모두CBT | 국가고시 실기시험 부시기!

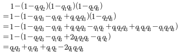
2과목(인간공학 및 위험성평가관리) 301~416 해설 페이지

2과목(인간공학 및 위험성평가관리) 301~416

    1

    2과목(인간공학 및 위험성평가관리) 301~416

    다음 중 중(重)작업의 경우 작업대의 높이로 가장 적절한 것은?


    문제이미지

    2

    2과목(인간공학 및 위험성평가관리) 301~416

    다음 중 서서하는 작업에서 정밀한 작업, 경작업, 중작업 등을 위한 작업대의 높이에 기준이 되는 신체부위는?


    작업대 높이 기준은 팔꿈치이다.

    문제이미지

    3

    2과목(인간공학 및 위험성평가관리) 301~416

    ☆☆☆☆

    작업개선을 위하여 도입되는 원리인 ECRS에 포함되지 않는 것은?

    작업개선 ECRS원리

    E: 제거(Eliminate)-불필요한 작업요소 제거

    C: 결합(Combine)-작업요소의 결합

    R: 재배치(Rearrange)-작업순서의 재배치

    S: 단순화(Simplify)-작업요소의 단순화

    4

    2과목(인간공학 및 위험성평가관리) 301~416

    작업공간의 포락면(包絡面)에 대한 설명으로 맞는 것은?

    포락면

    1. 개인이 그 안에서 일하는 3차원 공간이다.

    2. 작업의 성질에 따라 포락면의 경계가 달라진다.

    3. 작업복 등은 포락면에 영향을 준다.

    4. 가장 작은 포락면은 몸통을 움직이는 공간이 아니다.

    5. 한 장소에 앉아 수행하는 작업활동에서 사람이 작업하는 데 사용하는 공간

    5

    2과목(인간공학 및 위험성평가관리) 301~416

    ☆☆☆

    작업공간 설계에 있어 “접근제한 요건”에 대한 설명으로 맞는 것은?


    문제이미지

    6

    2과목(인간공학 및 위험성평가관리) 301~416

    다음 중 가속도에 관한 설명으로 틀린 것은?


    선형가속도는 일정 비율로 속도가 증가하는 것이다.

    7

    2과목(인간공학 및 위험성평가관리) 301~416

    인간전달함수(Human Transfer Function)의 결점이 아닌 것은?


    인간전달함수 결점 종류

    입력의 협소성/불충분한 직무 묘사/시점적 제약성

    8

    2과목(인간공학 및 위험성평가관리) 301~416

    인간이 기계와 비교하여 정보처리 및 결정의 측면에서 상대적으로 우수한 것은?


    문제이미지

    9

    2과목(인간공학 및 위험성평가관리) 301~416

    ☆☆☆

    일반적으로 기계가 인간보다 우월한 기능에 해당되는 것은?


    문제이미지

    10

    2과목(인간공학 및 위험성평가관리) 301~416

    ☆☆

    다음 중 시스템 안전 프로그램 계획(SSPP)에 포함되지 않아도 되는 사항은?


    시스템 안전계획(SSPP) 포함사항

    1. 계획 개요

    2. 안전조직

    3. 계약조건

    4. 시스템안전기준 및 해석

    5. 안전성 평가

    6. 안전자료 수집과 갱신

    7. 경과와 결과 보고

    11

    2과목(인간공학 및 위험성평가관리) 301~416

    조종-반응비(Control-Response Ratio, C/R비)에 대한 설명 중 틀린 것은?



    CR=조종표시\dfrac C R = \dfrac {조종} {표시}

    C/R비가 클수록 조종장치는 둔감하다.

    ex) 버스 핸들을 크게 돌렸지만(조종), 바퀴

    는 조금 회전을 한다(표시).

    12

    2과목(인간공학 및 위험성평가관리) 301~416

    다음 중 조종-반응비율(C/R비)에 관한 설명으로 틀린 것은?



    CR=조종표시\dfrac C R = \dfrac {조종} {표시}

    C/R비가 클수록 조종장치는 둔감하다.

    ex) 버스 핸들을 크게 돌렸지만(조종), 바퀴

    는 조금 회전을 한다(표시).

    13

    2과목(인간공학 및 위험성평가관리) 301~416

    조종장치의 우발작동을 방지하는 방법 중 틀린 것은?

    조종장치 우발작동 방지위해 조종장치 덮개로 덮는 등 방호조치 해야한다.

    14

    2과목(인간공학 및 위험성평가관리) 301~416

    ☆☆

    양립성에 대한 설명 중 틀린 것은?


