (㉠), (㉡) 안에 알맞은 것은?


    크레인(이동식 크레인은 제외한다), 리프트(이삿짐운반용 리프트는 제외한다) 및 곤돌라: 사업장에 설치가 끝난 날부터 3년 이내에 최초 안전검사를 실시하되, 그 이후부터 (㉠)년마다(건설현장에서 사용하는 것은 최초로 설치한 날부터 (㉡)개월마다)

    크레인(이동식 크레인은 제외한다), 리프트(이삿짐운반용 리프트는 제외한다) 및 곤돌라: 사업장에 설치가 끝난 날부터 3년 이내에 최초 안전검사를 실시하되, 그 이후부터 2년마다(건설현장에서 사용하는 것은 최초로 설치한 날부터 6개월마다)

    20

    1과목(산업재해 예방 및 안전보건교육) 301 ~ 389

    다음 ( )안에 알맞은 것은?


    사업주는 산업재해로 사망자가 발생하거나 ( ) 이상의 휴업이 필요한 부상을 입거나 질병에 걸린 사람이 발생한 경우에는 법에 따라 해당 산업재해가 발생한 날부터 1개월 이내에 산업재해조사표를 작성하여 관할 지방고용노동관서의 장에게 제출(전자 문서로 제출하는 것을 포함한다)해야 한다.

    사업주는 산업재해로 사망자가 발생하거나 3일 이상의 휴업이 필요한 부상을 입거나 질병에 걸린 사람이 발생한 경우에는 법에 따라 해당 산업재해가 발생한 날부터 1개월 이내에 산업재해조사표를 작성하여 관할 지방고용노동관서의 장에게 제출(전자문서로 제출하는 것을 포함한다)해야 한다.

    21

    1과목(산업재해 예방 및 안전보건교육) 301 ~ 389

    산업안전보건법상 사업주는 산업재해로 사망자가 발생한 경우 산업재해가 발생한 날부터 얼마 이내에 산업재해조사표를 작성하여 관할 지방고용노동청장에게 제출하여야 하는가?


    22

    1과목(산업재해 예방 및 안전보건교육) 301 ~ 389

    국제노동기구(ILO)에서 구분한 “일시 전노동 불능”에 관한 설명으로 옳은 것은?


    문제이미지

    23

    1과목(산업재해 예방 및 안전보건교육) 301 ~ 389

    ☆☆

    산업재해 발생 유형으로 볼 수 없는 것은?


    문제이미지

    24

    1과목(산업재해 예방 및 안전보건교육) 301 ~ 389

    ☆☆

    기업조직의 원리 중 지시 일원화의 원리에 대한 설명으로 가장 적절한 것은?

    지시 일원화의 원리직속 상사에게서만 지시를 받고 특정 부하 직원들에게만 지시하는 것

    25

    1과목(산업재해 예방 및 안전보건교육) 301 ~ 389

    자율검사프로그램을 인정받으려는 자가 한국 산업안전보건공단에 제출해야 하는 서류가 아닌 것은?

    자율검사프로그램에는 다음 각 호의 내용이 포함되어야 한다.

    1. 안전검사대상기계등의 보유 현황

    2. 검사원 보유 현황과 검사를 할 수 있는 장비 및 장비 관리방법(자율안전검사기관에 위탁한 경우에는 위탁을 증명할 수 있는 서류를 제출한다)

    3. 안전검사대상기계등의 검사 주기 및 검사기준

    4. 향후 2년간 안전검사대상기계등의 검사수행계획

    5. 과거 2년간 자율검사프로그램 수행 실적(재신청의 경우만 해당한다)

    26

    1과목(산업재해 예방 및 안전보건교육) 301 ~ 389

    산업안전보건법령상 산업재해 조사표에 기록되어야 할 내용으로 옳지 않은 것은?

    보기사항 외에도 재해자 국적, 휴업예상일수, 재발방지계획, 재해자 직업 등이 있다.

