모두CBT | 국가고시 실기시험 부시기!

5과목(화학설비 안전관리) 301~385 해설 페이지

5과목(화학설비 안전관리) 301~385

    1

    5과목(화학설비 안전관리) 301~385

    ☆☆

    다음 중 기체의 자연발화온도 측정법에 해당하는 것은?


    문제이미지

    2

    5과목(화학설비 안전관리) 301~385

    ☆☆

    다음 중 누설 발화형 폭발재해의 예방 대책으로 가장 거리가 먼 것은?


    누설 발화형 폭발 예방대책

    1. 발화원 관리

    2. 밸브 오동작 방지

    3. 누설물질 검지 경보

    3

    5과목(화학설비 안전관리) 301~385

    다음 중 화재 예방에 있어 화재의 확대방지를 위한 방법으로 적절하지 않은 것은?


    ④: 공간 구획화

    4

    5과목(화학설비 안전관리) 301~385

    다음은 산업안전보건기준에 관한 규칙에서 정한 폭발 또는 화재 등의 예방에 관한 내용이다. ( )에 알맞은 용어는?


    사업주는 인화성 액체의 증기, 인화성 가스 또는 인화성 고체가 존재하여 폭발이나 화재가 발생할 우려가 있는 장소에서 해당 증기ㆍ가스 또는 분진에 의한 폭발 또는 화재를 예방하기 위하여 ( ), ( ) 등 환기장치를 적절하게 설치해야 한다.

    가스 또는 인화성 고체가 존재하여 폭발이나 화재가 발생할 우려가 있는 장소에서 해당 증기ㆍ가스 또는 분진에 의한 폭발 또는 화재를 예방하기 위하여 환풍기, 배풍기(排風機) 등 환기장치를 적절하게 설치해야 한다.

    5

    5과목(화학설비 안전관리) 301~385

    ☆☆

    산업안전보건법령에서 인화성 액체를 정의할 때 기준이 되는 표준압력은 몇kPa인가?


    인화성 액체 표준압력은 1기압이다.

    1기압=1atm=101.325kPa

    6

    5과목(화학설비 안전관리) 301~385

    아세틸렌 용접장치로 금속을 용접할 때 아세틸렌가스의 발생압력은 게이지 압력으로 몇 kPa를 초과하여서는 안되는가?

    사업주는 아세틸렌 용접장치를 사용하여 금속의 용접ㆍ용단 또는 가열작업을 하는 경우에는 게이지 압력이 127kPa을 초과하는 압력의 아세틸렌을 발생시켜 사용해서는 아니 된다.

    7

    5과목(화학설비 안전관리) 301~385

    아세틸렌 용접장치에 설치하여야 하는 안전기의 설치요령이 옳지 않은 것은?

    -사업주는 아세틸렌 용접장치의 취관마다 안전기를 설치하여야 한다. 다만, 주관 및 취관에 가장 가까운 분기관(分岐管)마다 안전기를 부착한 경우에는 그러하지 아니하다.

    -사업주는 가스용기가 발생기와 분리되어 있는 아세틸렌 용접장치에 대하여 발생기와 가스용기 사이에 안전기를 설치해야 한다.

    8

    5과목(화학설비 안전관리) 301~385

    압축기의 운전 중 흡입배기 밸브의 불량으로 인한 주요 현상으로 볼 수 없는 것은?


    흡입배기 밸브 불량으로 인한 발생 현장

    -가스온도 변동

    -가스압력 변동

    -밸브 작동음 이상증세

    9

    5과목(화학설비 안전관리) 301~385

    ☆☆☆

    다음 중 압축기 운전 시 토출압력이 갑자기 증가하는 이유로 가장 적절한 것은?


    저항이 발생하면 압력이 증가한다.

    10

    5과목(화학설비 안전관리) 301~385

    ☆☆

    압축기의 종류를 구조에 의해 용적형과 회전형으로 분류 할 때 다음 중 회전형으로만 올바르게 나열한 것은?


    문제이미지

    11

    5과목(화학설비 안전관리) 301~385

    다음 중 축류식 압축기에 대한 설명으로 옳은 것은?


    문제이미지

    12

    5과목(화학설비 안전관리) 301~385

    다음 중 건조설비의 가열방법으로 방사전열, 대전전열 방식 등이 있고, 병류형, 직교류형 등의 강제대류방식을 사용하는 것이 많으며 직물, 종이 등의 건조물 건조에 주로 사용하는 건조기는?