    문제이미지

    15

    2과목(인간공학 및 위험성평가관리) 301~416

    직무에 대하여 청각적 자극 제시에 대한 음성 응답을 하도록 할 때 가장 관련 있는 양립성은?


    문제이미지

    16

    2과목(인간공학 및 위험성평가관리) 301~416

    A 회사에서는 새로운 기계를 설계하면서 레버를 위로 올리면 압력이 올라가도록 하고, 오른쪽 스위치를 눌렀을 때 오른쪽 전등이 켜지도록 하였다면, 이것은 각각 어떤 유형의 양립성을 고려한 것인가?


    문제이미지

    17

    2과목(인간공학 및 위험성평가관리) 301~416

    “표시장치와 이에 대응하는 조종장치 간의 위치 또는 배열이 인간의 기대와 모순되지 않아야 한다.”는 인간공학적 설계원리와 가장 관계가 같은 것은?

    위치, 배열은 공간으로 해석 가능하다.

    18

    2과목(인간공학 및 위험성평가관리) 301~416

    어떠한 신호가 전달하려는 내용과 연관성이 있어야 하는 것으로 정의되며, 예로써 위험신호는 빨간색, 주의신호는 노란색, 안전신호는 파란색으로 표시하는 것은 다음 중 어떠한 양립성(compatibility)에 해당하는가?


    문제이미지

    19

    2과목(인간공학 및 위험성평가관리) 301~416

    ☆☆

    다음 중 정성적 표시장치를 설명한 것으로 적절하지 않은 것은?

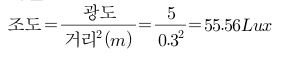
    ④: 정량적 표시장치

    문제이미지

    20

    2과목(인간공학 및 위험성평가관리) 301~416

    ☆☆☆

    정량적 표시장치에 관한 설명으로 맞는 것은?


    ①: 정확한 값을 읽어야 하는 경우 일반적으로 아날로그보다 디지털 표시장치가 유리하다.

    ③: 연속적으로 변화하는 양을 나타내는 데에는 일반적으로 디지털보다 아날로그 표시장치가 유리하다.

    ④: 동침(moving pointer)형 아날로그 표시장치는 바늘의 진행 방향과 증감 속도에 대한 인식적인 암시 신호를 얻는 것이 유리하다.

    21

    2과목(인간공학 및 위험성평가관리) 301~416

    다음 중 아날로그 표시장치를 선택하는 일반적인 요구 사항으로 틀린 것은?


    ①: 일반적으로 동목형보다 동침형 선호한다.

    22

    2과목(인간공학 및 위험성평가관리) 301~416

    운동관계의 양립성을 고려해 동목형(moving scale)표시장치를 바람직하게 설계한 것은?


    문제이미지

    23

    2과목(인간공학 및 위험성평가관리) 301~416

    ☆☆

    다음 중 표시장치에 나타나는 값들이 계속적으로 변하는 경우에는 부적합하며 인접한 눈금에 대한 지침의 위치를 파악할 필요가 없는 경우의 표시장치 형태로 가장 적합한 것은?


    문제이미지

    24

    2과목(인간공학 및 위험성평가관리) 301~416

    정량적 표시장치의 용어에 대한 설명 중 틀린 것은?


    문제이미지

    25

    2과목(인간공학 및 위험성평가관리) 301~416

    고령자의 정보처리 과업을 설계할 경우 지켜야 할 지침으로 틀린 것은?

    정보처리 능력에 한계가 있으므로 시분할 요구량(=단위시간당 처리요구량)을 줄인다.

    26

    2과목(인간공학 및 위험성평가관리) 301~416

    동작의 합리화를 위한 물리적 조건으로 적절하지 않은 것은?

    접촉 면적을 작게 한다.

    27

    2과목(인간공학 및 위험성평가관리) 301~416

    다음 중 항공기나 우주선 비행 등에서 허위감각으로부터 생긴 방향감각의 혼란과 착각 등의 오판을 해결하는 방법으로 가장 적절하지 않은 것은?


    훈련을 한다고 착각 등의 오판이 해결되는 것은 아니다.

    28

    2과목(인간공학 및 위험성평가관리) 301~416

    ☆☆

    정보의 촉각적 암호화 방법으로만 구성된 것은?


    촉각적: 점자/진동/온도

    청각적: 초인종/경보음/모스부호

    시각적: 점멸등/신호등/연기

    29

    2과목(인간공학 및 위험성평가관리) 301~416

    다음 중 일반적으로 대부분의 임무에서 시각적 암호의 효능에 대한 결과에서 가장 성능이 우수한 암호는?


