모두CBT | 국가고시 실기시험 부시기!

3과목(기계기구 및 설비안전관리) 301~364 해설 페이지

3과목(기계기구 및 설비안전관리) 301~364

    1

    3과목(기계기구 및 설비안전관리) 301~364

    ☆☆

    와이어로프의 꼬임은 일반적으로 특수로프를 제외하고는 보통 꼬임(Ordinary Lay)과 랭 꼬임(Lang's Lay)으로 분류할 수 있다. 다음 중 랭 꼬임과 비교하여 보통 꼬임의 특징에 관한 설명으로 틀린 것은?


    문제이미지

    2

    3과목(기계기구 및 설비안전관리) 301~364

    ☆☆

    다음 중 소성가공을 열간가공과 냉간가공으로 분류하는 가공온도의 기준은?


    재결정 온도가 높으면 열간가공, 재결정 온도가 낮으면 냉간가공이다.

    3

    3과목(기계기구 및 설비안전관리) 301~364

    다음 용접 중 불꽃 온도가 가장 높은 것은?


    산소-메탄 용접: 2,700℃

    산소-수소 용접: 2,920℃

    산소-프로판 용접: 2,820℃

    산소-아세틸렌 용접: 3,430℃

    4

    3과목(기계기구 및 설비안전관리) 301~364

    ☆☆

    가정용 LPG탱크와 같이 둥근 원통형의 압력용기에 내부압력 P가 작용하고 있다. 이때 압력용기 재료에 발생하는 원주응력(hoop stress)은 길이(축)방향응력(longitudinal stress)의 얼마가 되는가?


    문제이미지

    5

    3과목(기계기구 및 설비안전관리) 301~364

    반복응력을 받게 되는 기계구조 부분의 설계에서 허용응력을 결정하기 위한 기초강도로 가장 적합한 것은?


    문제이미지

    6

    3과목(기계기구 및 설비안전관리) 301~364

    수공구 취급 시의 안전수칙으로 적절하지 않은 것은?


    렌치는 올바르게 끼우고 몸쪽으로 당겨 사용한다.

    7

    3과목(기계기구 및 설비안전관리) 301~364

    다음 중 정(chisel) 작업 시 안전수칙으로 적합하지 않은 것은?


    문제이미지

    8

    3과목(기계기구 및 설비안전관리) 301~364

    [보기]와 같은 안전 수칙을 적용해야 하는 수공구는?

    문제이미지


    문제이미지

    9

    3과목(기계기구 및 설비안전관리) 301~364

    다음 중 정 작업 시의 작업안전수칙으로 틀린 것은?


    문제이미지

    10

    3과목(기계기구 및 설비안전관리) 301~364

    가스 용접에 이용되는 아세틸렌가스 용기의 색상으로 옳은 것은?


    문제이미지

    11

    3과목(기계기구 및 설비안전관리) 301~364

    안전색채와 기계장비 또는 배관의 연결이 잘못된 것은?


    문제이미지

    12

    3과목(기계기구 및 설비안전관리) 301~364

    파이프서포트의 최대사용길이에서 압축강도 기준은?

    파이프서포트의 최대사용길이에서 압축강도는 40,000N 이상이어야 한다.

    13

    3과목(기계기구 및 설비안전관리) 301~364

    교류아크 용접에서 지동시간이란?

    -"시동시간"이란 용접봉을 피용접물에 접촉시켜서 전격방지기의 주접점이 폐로될(닫힐) 때까지의 시간을 말한다.

    -"지동시간"이란 용접봉 홀더에 용접기 출력측의 무부하전압이 발생한 후 주접점이 개방될 때까지의 시간을 말한다.

    -"표준시동감도"란 정격전원전압(전원을 용접기의 출력측에서 취하는 경우는 무부하전압의 하한값을 포함한다)에 있어서 전격방지기를 시동시킬 수 있는 출력회로의 시동감도로서 명판에 표시된 것을 말한다.

    14

    3과목(기계기구 및 설비안전관리) 301~364

    전격방지기 정격주파수에 대해 옳지 않은 것은?

    정격주파수는 다음 각 목과 같이 한다.

    가. 용접기에 적용되는 것에 대해서는 60헤르쯔(㎐)로 한다.