    문제이미지

    13

    5과목(화학설비 안전관리) 301~385

    다음 중 왕복펌프에 속하지 않는 것은?


    문제이미지

    14

    5과목(화학설비 안전관리) 301~385

    다음 중 석유 화재의 거동에 관한 설명으로 틀린 것은?

    저장조 용기의 직경이 1m 이상이면 복사열 영향으로 난류화염형태를 나타낸다.

    15

    5과목(화학설비 안전관리) 301~385

    ☆☆

    폭발에 관한 용어 중 “BLEVE"가 의미하는 것은?


    문제이미지

    16

    5과목(화학설비 안전관리) 301~385

    ☆☆

    비점이 낮은 액체 저장탱크 주위에 화재가 발생했을 때 저장탱크 내부의 비등 현상으로인한 압력 상승으로 탱크가 파열되어 그 내용물이 증발, 팽창하면서 발생되는 폭발현상은?


    문제이미지

    17

    5과목(화학설비 안전관리) 301~385

    다음 중 증기운폭발에 대한 설명으로 옳은 것은?


    ①: 폭발효율은 BLEVE 보다 작다.

    ③: 증기운폭발의 방지대책으로 가장 좋은 방법은 자동차단밸브 설치이다.

    ④: 증기와 공기의 난류 혼합, 방출점으로부 터 먼 지점에서 증기운의 점화는 폭발의 충격을 증가시킨다.

    18

    5과목(화학설비 안전관리) 301~385

    다음 중 Flashover의 방지(지연)대책으로 가장 적정한 것은?


    플래시오버 방지대책

    개구부 제한/가연물 제한/천장, 측벽 불연화

    19

    5과목(화학설비 안전관리) 301~385

    ☆☆☆

    뜨거운 금속에 물이 닿으면 튀는 현상과 같이 핵비등(nucleate boiling) 상태에서 막비등(film boiling)으로 이행하는 온도를 무엇이라 하는가?


    문제이미지

    20

    5과목(화학설비 안전관리) 301~385

    ☆☆☆

    물이 관 속을 흐를 때 유동하는 물 속의 어느 부분의 정압이 그때의 물의 증기압보다 낮을 경우 물이 증발하여 부분적으로 증기가 발생되어 배관의 부식을 초래하는 경우가 있다. 이러한 현상을 무엇이라 하는가?

    비말동반: 액체가 비말 모양의 미소한 액체방울이 되어 증기, 가스와 함께 운반되는 현상

    문제이미지

    21

    5과목(화학설비 안전관리) 301~385

    ☆☆☆

    펌프의 사용 시 공동현상(cavitation)을 방지하고자 할 때의 조치사항으로 틀린 것은?


    문제이미지

    22

    5과목(화학설비 안전관리) 301~385

    ☆☆

    압축기와 송풍기의 관로에 심한 공기의 맥동과 진동을 발생하면서 불안정한 운전이 되는 서징(surging) 현상의 방지법으로 옳지 않은 것은?


    문제이미지

    23

    5과목(화학설비 안전관리) 301~385

    ☆☆

    다음 중 펌프의 공동현상(cavitation)을 방지하기위한 방법으로 가장 적절한 것은?


    문제이미지

    24

    5과목(화학설비 안전관리) 301~385

    가스누출감지경보기의 선정기준, 구조 및 설치 방법에 관한 설명으로 옳지 않은 것은?

    가연성 가스누출감지경보기는 감지대상 가스의 폭발하한계 25퍼센트 이하, 독성가스 누출감지경보기는 해당 독성가스의 허용농도 이하에서 경보가 울리도록 설정하여야 한다.

    문제이미지

    25

    5과목(화학설비 안전관리) 301~385

    ☆☆

    일반적인 자동제어 시스템의 작동순서를 바르게 나열한 것은?


    자동제어 시스템의 작동순서

    공정상황 → 검출 → 조절계 → 밸브

    26

    5과목(화학설비 안전관리) 301~385

    ☆☆☆

    다음 중 관의 지름을 변경하는데 사용되는 관의 부속품으로 가장 적절한 것은?