    27

    1과목(산업재해 예방 및 안전보건교육) 301 ~ 389

    ☆☆

    객관적인 위험을 자기 나름대로 판정해서 의지결정을 하고 행동에 옳기는 인간의 심리특성은?

    리스크란 위험이다. 자기 스스로 판단하니 위험이 따르는 법이라 리스크 테이킹이다.

    28

    1과목(산업재해 예방 및 안전보건교육) 301 ~ 389

    다음 중 리스크 테이킹(risk taking)의 빈도가 가장 높은 사람은?

    자가판단으로 행동을 하는 사람이 제일 위험한다.

    29

    1과목(산업재해 예방 및 안전보건교육) 301 ~ 389

    제조업자는 제조물의 결함으로 인하여 생명ㆍ신체 또는 재산에 손해를 입은 자에게 그 손해를 배상하여야 하는데 이를 무엇이라 하는가? (단, 당해 제조물에 대해서만 발생한 손해는 제외한다.)

    제조물 책임(Product Liability Act)에 대한 설명이다.

    30

    1과목(산업재해 예방 및 안전보건교육) 301 ~ 389

    Fail-safe의 정의를 가장 올바르게 나타낸 것은?


    문제이미지

    31

    1과목(산업재해 예방 및 안전보건교육) 301 ~ 389

    지적확인이란 사람의 눈이나 귀 등 오감의 감각기관을 총동원해서 작업의 정확성과 안전을 확인하는 것이다. 지적확인과 정확도가 올바르게 짝지어진 것은?

    지적확인한 경우: 0.8%

    지적만 하는 경우: 1.5%

    확인만 하는 경우: 1.25%

    아무것도 하지 않은 경우: 2.85%

    32

    1과목(산업재해 예방 및 안전보건교육) 301 ~ 389

    교육훈련의 효과는 5관을 최대한 활용하여야 하는데 다음 중 효과가 가장 큰 것은?

    5관의 효과치

    시각(60%) → 청각(20%) → 촉각(15%) →

    미각(3%) → 후각(2%)

    33

    1과목(산업재해 예방 및 안전보건교육) 301 ~ 389

    일반적으로 교육이란 “인간행동의 계획적 변화”로 정의할 수 있다. 여기서 인간의 행동이 의미하는 것은?

    인간은 내현적, 외현적 행동 모두 변화시키기 가능하다.

    34

    1과목(산업재해 예방 및 안전보건교육) 301 ~ 389

    다음 중 작업표준의 구비조건으로 옳지 않은 것은?

    표현은 실제적으로 나타낼 것

    35

    1과목(산업재해 예방 및 안전보건교육) 301 ~ 389

    ☆☆

    인간의 착각현상 중 버스나 전동차의 움직임으로 인하여 자신이 승차하고 있는 정지된차량이 움직이는 것 같은 느낌을 받는 현상은?


    문제이미지

    36

    1과목(산업재해 예방 및 안전보건교육) 301 ~ 389

    착시현상 중 그림과 같이 우선평행의 호를 보고 이어 직선을 본 경우에 직선은 호와의 반대방향에 보이는 현상은?

    문제이미지


    문제이미지

    37

    1과목(산업재해 예방 및 안전보건교육) 301 ~ 389

    헤링(Hering)의 착시현상에 해당하는 것은?


    문제이미지

    38

    1과목(산업재해 예방 및 안전보건교육) 301 ~ 389

    다음 [그림]의 착시 현상을 무엇이라 하는가?


    수직선인 세로의 선이 굽어보인다.


    문제이미지

    39

    1과목(산업재해 예방 및 안전보건교육) 301 ~ 389

    “그림에서 선 ab와 선 cd는 그 길이가 동일한 것이지만, 시각적으로는 선 ab가 선 cd보다 길어 보인다.“에서 설명하는 착시 현상과 관계가 깊은 것은?

    문제이미지


    문제이미지

    40

    1과목(산업재해 예방 및 안전보건교육) 301 ~ 389

    산업안전보건관리비 사용내역관련 내용이다.올바른 것은?