    나. SP-E형으로 보조전원을 사용하는 것에 대해서는 그 보조전원의 공칭주파수 또는 정격주파수로 한다.

    다. 전격방지기가 특정의 주파수에 한정되지 않고 넓은 주파수의 범위로 상용할 수 있는 것에 대해서는 적용 가능한 주파수범위를 정하고 명판에 표시해야 한다.

    15

    3과목(기계기구 및 설비안전관리) 301~364

    개방 시 기계의 작동이 정지되는 구조의 구동부 방호 연동장치를 설치해야 되는 진공포장기의 부위로 옳지 않은 것은?

    진공포장기 및 랩핑기의 다음 각 호의 부위에는 개방 시 기계의 작동이 정지되는 구조의 구동부 방호 연동장치를 설치하여야 한다. 다만, 연동회로의 구성이 곤란한 부위에는 고정식 방호가드를 설치하여야 한다.

    1. 릴 풀림장치 등 구동부

    2. 열 봉합장치 등 고열발생 부위

    3. 포장 릴(릴 풀림장치 포함) 주변

    4. 자동 스플라이싱 장치 주변

    5. 포장재 절단용 칼날 주변

    16

    3과목(기계기구 및 설비안전관리) 301~364

    포장기계 구동부 방호 연동장치 설치기준으로 옳지 않은 것은?

    위험기계·기구 방호조치 기준/22조

    구동부 방호 연동장치는 다음 각 호의 요건에 적합하게 설치하여야 한다.

    1. 정해진 위치에 견고하게 고정될 것

    2. 공구를 사용하여야 해체할 수 있을 것

    3. 연동장치는 방호덮개 등을 닫은 후 자동으로 재기동되지 아니하고 별도의 조작에 의해서만 기동될 것

    4. 구동부와 방호덮개 등의 연동장치가 상호 간섭되지 않도록 충분한 안전거리를 확보할 것

    17

    3과목(기계기구 및 설비안전관리) 301~364

    절연봉 성능기준상 일반구조로 옳은 것은?

    1. 절연봉 등의 직경은 규정된 허용 한계값 이내이어야 한다.

    2. 주어진 구간에서 두 직경사이의 차이는 1mm 이내이어야 한다.

    3. 절연봉 등의 색상은 주문자에 의해 규정되어야 한다.

    4. 절연관의 내부 폼은 절연관의 벽에 접착되어야 하며, 폼 및 접착제는 다음의 시험 중에 부분적으로 손상되는 것 이외의 그 어떠한 열화도 있어서는 안 된다.

    18

    3과목(기계기구 및 설비안전관리) 301~364

    훅의 법칙을 바르게 설명한 항은?


    훅의 법칙(Hook's Law)

    탄성한도내에서 응력과 변형률 관계를 설명한 법칙

    문제이미지

    19

    3과목(기계기구 및 설비안전관리) 301~364

    크레인에서 일반적인 권상용 와이어로프 및 권상용 체인의 안전률 기준은?

    사업주는 양중기의 와이어로프 등 달기구의 안전계수(달기구 절단하중의 값을 그 달기구에 걸리는 하중의 최대값으로 나눈 값을 말한다)가 다음 각 호의 구분에 따른 기준에 맞지 않는 경우에는 이를 사용해선 안 된다.

    1. 근로자가 탑승하는 운반구를 지지하는 달기와이어로프 또는 달기체인의 경우: 10 이상

    2. 화물의 하중을 직접 지지하는 달기와이어로프 또는 달기체인의 경우: 5 이상

    3. 훅, 샤클, 클램프, 리프팅빔 경우: 3 이상

    4. 그 밖의 경우: 4 이상

    20

    3과목(기계기구 및 설비안전관리) 301~364

    ☆☆

    다음 중 지게차의 안정도에 관한 설명으로 틀린 것은?


    지게차 안정도: 지게차 하역, 운반 시 전도에 대한 안전성을 표시하는 값

    21

    3과목(기계기구 및 설비안전관리) 301~364

    다음 중 지게차의 작업 상태별 안정도에 관한 설명으로 틀린 것은?


    문제이미지

    22

    3과목(기계기구 및 설비안전관리) 301~364

    기본 무부하 상태에서 지게차 주행 시의 좌우 안정도 기준은?