    문제이미지

    27

    5과목(화학설비 안전관리) 301~385

    ☆☆

    다음 중 관(pipe) 부속품 중 관로의 방향을 변경하기 위하여 사용하는 부속품은?


    문제이미지

    28

    5과목(화학설비 안전관리) 301~385

    관 부속품 중 유로를 차단할 때 사용되는 것은?


    문제이미지

    29

    5과목(화학설비 안전관리) 301~385

    물질의 누출방지용으로써 접합면을 상호 밀착시키기 위하여 사용하는 것은?

    사업주는 화학설비 또는 그 배관의 덮개ㆍ플랜지ㆍ밸브 및 콕의 접합부에 대해서는 접합부에서 위험물질등이 누출되어 폭발ㆍ화재 또는 위험물이 누출되는 것을 방지하기 위하여 적절한 개스킷(gasket)을 사용하고 접합면을 서로 밀착시키는 등 적절한 조치를 하여야 한다.

    30

    5과목(화학설비 안전관리) 301~385

    증류탑에서 포종탑 내에 설치되어 있는 포종의 주요 역할로 옳은 것은?


    포종: 증기와 액체의 접촉을 용이하게 해줌.

    31

    5과목(화학설비 안전관리) 301~385

    유해성 있는 화학물질을 저장하는 저장탱크를 철거하는 작업을 도급하는 자가 도급작업이 시작되기 전까지 수급인에게 제공해야 할 문서의 포함사항이 아닌 것은?

    작업을 도급하는 자는 다음 각 호의 사항을 적은 문서(전자문서를 포함한다. 이하 이 조에서 같다)를 해당 도급작업이 시작되기 전까지 수급인에게 제공해야 한다.

    1. 안전보건규칙 화학설비 및 그 부속설비에서 제조ㆍ사용ㆍ운반 또는 저장하는 위험물질 및 관리대상 유해물질의 명칭과 그 유해성ㆍ위험성

    2. 안전ㆍ보건상 유해하거나 위험한 작업에 대한 안전ㆍ보건상의 주의사항

    3. 안전ㆍ보건상 유해하거나 위험한 물질의 유출 등 사고가 발생한 경우에 필요한 조치의 내용

    32

    5과목(화학설비 안전관리) 301~385

    결정수를 함유하는 물질이 공기 중에 결정수를 잃는 현상을 무엇이라 하는가?


    풍해성: 결정수를 함유하는 물질이 공기 중에 결정수를 잃는 현상

    33

    5과목(화학설비 안전관리) 301~385

    옥내소화전설비 펌프 성능기준이며 빈칸에 알맞은 것은?

    펌프의 성능은 체절운전 시 정격토출압력의 ( )%를 초과하지 않고, 정격토출량의 150%로 운전 시 정격토출압력의 65% 이상이 되어야 하며, 펌프의 성능을 시험할 수 있는 성능시험배관을 설치할 것  

    펌프의 성능은 체절운전 시 정격토출압력의 140퍼센트를 초과하지 않고, 정격토출량의 150퍼센트로 운전 시 정격토출압력의 65퍼센트 이상이 되어야 하며, 펌프의 성능을 시험할 수 있는 성능시험배관을 설치할 것

    34

    5과목(화학설비 안전관리) 301~385

    동력기계 목록자료 중 “명세”란에 대한 내용이며 빈칸에 알맞은 것은?

    문제이미지

    유해ㆍ위험설비 중 동력기계 목록에 다음 각 호의 사항에 따라 작성하여야 한다.

    1. 대상 설비에 포함되는 동력기계는 모두 기재한다.

    2. "명세"란에는 펌프 및 압축기의 시간당 처리량, 토출측의 압력, 분당회전속도 등, 교반기의 임펠러의 반경, 분당회전속도 등, 양중기의 들어 올릴 수 있는 무게, 높이 등 그 밖에 동력기계의 시간당 처리량 등을 기재한다.

    3. "주요 재질"란에는 해당 기계의 주요 부분의 재질을 재질분류기호로 기재한다.

    4. "방호장치의 종류"란에는 해당 설비에 필요한 모든 방호장치의 종류를 기재한다.

    35

    5과목(화학설비 안전관리) 301~385

    폭발하한계에 관한 설명으로 옳지 않은 것은?


    하향전파 시 하한계가 높아지고, 온도 상승 시엔 하한계가 낮아진다.