    시각적 암호 성능 크기 순서

    숫자암호 > 색암호 > 영문자암호 > 기하학적 형상암호 > 구성암호

    30

    2과목(인간공학 및 위험성평가관리) 301~416

    암호체계의 사용상에 있어서, 일반적인 지침에 포함되지 않는 것은?


    문제이미지

    31

    2과목(인간공학 및 위험성평가관리) 301~416

    자극-반응 조합의 관계에서 인간의 기대와 모순되지 않는 성질을 무엇이라 하는가?


    문제이미지

    32

    2과목(인간공학 및 위험성평가관리) 301~416

    ☆☆

    특정한 목적을 위해 시각적 암호, 부호 및 기호를 의도적으로 사용할 때에 반드시 고려하여야 할 사항과 가장 거리가 먼 것은?


    문제이미지

    33

    2과목(인간공학 및 위험성평가관리) 301~416

    암호체계의 사용 시 고려해야 될 사항과 거리가 먼 것은?

    단일차원 암호보다 다차원화된 암호가 정보 전달이 촉진된다.

    34

    2과목(인간공학 및 위험성평가관리) 301~416

    작업자가 용이하게 기계ㆍ기구를 식별하도록 암호화(Coding)를 한다. 암호화 방법이 아닌 것은?

    암호화 방법: 형상/크기/휘도/색채/촉감

    35

    2과목(인간공학 및 위험성평가관리) 301~416

    감각저장으로부터 정보를 작업기억으로 전달하기 위한 코드화 분류에 해당되지 않는 것은?


    작업기억으로 전달하기 위한 코드 종류

    시각/음성/청각/미각/후각/의미 코드

    36

    2과목(인간공학 및 위험성평가관리) 301~416

    위험관리의 안전성 평가에서 발생빈도보다손실에 중점을 두며, 기업 간 의존도, 한가지 사고가 여러가지 손실을 수반하는가 하는 안전에 미치는 영향 강도를 평가하는 단계는?


    위험의 분석 및 평가 단계

    위험관리의 안전성 평가에서 발생빈도보다 손실에 중점을 두며, 기업 간 의존도, 한가지 사고가 여러가지 손실을 수반하는가 하는 안전에 미치는 영향의 강도를 평가하는 단계

    37

    2과목(인간공학 및 위험성평가관리) 301~416

    위험관리에서 위험의 분석 및 평가에 유의할 사항으로 적절하지 않은 것은?


    위험의 분석 및 평가 단계

    위험관리의 안전성 평가에서 발생빈도보다 손실에 중점을 두며, 기업 간 의존도, 한가지 사고가 여러가지 손실을 수반하는가 하는 안전에 미치는 영향의 강도를 평가하는 단계

    38

    2과목(인간공학 및 위험성평가관리) 301~416

    커크패트릭의 4수준 평가모형 순서로 올바른 것은?


    문제이미지

    39

    2과목(인간공학 및 위험성평가관리) 301~416

    다음 중 작업자의 안전모를 착용하게 하는 방법 중 인지학습에 대한 설명으로 옳은 것은?


    40

    2과목(인간공학 및 위험성평가관리) 301~416

    사용성 평가 ‘ISO’에서 정의하는 사용자 정의가 아닌 것은?

    사용성 및 유용성 평가

    사용성 평가란 “특정 그룹의 이용자가 특정의 환경에서 특정의 과업을 성취하는데 있어서의 효과성(effectiveness), 효율성(efficiency) 및 만족도(satisfacion)을 측정하는 것”이라고 ISO에서는 정의를 내리고 있다.

    41

    2과목(인간공학 및 위험성평가관리) 301~416

    RULA(Rapid Upper Limb Assessment)의 평가항목으로 옳지 않은 것은?


    문제이미지

    42

    2과목(인간공학 및 위험성평가관리) 301~416

    OWAS(Ovako Working-posture Analysis System) 평가항목으로 옳지 않은 것은?


    OWAS 평가항목: 팔/다리/허리/하중

    43

    2과목(인간공학 및 위험성평가관리) 301~416

    다음을 설명하는 용어는?

    근골격계질환(직업성상지질환)과 관련한 위해인자에 대한 개인작업자 노출정도를 평가하기 위한 목적으로 개발한 평가기법


    문제이미지

    44

    2과목(인간공학 및 위험성평가관리) 301~416

    OWAS의 4수준의 분류로 옳지 않은 것은?