    문제이미지

    23

    3과목(기계기구 및 설비안전관리) 301~364

    지게차의 안정을 유지하기 위한 안정도 기준으로 틀린 것은?


    ②: 부하상태에서 하역작업 시의 좌우 안정도는 6% 이내이어야 한다.

    문제이미지

    24

    3과목(기계기구 및 설비안전관리) 301~364

    ☆☆

    지게차가 부하상태에서 수평거리가 12m이고, 수직높이가 1.5m인 오르막길을 주행할 때 이 지게차의 전후 안정도와 안정도 기준의 만족 여부로 옳은 것은?


    주행시 전후안정도(기준부하상태): 18% 이내

    → 안정도= 수직수평\dfrac {수직} {수평} = 1.512\dfrac {1.5} {12}

    =0.125 = 12.5%

    → 12.5%는 18% 이내이므로 만족한다.

    문제이미지

    25

    3과목(기계기구 및 설비안전관리) 301~364

    ☆☆

    지게차의 높이가 6m이고, 안정도가 30%일 때 지게차의 수평거리는 얼마인가?


    문제이미지

    26

    3과목(기계기구 및 설비안전관리) 301~364

    2줄 나사의 피치가 0.75mm일 때 이 나사의 리드(lead)는 얼마인가?


    1줄 나사 리드=피치

    2줄 나사 리드=2∙피치=2∙0.75=1.5mm

    리드: 1회전 시 이동거리

    피치: 나사산과 나사산 거리

    27

    3과목(기계기구 및 설비안전관리) 301~364

    와이어로프의 파단하중을 P(kg), 로프가닥수를 N, 안전하중을 Q(kg)라고 할 때 다음 중 와이어로프의 안전률 S를 구하는 공식은?


    문제이미지

    28

    3과목(기계기구 및 설비안전관리) 301~364

    ☆☆☆☆

    다음 중 기계설계 시 사용되는 안전계수를 나타내는 식으로 틀린 것은?


    문제이미지

    29

    3과목(기계기구 및 설비안전관리) 301~364

    ☆☆

    다음 중 안전률을 구하는 산식으로 옳은 것은?


    문제이미지

    30

    3과목(기계기구 및 설비안전관리) 301~364

    취성재료의 극한강도가 128MPa이며, 허용응력이 64MPa일 경우 안전계수는?

    안전률 = 극한강도허용응력\dfrac {극한강도} {허용응력} = 12864\dfrac {128} {64}

    = 2

    31

    3과목(기계기구 및 설비안전관리) 301~364

    일반구조용 압연강판(SS275)으로 구조물을 설계할 때 허용응력을 10kg/mm2으로 정하였다. 이때 적용된 안전률은?


    문제이미지

    32

    3과목(기계기구 및 설비안전관리) 301~364

    ☆☆

    허용응력 1kN/mm2이고, 단면적 2mm2인 강판의 극한하중이 4,000N이라면 안전률은 얼마인가?


    문제이미지

    33

    3과목(기계기구 및 설비안전관리) 301~364

    ☆☆

    단면적이 1,800mm2인 알루미늄 봉의 파괴강도는 70MPa이다. 안전률을 2로 하였을 때 봉에 가해질 수 있는 최대하중은 얼마인가?


    문제이미지

    34

    3과목(기계기구 및 설비안전관리) 301~364

    단면 60cm2인 목재가 4,000kg의 압축하중을 받고 있다. 안전률을 5로 하면 실제 사용응력은 허용응력의 몇%나 되는가? (단, 목재의 압축강도는 500kg/cm2이다.)


    문제이미지

    35

    3과목(기계기구 및 설비안전관리) 301~364

    ☆☆☆☆

    인장강도가 350N/mm2인 강판의 안전률이 4라면 허용응력은 몇 N/mm2인가?


    문제이미지

    36

    3과목(기계기구 및 설비안전관리) 301~364

    극한하중이 600N인 체인에 안전계수가 4일 때 체인의 정격하중(N)은?


    문제이미지

    37

    3과목(기계기구 및 설비안전관리) 301~364

    안전계수가 6인 체인의 정격하중이 100kg일 경우 이 체인의 극한강도는 몇kg인가?