    36

    5과목(화학설비 안전관리) 301~385

    다음 중 압력차에 의하여 유량을 측정하는 가변류 유량계가 아닌 것은?


    로터미터: 면적식 유량계

    37

    5과목(화학설비 안전관리) 301~385

    ☆☆

    고압가스 용기 파열사고의 주요 원인 중 하나는 용기의 내압력(耐壓力) 부족이다. 다음 중 내압력 부족의 원인으로 틀린 것은?


    ③: 용기 내압 이상 상승의 원인

    38

    5과목(화학설비 안전관리) 301~385

    폭발하한계를 L, 폭발상한계를 U라 할 경우 다음 중 위험도(H)를 옳게 나타낸 것은?


    문제이미지

    39

    5과목(화학설비 안전관리) 301~385

    ☆☆

    Burgess-Wheeler의 법칙에 따르면 서로 유사한 탄화수소계의 가스에서 폭발하한계의 농도(vol%)와 연소열(kcal/mol)의 곱의 값은 약 얼마 정도인가?


    Burgess-wheeler는 폭발하한계의 농도와 연소열의 곱이 1,100로 일정하다고 제시하였다. → 연소하한계∙연소열=1,100

    40

    5과목(화학설비 안전관리) 301~385

    포화탄화수소계의 가스에서는 폭발하한계의 농도 X(vol%)와 그의 연소열(kcal/mol)Q의 곱은 일정하게 된다는 Burgess-Wheeler의 법칙이 있다. 연소열이 635.4kcal/mol인 포화탄화수소 가스의 하한계는 약 얼마인가?


    Burgess-Wheeler의 법칙

    연소하한계∙연소열=1,100

    → X∙635.4=1,100 → X=1.73%

    41

    5과목(화학설비 안전관리) 301~385

    폭발의 위험성을 고려하기 위해 정전에너지 값을 구하고자 한다. 다음 중 정전에너지를 구하는 식은?

    (단, E는 정전에너지, C는 정전 용량, V는 전압을 의미한다)



    문제이미지

    42

    5과목(화학설비 안전관리) 301~385

    ☆☆

    다음 중 최소발화에너지(E[J])를 구하는 식으로 옳은 것은?



    문제이미지

    43

    5과목(화학설비 안전관리) 301~385

    다음 중 공기 중 최소 발화에너지값이 가장 작은 물질은?


    에틸렌: 0.07mJ

    아세트알데히드: 0.36mJ

    메탄: 0.28mJ

    에탄: 0.24mJ

    44

    5과목(화학설비 안전관리) 301~385

    ☆☆

    다음 중 대기압 상의 공기ㆍ아세틸렌 혼합가스의 최소발화에너지(MIE)에 관한 설명으로 옳은 것은?


    ①: 압력, 온도가 클수록 MIE는 감소한다.

    ②: 불활성물질의 증가는 MIE를 증가시킨다.

    45

    5과목(화학설비 안전관리) 301~385

    ☆☆

    송풍기의 상사법칙에 관한 설명으로 옳지 않은 것은?


    문제이미지

    46

    5과목(화학설비 안전관리) 301~385

    송풍기의 회전차 속도가 1,300rpm일 때 송풍량이 분당 300m3m^3였다. 송풍량을 분당 400m3m^3으로 증가시키고자 한다면 송풍기의 회전차 속도는 약 몇 rpm으로 하여야 하는가?



    문제이미지

    47

    5과목(화학설비 안전관리) 301~385

    ☆☆

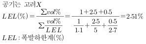
    다음 [표]를 참조하여 메탄 70vol%, 프로판 21vol%, 부탄 9vol%인 혼합가스의 폭발범위를 구하면 약 몇 vol%인가?

    문제이미지



    문제이미지

    48

    5과목(화학설비 안전관리) 301~385

    ☆☆☆

    메탄, 에탄, 프로판의 폭발하한계가 각각 5vol%, 3vol%, 2.5vol%일 때 다음 중 폭발하한계가 가장 낮은 것은?

    (단, Le Chatelier의 혼합법칙을 이용한다.)



    문제이미지

    49

    5과목(화학설비 안전관리) 301~385

    프로판과 메탄의 폭발하한계가 각각 2.5, 5.0vol% 이라고 할 때 프로판과 메탄이 3:1의 체적비로 혼합되어 있다면 이 혼합가스의 폭발하한계는 약 몇 vol%인가?(단, 상온, 상압 상태이다.)