    도급인은 산업안전보건관리비 사용내역에 대하여 공사 시작 후 A마다 B 이상 발주자 또는 감리자의 확인을 받아야 한다.

    도급인은 산업안전보건관리비 사용내역에 대하여 공사 시작 후 6개월마다 1회 이상 발주자 또는 감리자의 확인을 받아야 한다. 다만, 6개월 이내에 공사가 종료되는 경우에는 종료 시 확인을 받아야 한다.

    41

    1과목(산업재해 예방 및 안전보건교육) 301 ~ 389

    관리감독자 안전보건업무 수행 시 수당지급 작업에 해당하지 않는 것은?

    관리감독자 안전보건업무 수행 시 수당지급 작업

    1. 건설용 리프트ㆍ곤돌라를 이용한 작업

    2. 콘크리트 파쇄기를 사용하여 행하는 파쇄작업(2미터 이상인 구축물 파쇄에 한정한다)

    3. 굴착 깊이가 2미터 이상인 지반의 굴착작업

    4. 흙막이지보공의 보강, 동바리 설치 또는 해체작업

    5. 터널 안에서의 굴착작업, 터널거푸집의 조립또는 콘크리트 작업

    6. 굴착면의 깊이 2미터 이상인 암석 굴착 작업

    7. 거푸집지보공의 조립 또는 해체작업

    8. 비계의 조립, 해체 또는 변경작업

    9. 건축물의 골조, 교량의 상부구조 또는 탑의 금속제의 부재에 의하여 구성되는 것(5미터 이상에 한정한다)의 조립, 해체 또는 변경작업

    10. 콘크리트 공작물(높이 2미터 이상에 한정한다)의 해체 또는 파괴 작업

    11. 전압이 75볼트 이상인 정전 및 활선작업

    12. 맨홀작업, 산소결핍장소에서의 작업

    13. 도로에 인접하여 관로, 케이블 등을 매설하거나 철거하는 작업

    14. 전주 또는 통신주에서의 케이블공중가설작업

    42

    1과목(산업재해 예방 및 안전보건교육) 301 ~ 389

    산업안전보건관리비에서 사용가능한 안전보건진단비 기준이 아닌 것은?

    안전보건진단비 등

    가. 법에 따른 유해위험방지계획서의 작성등에 소요되는 비용

    나. 법에 따른 안전보건진단에 소요되는 비용

    다. 법에 따른 작업환경 측정에 소요되는 비용

    라. 그 밖에 산업재해예방을 위해 법에서 지정한 전문기관 등에서 실시하는 진단,검사, 지도 등에 소요되는 비용

    43

    1과목(산업재해 예방 및 안전보건교육) 301 ~ 389

    산업안전보건관리비에서 사용가능한 안전관리자ㆍ보건관리자의 임금기준이 아닌 것은?

    안전관리자ㆍ보건관리자의 임금 등

    가. 법에 따라 안전관리 또는 보건관리 업무만을 전담하는 안전관리자 또는 보건관리자의 임금과 출장비 전액

    나. 안전관리 또는 보건관리 업무를 전담하지 않는 안전관리자 또는 보건관리자의임금과 출장비의 각각 2분의 1에 해당하는 비용

    다. 안전관리자를 선임한 건설공사 현장에서산업재해 예방 업무만을 수행하는 작업지휘자, 유도자, 신호자 등의 임금 전액

    라. 별표에 해당하는 작업을 직접 지휘ㆍ감독하는 직ㆍ조ㆍ반장 등 관리감독자의직위에 있는 자가 법에서 정하는 업무를수행하는 경우에 지급하는 업무수당(임금의 10분의 1 이내)

    44

    1과목(산업재해 예방 및 안전보건교육) 301 ~ 389

    직접 사람에게 접촉되어 위해를 가한 물체를 무엇이라고 하는가?