    문제이미지

    38

    3과목(기계기구 및 설비안전관리) 301~364

    안전계수가 5인 체인의 최대설계하중이 1,000N이라면 이 체인의 극한하중은 약 몇N인가?


    문제이미지

    39

    3과목(기계기구 및 설비안전관리) 301~364

    지게차로 중량물 운반 시 차량의 중량은 30kN, 전차륜에서 하물 중심까지의 거리는 2m, 전차륜에서 차량 중심까지의 최단거리를 3m라고 할 때, 적재 가능한 하물의 최대중량은 얼마인가?


    문제이미지

    40

    3과목(기계기구 및 설비안전관리) 301~364

    ☆☆☆

    화물중량이 200kgf, 지게차중량이 400kgf, 앞바퀴에서 화물의 무게중심까지의 최단거리가 1m일 때 지게차의 무게중심까지 최단거리는 최소 몇m를 초과해야 하는가?


    문제이미지

    41

    3과목(기계기구 및 설비안전관리) 301~364

    무부하 상태에서 지게차로 20km/h의 속도로 주행할 때 좌우 안정도는 몇% 이내이어야 하는가?


    문제이미지

    42

    3과목(기계기구 및 설비안전관리) 301~364

    다음과 같은 조건에서 원통용기를 제작했을 때 안전성(안전도)이 높은 것부터 순서대로 나열된 것은?

    문제이미지


    문제이미지

    43

    3과목(기계기구 및 설비안전관리) 301~364

    로울러가 맞물림점의 전방에 개구부의 간격을 30mm로 하여 가드를 설치하고자 한다. 가드의 설치 위치는 맞물림점에서 적어도 얼마의 간격을 유지하여야 하는가?


    문제이미지

    44

    3과목(기계기구 및 설비안전관리) 301~364

    개구면에서 위험점까지의 거리가 50mm 위치에 풀리(pully)가 회전하고 있다. 가드(Guard)의 개구부 간격으로 설정할 수 있는 최대값은?


    문제이미지

    45

    3과목(기계기구 및 설비안전관리) 301~364

    롤러기의 가드와 위험점간의 거리가 100mm일 경우 ILO 규정에 의한 가드 개구부의 안전간격은?


    문제이미지

    46

    3과목(기계기구 및 설비안전관리) 301~364

    ☆☆

    롤러 작업 시 위험점에서 가드(guard) 개구부까지의 최단 거리를 60mm라고 할 때, 최대로 허용할 수 있는 가드 개구부 틈새는 약 몇mm인가?


    문제이미지

    47

    3과목(기계기구 및 설비안전관리) 301~364

    동력전달부분의 전방 35cm 위치에 일반 평형보호망을 설치하고자 한다. 보호망의 최대 구멍의 크기는 몇 mm인가?


    문제이미지

    48

    3과목(기계기구 및 설비안전관리) 301~364

    방호장치를 설치할 때 중요한 것은 기계의 위험점으로부터 방호장치까지의 거리이다. 위험한 기계의 동작을 제동시키는데 필요한 총소요시간을 t(초)라고 할 때 안전거리(S)의산출식으로 옳은 것은?


    문제이미지

    49

    3과목(기계기구 및 설비안전관리) 301~364

    ☆☆☆

    광전자식 방호장치의 광선에 신체의 일부가 감지된 후로부터 급정지기구가 작동개시 하기까지의 시간이 40ms이고, 광축의 설치거리가 96mm일 때 급정지기구가 작동개시한 때로부터 프레스기의 슬라이드가 정지될 때까지의 시간은 얼마인가?


    문제이미지

    50

    3과목(기계기구 및 설비안전관리) 301~364

    클러치 맞물림 개소수가 4개, 양수기동식 안전장치의 안전거리가 360mm일 때 양손으로 누름단추를 조작하고 슬라이드가 하사점에 도달하기까지의 소요 최대시간은 얼마인가?


    문제이미지

    51

    3과목(기계기구 및 설비안전관리) 301~364

    ☆☆☆☆

    프레스 작동 후 슬라이드가 하사점에 도달할 때까지의 소요시간이 0.5s일 때 양수기동식 방호장치의 안전거리는 최소 얼마인가?