    문제이미지

    50

    5과목(화학설비 안전관리) 301~385

    ☆☆

    에틸에테르와 에틸알콜이 3:1로 혼합증기의 몰비가 각각 0.75, 0.25이고, 에틸에테르와 에틸알콜의 폭발하한값이 각각 1.9vol%, 4.3vol%일 때 혼합가스의 폭발하한값은 약 몇 vol%인가?



    문제이미지

    51

    5과목(화학설비 안전관리) 301~385

    ☆☆☆☆☆☆

    헥산 1vol%, 메탄 2vol%, 에틸렌 2vol%, 공기 95vol%로 된 혼합가스의 폭발하한계 값(vol%)은 약 얼마인가?



    문제이미지

    52

    5과목(화학설비 안전관리) 301~385

    가연성 가스 혼합물을 구성하는 각 성분의 조성과 연소범위가 다음 [표]와 같을 때 혼합 가스의 연소하한값은 약 몇 vol% 인가?

    문제이미지



    문제이미지

    53

    5과목(화학설비 안전관리) 301~385

    메탄 50vol%, 에탄 30vol%, 프로판 20vol% 혼합가스의 공기 중 폭발 하한계는?(단, 메탄, 에탄, 프로판의 폭발 하한계는 각각 5vol%, 3vol%, 2.1vol%이다.)



    문제이미지

    54

    5과목(화학설비 안전관리) 301~385

    메탄 20%, 에탄 40%, 프로판 40%로 구성된 혼합가스가 공기 중에서 연소할 때 이 혼합가스의 이론적 화학양론 조성은 약 몇%인가?

    (단, 메탄, 에탄, 프로판의 양론농도(Cst)는 각각 9.5%, 5.6%, 4.0%이다.)



    문제이미지

    55

    5과목(화학설비 안전관리) 301~385

    ☆☆

    프로판(C3H8C_3H_8) 가스가 공기 중 연소할 때의 화학양론농도는 약 얼마인가?

    (단, 공기 중의 산소농도는 21vol%이다.)



    문제이미지

    56

    5과목(화학설비 안전관리) 301~385

    메탄이 공기 중에서 연소될 때의 이론혼합비(화학양론조성)는 약 몇 vol%인가?



    문제이미지

    57

    5과목(화학설비 안전관리) 301~385

    ☆☆

    다음 중 완전연소조성농도가 가장 낮은 것은?



    문제이미지

    58

    5과목(화학설비 안전관리) 301~385

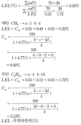
    메탄(CH4CH_4) 70vol%, 부탄(C4H10C_4H_{10}) 30vol% 혼합가스의 25℃, 대기압에서의 공기 중 폭발하한계(vol%)는 약 얼마인가?

    (단, 각 물질의 폭발하한계는 다음 식을 이용하여 추정, 계산한다.)

    문제이미지



    문제이미지

    59

    5과목(화학설비 안전관리) 301~385

    ☆☆

    에틸렌(C2H4C_2H_4)이 완전연소하는 경우 다음의 Jones을 이용하여 계산할 경우 연소하한계는 약 몇 vol%인가?


    jones식: LFL=0.55CstLFL=0.55∙C_{st}



    문제이미지

    60

    5과목(화학설비 안전관리) 301~385

    ☆☆

    다음 중 벤젠(C6H6C_6H_6)의 공기 중 폭발하한계값(vol%)에 가장 가까운 것은?



    문제이미지

    61

    5과목(화학설비 안전관리) 301~385

    탄화수소 증기의 연소하한값 추정식은 연료의 양론농도(CstC_{st})의 0.55배이다. 프로판 1몰의 연소반응식이 다음과 같을 때 연소하한값은 약 몇 vol%인가?


    C3H8+5O2C_3H_8 + 5O_2 -> 3CO2+4H2O3CO_2 + 4H_2O


    문제이미지

    62

    5과목(화학설비 안전관리) 301~385

    프로판(C3H8C_3H_8)의 연소에 필요한 최소 산소농도의 값은?

    (단, 프로판의 폭발하한은 Jone식에 의해 추산한다.)