    코샤가이드/A-G-8-2025

    기인물: 직접적으로 재해를 유발하거나 영향을 끼친 에너지원(운동, 위치, 열,전기 등)을 지닌 기계․장치, 구조물,물체․물질, 사람 또는 환경

    가해물: 근로자(사람)에게 직접적으로 상해를입힌 기계, 장치, 구조물, 물체․물질, 사람 또는 환경

    45

    1과목(산업재해 예방 및 안전보건교육) 301 ~ 389

    재해의 근원이 되는 기계장치나 기타의 물(物) 또는 환경을 뜻하는 것은?


    기인물에 대한 설명이다.

    46

    1과목(산업재해 예방 및 안전보건교육) 301 ~ 389

    근로자가 작업대 위에서 전기공사 작업 중 감전에 의하여 지면으로 떨어져 다리에 골절상해를 입은 경우의 기인물과 가해물로 옳은 것은?


    전기로 인해 넘어진 것이며 지면에 의해 다리가 골절되었다.

    47

    1과목(산업재해 예방 및 안전보건교육) 301 ~ 389

    다음 중 타박, 충돌, 추락 등으로 피부 표면보다는 피하조직 등 근육부를 다친 상해를 무엇이라 하는가?


    문제이미지

    48

    1과목(산업재해 예방 및 안전보건교육) 301 ~ 389

    다음 중 칼날이나 뾰족한 물체 등 날카로운 물건에 찔린 상해를 무엇이라 하는가?


    문제이미지

    49

    1과목(산업재해 예방 및 안전보건교육) 301 ~ 389

    다음 중 상해 종류에 대한 설명으로 옳은 것은?


    문제이미지

    50

    1과목(산업재해 예방 및 안전보건교육) 301 ~ 389

    다음과 같은 재해의 분석으로 옳은 것은?


    어느 작업장에서 메인스위치를 끄지 않고퓨즈를 교체하는 작업 중 단락사고로 인하여 스파크가 발생해 작업자가 화상을입었다.


    화상: 상해

    감전: 재해

    메인 스위치를 끄지 않음: 직접원인

    스위치 끄지 않고 퓨즈 교체: 불안전한 행동

    51

    1과목(산업재해 예방 및 안전보건교육) 301 ~ 389

    ☆☆

    산업재해에 있어 인명이나 물적 등 일체의 피해가 없는 사고를 무엇이라고 하는가?


    앗차사고(Near Accident)에 대한 정의이다.

    52

    1과목(산업재해 예방 및 안전보건교육) 301 ~ 389

    다음 중 산업안전보건법령에서 정한 안전보건관리규정의 세부내용으로 가장 적절하지 않은 것은?

    안전보건관리규정 세부내용

    1. 총칙(② 포함)

    2. 안전ㆍ보건 관리조직과 그 직무(① 포함)

    3. 안전ㆍ보건교육

    4. 작업장 안전관리

    5. 작업장 보건관리(③ 포함)

    6. 사고 조사 및 대책 수립

    7. 위험성평가에 관한 사항

    8. 보칙

    53

    1과목(산업재해 예방 및 안전보건교육) 301 ~ 389

    ☆☆

    다음 중 산업안전보건법령상 안전보건관리규정에 포함되어 있지 않는 내용은? (단, 기타 안전보건관리에 관한 사항은 제외한다.)

    사업주는 사업장의 안전 및 보건을 유지하기 위하여 다음 각 호의 사항이 포함된 안전보건관리규정을 작성하여야 한다.

    1. 안전 및 보건에 관한 관리조직과 그 직무에 관한 사항

    2. 안전보건교육에 관한 사항

    3. 작업장 안전 및 보건관리에 관한 사항

    4. 사고 조사 및 대책 수립에 관한 사항

    5. 그 밖에 안전 및 보건에 관한 사항

    54

    1과목(산업재해 예방 및 안전보건교육) 301 ~ 389

    다음 ( )안에 들어갈 내용으로 알맞은 것은?


    사업주는 안전보건관리규정을 작성하거나변경할 때에는 ( ㉠ )의 심의ㆍ의결을 거쳐야 한다. 다만, ( ㉠ )가 설치되어 있지 아니한 사업장의 경우에는 ( ㉡ )의 동의를받아야 한다.