    문제이미지

    52

    3과목(기계기구 및 설비안전관리) 301~364

    ☆☆☆☆☆

    완전 회전식 클러치 기구가 있는 동력프레스에서 양수기동식 방호장치의 안전거리는 얼마 이상이어야 하는가?

    (단, 확동 클러치의 봉합개소의 수는 8개, 분당 행정수는 250SPM을 가진다.)


    문제이미지

    53

    3과목(기계기구 및 설비안전관리) 301~364

    ☆☆

    지름이 D(mm)인 연삭기 숫돌의 회전수가 N(rpm)일 때 숫돌의 원주속도(m/min)를 옳게 표시한 식은?


    문제이미지

    54

    3과목(기계기구 및 설비안전관리) 301~364

    ☆☆☆☆

    500rpm으로 회전하는 연삭숫돌의 지름이 300mm일 때 원주속도(m/min)은?


    문제이미지

    55

    3과목(기계기구 및 설비안전관리) 301~364

    ☆☆☆

    드릴링 머신에서 드릴의 지름이 20mm이고 원주속도가 62.8m/min일 때 드릴의 회전수는 약 몇 rpm인가?


    문제이미지

    56

    3과목(기계기구 및 설비안전관리) 301~364

    ☆☆☆

    롤러기의 앞면 롤의 지름이 300mm, 분당회전수가 30회일 경우 허용되는 급정지장치의 급정지거리는 약 몇mm 이내이어야 하는가?


    문제이미지

    57

    3과목(기계기구 및 설비안전관리) 301~364

    다음 중 롤러의 급정지 성능으로 적합하지 않은 것은?


    문제이미지

    58

    3과목(기계기구 및 설비안전관리) 301~364

    질량이 100kg인 물체를 그림과 같이 길이가 같은 2개의 와이어로프로 매달아 옮기고자 할 때 와이어로프 Ta에 걸리는 장력은 약 몇N인가?

    문제이미지


    문제이미지

    59

    3과목(기계기구 및 설비안전관리) 301~364

    천장크레인에 중량 3kN의 화물을 2줄로 매달았을 때 매달기용 와이어(sling wire)에 걸리는 장력은 얼마인가?

     (단, 슬링와이어 2줄 사이의 각도는 55°이다.)


    문제이미지

    60

    3과목(기계기구 및 설비안전관리) 301~364

    ☆☆

    질량100kg 화물이 와이어로프에 매달려 2m/s2의 가속도로 권상되고 있다. 이때 와이어로프에 작용하는 장력의 크기는 몇N인가?

    (단, 여기서 중력가속도는 10m/s2로 한다.)


    문제이미지

    61

    3과목(기계기구 및 설비안전관리) 301~364

    ☆☆

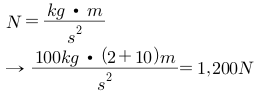
    크레인 로프에 질량 100kg인 물체를 2m/s2의 가속도로 감아올릴 때, 로프에 걸리는 하중은 약 몇 N인가?


    문제이미지

    62

    3과목(기계기구 및 설비안전관리) 301~364

    ☆☆

    크레인 작업 시 와이어로프에 4ton의 중량을 걸어 2m/s2의 가속도로 감아올릴 때, 로프에 걸리는 총 하중은 얼마인가?


    문제이미지

    63

    3과목(기계기구 및 설비안전관리) 301~364

    그림과 같이 50kN의 중량물을 와이어 로프를 이용하여 상부에 60°의 각도가 되도록 들어 올릴 때, 로프 하나에 걸리는 하중(T)은 약 몇kN인가?

    문제이미지


    문제이미지

    64

    3과목(기계기구 및 설비안전관리) 301~364

    ☆☆

    어떤 양중기에서 3,000kg의 질량을 가진 물체를 한쪽이 45°인 각도로 그림과 같이 2개의 와이어로프로 직접 들어올릴 때, 안전율이 고려된 가장 적절한 와이어로프 지름을 표에서 구하면?

    (단, 안전율은 산업안전보건법령을 따르고, 두 와이어로프의 지름은 동일하며, 기준을 만족하는 가장 작은 지름을 선정한다.)

    문제이미지



    문제이미지