    문제이미지

    63

    5과목(화학설비 안전관리) 301~385

    ☆☆

    프로판(C3H8C_3H_8)의 연소하한계가 2.2vol%일 때 연소를 위한 최소산소농도(MOC)는 몇 vol%인가?


    문제이미지

    64

    5과목(화학설비 안전관리) 301~385

    ☆☆

    부탄(C4H10C_4H_{10})의 연소에 필요한 최소산소농도(MOC)를 추정하여 계산하면 약 몇 vol%인가?

    (단, 부탄의 폭발하한계는 공기 중에서 1.6vol%이다.)


    문제이미지

    65

    5과목(화학설비 안전관리) 301~385

    다음 [표]의 가스를 위험도가 큰 것부터 작은 순으로 나열한 것은?

    문제이미지



    ∴ 위험도: 이황화탄소>아세틸렌>산화에틸렌>수소

    66

    5과목(화학설비 안전관리) 301~385

    각 물질(A~D)의 폭발상한계와 하한계가 다음 [표]와 같을 때 다음 중 위험도가 가장 큰 물질은?

    문제이미지


    문제이미지

    67

    5과목(화학설비 안전관리) 301~385

    ☆☆

    공기 중에서 폭발범위가 12.5~74vol%인 일산화탄소의 위험도는 얼마인가?


    문제이미지

    68

    5과목(화학설비 안전관리) 301~385

    공기 중에서 A가스의 폭발하한계는 2.2vol%이다. 이 폭발하한계 값을 기준으로 하여 표준 상태에서 A가스와 공기의 혼합기체 1m31m^3에 함유되어 있는 A가스의 질량을 구하면약 몇g인가?

    (단, A가스 분자량은 26이다.)


    문제이미지

    69

    5과목(화학설비 안전관리) 301~385

    ☆☆

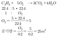
    공기 중에서 이황화탄소(CS2CS_2)의 폭발한계는 하한값이 1.25vol%, 상한값이 44vol%이다. 이를 20℃ 대기압 하에서 mg/L의 단위로 환산하면 하한값과 상한값은 각각 약 얼마인가?

    (단, 이황화탄소의 분자량은 76.1이다.)


    문제이미지

    70

    5과목(화학설비 안전관리) 301~385

    ☆☆

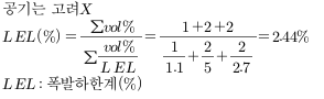
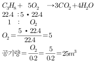
    프로판가스 1m31m^3를 완전 연소시키는데 필요한 이론 공기량은 몇 m3m^3인가?

    (단, 공기 중의 산소농도는 20vol%이다.)


    문제이미지

    71

    5과목(화학설비 안전관리) 301~385

    다음 중 에틸알콜(C2H5OHC_2H_5OH)이 완전연소 시는 CO2CO_2H2OH_2O의 몰수로 알맞은 것은?


    C2H5OH+3O2C_2H_5OH+3O_2 -> 2CO2+3H2O2CO_2+3H_2O

    72

    5과목(화학설비 안전관리) 301~385

    ☆☆

    비중이 1.5이고, 직경이 74μm인 분체가 종말속도 0.2m/s로 직경 6m의 사일로(silo)에서 질량유속 400kg/h로 흐를 때 평균 농도는 약 얼마인가?


    문제이미지

    73

    5과목(화학설비 안전관리) 301~385

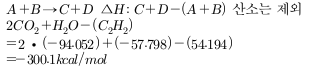
    아세틸렌가스가 다음과 같은 반응식에 의하여 연소할 때 연소열은 약 몇 kcal/mol인가?

    (단, 다음의 열역학 표를 참조하여 계산한다.)

    문제이미지


    문제이미지

    74

    5과목(화학설비 안전관리) 301~385

    ☆☆

    어떤 습한 고체재료 10kg을 완전 건조 후 무게를 측정하였더니 6.8kg이었다. 이 재료의 건량 기준 함수율은 몇 kg·H2O/kg인가?


    75

    5과목(화학설비 안전관리) 301~385

    ☆☆☆

    액화 프로판 310kg을 내용적 50L 용기에 충전할 때 필요한 소요 용기의 수는 몇 개인가?

    (단, 액화 프로판의 가스정수는 2.35이다.)