    사업주는 안전보건관리규정을 작성하거나 변경할 때에는 산업안전보건위원회의 심의ㆍ의결을 거쳐야 한다. 다만, 산업안전보건위원회가 설치되어 있지 아니한 사업장의 경우에는 근로자대표의 동의를 받아야 한다.

    55

    1과목(산업재해 예방 및 안전보건교육) 301 ~ 389

    산업안전보건법령에 따른 산업안전보건위원회의 회의결과를 주지시키는 방법으로 가장 적절하지 않은 것은?


    회의에 참석한다고 다 파악하는 것은 아니다.

    56

    1과목(산업재해 예방 및 안전보건교육) 301 ~ 389

    비통제의 집단행동 중 폭동과 같은 것을 말하며, 군중보다 합의성이 없고, 감정에 의해서만 행동하는 특성은?


    문제이미지

    57

    1과목(산업재해 예방 및 안전보건교육) 301 ~ 389

    ☆☆

    관료주의에 대한 설명으로 틀린 것은?


    의사결정에는 작업자의 참여가 불가능하다.

    관료주의: 상급자에게는 약하고 하급자에게는 힘을 내세우려 하며, 자기 업무와 직접 관련이 없는 일에는 신경을 쓰지 않고, 자기 책임은지지않으려 하면서도 독선적인 행동이나 의식을 보이는 것

    58

    1과목(산업재해 예방 및 안전보건교육) 301 ~ 389

    재해손실비의 평가방식 중 시몬즈 방식에 의한 계산방법으로 옳은 것은?


    시몬즈방식에 의한 재해코스트 산정법

    총 재해비용=보험비용+비보험비용

    비보험비용=휴업상해건수∙A+통원상해건수∙B+응급조치건수∙C+무상해사고건수∙D

    (A/B/C/D는 장해정도별에 의한 비보험비용의 평균치)

    59

    1과목(산업재해 예방 및 안전보건교육) 301 ~ 389

    재해손실비의 평가방식 중 시몬즈 방식에 의한 계산방법으로 옳은 것은?

    시몬즈방식에 의한 재해코스트 산정법

    총 재해비용=보험비용+비보험비용

    비보험비용=휴업상해건수∙A+통원상해건수∙B+응급조치건수∙C+무상해사고건수∙D

    (A/B/C/D는 장해정도별에 의한 비보험비용의 평균치)

    60

    1과목(산업재해 예방 및 안전보건교육) 301 ~ 389

    하인리히의 재해손실비용 평가방식에서 총재해손실비용을 직접비와 간접비로 구분하였을 때 그 비율로 옳은 것은? (단, 순서는 직접비 : 간접비이다.)

    시몬즈방식에 의한 재해코스트 산정법

    총 재해비용=보험비용+비보험비용

    비보험비용=휴업상해건수∙A+통원상해건수∙B+응급조치건수∙C+무상해사고건수∙D

    (A/B/C/D는 장해정도별에 의한 비보험비용의 평균치)

    61

    1과목(산업재해 예방 및 안전보건교육) 301 ~ 389

    재해손실 코스트 방식 중 하인리히의 방식에있어 1:4의 원칙 중 1에 해당하지 않는 것은?


    하인리히 방식

    총 재해비용= 직접비+간접비(=4직접비)

    직접비: 법에 따른 산재보상비요양/휴업/장해/간병/유족/직업재활 급여, 상병보상연금, 장례비

    간접비: 생산손실비/인적손실비/시간손실비

    윗 해설 참조

    62

    1과목(산업재해 예방 및 안전보건교육) 301 ~ 389

    다음 설명에 해당하는 용어는?


    사업주가 자율경영방침에 안전보건정책을 반영하고, 이에대한 세부 실행지침과 기준을 규정화하여, 주기적으로 안전보건계획에 대한 실행 결과를 자체평가 후 개선토록 하는 등 재해예방과 기업손실감소 활동을 체계적으로 추진토록 하기 위한 자율안전보건체계


    문제이미지

    63

    1과목(산업재해 예방 및 안전보건교육) 301 ~ 389

    KOSHA Guide에 대해 옳지 않은 것은?


    문제이미지

    64

    1과목(산업재해 예방 및 안전보건교육) 301 ~ 389

    KOSHA Guide 일련번호에 대해 옳지 않은 것은?

    문제이미지


    문제이미지

    65

    1과목(산업재해 예방 및 안전보건교육) 301 ~ 389

    KOSHA Guide와 관련된 분야별 또는 업종별 분류기호이다. 옳은 것은?


    문제이미지

    66

    1과목(산업재해 예방 및 안전보건교육) 301 ~ 389

    KOSHA Guide 분야별 또는 업종별에 해당되지 않는 것은?


    문제이미지

    67

    1과목(산업재해 예방 및 안전보건교육) 301 ~ 389

    KOSHA Guide을 이용할 때 효과로 옳지 않은 것은?


    문제이미지

    68

    1과목(산업재해 예방 및 안전보건교육) 301 ~ 389

    KOSHA Guide 분야별 주요내용으로 올바른 것은?


    69

    1과목(산업재해 예방 및 안전보건교육) 301 ~ 389

    국제노동통계회의에서 결의된 재해통계의 국제적 통일안을 설명한 것으로 틀린 것은?

    국제노동기구(ILO)에 속한 국가만 적용 중이다.

    70

    1과목(산업재해 예방 및 안전보건교육) 301 ~ 389

    재해율 중 재직 근로자 1,000명당 1년간 발생하는 재해자 수를 나타내는 것은?

    연천인율에 대한 설명이다.

    71

    1과목(산업재해 예방 및 안전보건교육) 301 ~ 389

    다음 중 연간 총근로시간 합계 100만 시간당 재해발생 건수를 나타내는 재해율은?

    문제이미지

    72

    1과목(산업재해 예방 및 안전보건교육) 301 ~ 389

    연간 총 근로시간 중에 발생하는 근로손실일수를 1,000시간당 발생하는 근로손실일수로 나타내는 식은?

    문제이미지

    73

    1과목(산업재해 예방 및 안전보건교육) 301 ~ 389

    사업장의 안전준수 정도를 알아보기 위한 안전평가는 사전평가와 사후평가로 구분되어 지는데 다음 중 사전평가에 해당하는 것은?

    안전샘플링은 사전에 사업장의 안전 정도를 측정하는 방법이다.

    74

    1과목(산업재해 예방 및 안전보건교육) 301 ~ 389

    Safe-T-Score에 대한 설명으로 틀린 것은?

    판정기준 +2 이상=과거보다 심각하게 나쁨

    -2와 +2사이=과거에 비해 심각한 차이 없음 -2 이하=과거보다 좋아짐

    75

    1과목(산업재해 예방 및 안전보건교육) 301 ~ 389

    다음 중 기업의 산업재해에 대한 과거와 현재의 안전성적을 비교, 평가한 점수로 안전관리의 수행도를 평가하는데 유용한 것은?

    safe-T-score에 대한 설명이다.

    76

    1과목(산업재해 예방 및 안전보건교육) 301 ~ 389

    ☆☆☆☆☆

    상시 근로자수가 75명인 사업장에서 1일 8시간씩 연간 320일을 작업하는 동안에 4건의 재해가 발생하였다면 이 사업장의 도수율은 약 얼마인가?

    문제이미지

    77

    1과목(산업재해 예방 및 안전보건교육) 301 ~ 389

    ☆☆

    1,000명의 근로자가 주당 45시간씩 연간 50주를 근무하는 A기업에서 질병 및 기타 사유로 인하여 5%의 결근율을 나타내고 있다. 이 기업에서 연간 60건의 재해가 발생하였다면 이 기업의 도수율은 약 얼마인가?