    문제이미지

    76

    5과목(화학설비 안전관리) 301~385

    ☆☆

    25℃ 액화프로판가스 용기에 10kg의 LPG가 들어있다. 용기가 파열되어 대기압으로 되었다고 한다. 파열되는 순간 증발되는 프로판의 질량은 약 얼마인가?

    (단, LPG의 비열은 2.4kJ/kg∙℃이고, 표준비점은 -42.2℃ 증발잠열은 384.2kJ/kg이라고 한다.)



    문제이미지

    77

    5과목(화학설비 안전관리) 301~385

    ☆☆

    20℃, 1기압의 공기를 5기압으로 단열압축하면 공기의 온도는 약 몇 ℃가 되겠는가?

    (단, 공기의 비열비는 1.4이다.)



    문제이미지

    78

    5과목(화학설비 안전관리) 301~385

    단열반응기에서 100℉, 1atm의 수소가스를 압축하는 반응기를 설계할 때 안전하게 조업할 수 있는 최대압력은 약 몇 atm인가?

    (단, 수소의 자동발화온도는 1,075℉이고, 수소는 이상 기체로 가정하고, 비열비(r)는 1.4이다.)



    문제이미지

    79

    5과목(화학설비 안전관리) 301~385

    ☆☆☆☆☆☆☆

    5% NaOH 수용액과 10% NaOH 수용액을 반응기에 혼합하여 6% 100kg의 NaOH 수용액을 만들려면 각각 몇 kg의 NaOH 수용액이 필요한가?


    5% xkg10% (100-x)kg이라면

    5x+10(100-x)=600

    5x+1,000-10x=600

    -5x=-400

    x=80

    따라서, 5% NaOH 수용액: 80kg

    10% NaOH 수용액: 20kg

    80

    5과목(화학설비 안전관리) 301~385

    공기 중 암모니아가 20ppm(노출기준 25ppm), 톨루엔이 20ppm(노출기준 50ppm)이 완전 혼합되어 존재하고 있다. 혼합물질의 노출기준을 보정하는데 활용하는 노출지수는 약 얼마인가?

    (단, 두 물질 간에 유해성이 인체의 서로 다른 부위에 작용한다는 증거는 없다.)



    문제이미지

    81

    5과목(화학설비 안전관리) 301~385

    ☆☆

    공기 중 아세톤의 농도가 200ppm(TLV 500ppm), 메틸에틸케톤(MEK)의 농도가 100ppm(TLV 200ppm)일 때 혼합물질의 허용농도는 약 몇 ppm인가?

    (단, 두 물질은 서로 상가작용을 하는 것으로 가정한다.)



    문제이미지

    82

    5과목(화학설비 안전관리) 301~385

    ☆☆

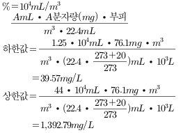
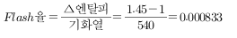
    대기압에서 물의 엔탈피가 1kcal/kg이었던 것이 가압하여 1.45kcal/kg을 나타내었다면 Flash율은 얼마인가?(단, 물의 기화열은 540cal/g이라고 가정한다.)



    문제이미지

    83

    5과목(화학설비 안전관리) 301~385

    산업안전보건법에서 정한 공정안전보고서의 제출대상 업종이 아닌 사업장으로서 유해위험물질의 1일 취급량이 염소 10,000kg, 수소 20,000kg인 경우 공정안전보고서 제출대상 여부를 판단하기 위한 R값은 얼마인가?

    (단, 유해위험물질의 규정수량은 표에 따른다.)

    문제이미지


    문제이미지

    84

    5과목(화학설비 안전관리) 301~385

    대기압하의 직경이 2m인 물탱크에 탱크 바닥에서부터 2m 높이까지의 물이 들어있다. 이 탱크의 바닥에서 0.5m 위 지점에 직경이 1cm인 작은 구멍이 나서 물이 새어 나오고 있다. 구멍의 위치까지 물이 모두 새어 나오는데 필요한 시간은 약 얼마인가?

     (단, 탱크의 대기압은 0이며, 배출계수 0.61로 한다.)


    문제이미지

    85

    5과목(화학설비 안전관리) 301~385

    열교환탱크 외부를 두께 0.2m의 단열재(열전도율 k=0.037kcal/m·h·℃)로 보온하였더니 단열재 내면은 40℃, 외면은 20℃이었다. 면적 1m2당 1시간에 손실되는 열량(kcal)은?


    문제이미지