    문제이미지

    78

    1과목(산업재해 예방 및 안전보건교육) 301 ~ 389

    400명의 근로자가 종사하는 공장에서 휴업일수 127일, 중대 재해 1건이 발생한 경우 강도율은? (단, 1일 8시간으로 연 300일 근무조건으로 한다.)

    문제이미지

    79

    1과목(산업재해 예방 및 안전보건교육) 301 ~ 389

    연간 근로자수가 300명인 A 공장에서 지난 1년간 1명의 재해자(신체장해등급: 1급)가 발생하였다면 이 공장의 강도율은? (단, 근로자 1인당 1일 8시간씩 연간 300일을 근무하였다.)


    문제이미지

    80

    1과목(산업재해 예방 및 안전보건교육) 301 ~ 389

    50인의 상시 근로자를 가지고 있는 어느 사업장에 1년간 3건의 부상자를 내고 그 휴업일수가 219일이라면 강도율은?

    문제이미지

    81

    1과목(산업재해 예방 및 안전보건교육) 301 ~ 389

    ☆☆

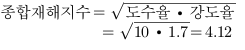
    A 사업장의 도수율이 10이고, 강도율이 1.7이라고 하면 이 사업장의 종합재해지수(FSI)는 약 얼마인가?

    문제이미지

    82

    1과목(산업재해 예방 및 안전보건교육) 301 ~ 389

    ☆☆

    어떤 사업장의 종합재해지수가 16.95이고, 도수율이 20.83이라면 강도율은 약 얼마인가?

    문제이미지

    83

    1과목(산업재해 예방 및 안전보건교육) 301 ~ 389

    산업안전보건법령상 상시 근로자수의 산출내역에 따라, 연간 국내공사 실적액이 50억원이고 건설업평균임금이 250만원이며, 노무비율은 0.06인 사업장의 상시 근로자수는?

    문제이미지

    84

    1과목(산업재해 예방 및 안전보건교육) 301 ~ 389

    ☆☆☆☆

    D공장의 연평균근로자가 180명이고, 1년간 사상자가 6명이 발생했다면, 연천인율은 약 얼마인가? (단, 근로자는 하루 8시간씩 연간 300일을 근무한다.)

    문제이미지

    85

    1과목(산업재해 예방 및 안전보건교육) 301 ~ 389

    ☆☆☆☆☆☆

    어느 공장의 재해율을 조사한 결과 도수율이20이고, 강도율이 1.2로 나타났다. 이 공장에서 근무하는 근로자가 입사부터 정년퇴직할 때까지 예상되는 재해건수(a)와 이로 인한 근로손실일수(b)는?

    환산도수율: 평생 근로시 경험하는 재해건수 환산도수율=도수율/10=20/10=2 환산강도율: 평생 근로시 경험하는 손실일수 환산강도율=강도율∙100=1.2∙100=120

    86

    1과목(산업재해 예방 및 안전보건교육) 301 ~ 389

    ☆☆☆

    지난 한 해 동안 산업재해로 인하여 직접손실 비용이 3조 1,600억원이 발생한 경우의 총재해 코스트는? (단, 하인리히의 재해 손실비 평가방식을 적용한다.)

    하인리히 방식 총 재해비용 =직접비+간접비(=4직접비) =3조 1,600억+43조 1,600억 =15조 8,000억원

    87

    1과목(산업재해 예방 및 안전보건교육) 301 ~ 389

    ☆☆☆

    하인리히의 재해구성비율에 따라 경상사고가 87건 발생하였다면 무상해사고는 몇 건이 발생하였겠는가?

    문제이미지

    88

    1과목(산업재해 예방 및 안전보건교육) 301 ~ 389

    버드(Bird)의 재해발생 비율에서 물적손해 만의 사고가 120건 발생하면 상해도 손해도 없는 사고는 몇 건 정도 발생하겠는가?

    문제이미지

    89

    1과목(산업재해 예방 및 안전보건교육) 301 ~ 389

    임금근로자수 200명, 휴업재해자수 15명, 재해건수 3건. 사망자수 2명인 사업장의 휴업재해율은?

    문제이미지