    문제이미지

    45

    2과목(인간공학 및 위험성평가관리) 301~416

    다음 설명에 맞는 용어는?

    인간이 인공물에서 기대하는 감성을 체계적이고 과학적으로 분석, 평가해 최종 물리적 디자인에 구현하는 방법을 연구하고 응용하는 기술


    문제이미지

    46

    2과목(인간공학 및 위험성평가관리) 301~416

    감성공학 방법 중 다음 설명에 알맞은 것은?

    감성 대신 전문평가자가 시제품을 직접 사용하고 느껴진 생리적 감각을 측정해 실제 제품으로 변환시키는 것


    문제이미지

    47

    2과목(인간공학 및 위험성평가관리) 301~416

    1개월 이내에 조사대상 및 조사방법 등을 검토하여 유해요인 조사를 해야 하는 경우가 아닌 것은?

    평가는 상해와 질병 비율의 경향 분석과 근로자의 보상 기록, 근로자 면담, 작업 및 작업장 변화 조사 등을 통하여 다음과 같은 평가지표를 활용하여 실시할 수 있다.

    -특정기간동안 보고된 사례 수를 기준으로 한 근골격계질환 증상자의 발생빈도

    -새로운 발생 사례 수를 기준으로 한 발생율의 비교

    -근로자가 근골격계질환으로 일하지 못한 날을 기준으로 한 근로손실일수의 비교

    -작업개선 전후의 유해요인 노출 특성 변화

    -근로자 만족도 변화

    -제품 불량률 변화 등

    48

    2과목(인간공학 및 위험성평가관리) 301~416

    다음 설명에 맞는 기법으로 옳은 것은?


    작업자를 무작위로 관찰하여 특정 활동에 실제 소비하는 시간의 비율을 추정하고 이에 근거하여 시간 표준을 설정하는 기법


    문제이미지

    49

    2과목(인간공학 및 위험성평가관리) 301~416

    MTM분석 관련내용이며 빈칸에 알맞은 것은?


    시간표에서 각 요소동작을 케이스와 타입에 따라 더 세분하고, 그 각각에 대하여 A마다 시간치를 표시한다. 시간치는 B을 10만 TMU로 하는 TMU 단위로 나타낸다.


    MTM(methods time measurement) 분석

    기본적으로는 WF(work factor)분석법과 동일한 관점에서 실시되는 것이지만, 시간표에서 각 요소동작을 케이스(작업조건이 주는

    곤란성)와 타입(상태 ·속도 등)에 따라 더 세분하고, 그 각각에 대하여 동작의 크기(거리 ·각도)마다 시간치(時間値)를 표시한다.

    시간치는 1시간을 10만 TMU로 하는 TMU 단위로 나타낸다.

    50

    2과목(인간공학 및 위험성평가관리) 301~416

    work factor 분석에서 표준 요소 중 다음을 설명하는 것은?


    2가지 물체를 조합 또는 정리하는 동작


    문제이미지

    51

    2과목(인간공학 및 위험성평가관리) 301~416

    영상표시단말기 작업을 주목적으로 하는 작업실 안의 온도와 습도로 알맞은 값은?

    사업주는 영상표시단말기 작업을 주목적으로 하는 작업실 안의 온도를 18도 이상 24도 이하, 습도는 40퍼센트 이상 70퍼센트 이하를 유지하여야 한다.

    52

    2과목(인간공학 및 위험성평가관리) 301~416

    NIOSH 관련 그래프이다. 번호에 맞는 값이 다른 것은?

    문제이미지



    문제이미지

    53

    2과목(인간공학 및 위험성평가관리) 301~416

    ☆☆

    다음 중 불 대수의 관계식으로 틀린 것은?


    문제이미지

    54

    2과목(인간공학 및 위험성평가관리) 301~416

    다음 중 불(Bool) 대수의 정리를 나타낸 관계식으로 틀린 것은?


    문제이미지

    55

    2과목(인간공학 및 위험성평가관리) 301~416

    ☆☆☆

    현재 시험문제와 같이 4지택일형 문제의 정보량은 얼마인가?

    정보량 = log2대안수 = log24 = 2bit

    56

    2과목(인간공학 및 위험성평가관리) 301~416

    자극과 반응의 실험에서 자극 A가 나타날 경우 1로 반응하고 자극 B가 나타날 경우 2로 반응하는 것으로 하고, 100회 반복하여 표와 같은 결과를 얻었다. 제대로 전달된 정보량을 계산하면 약 얼마인가?

    문제이미지


    문제이미지

    57

    2과목(인간공학 및 위험성평가관리) 301~416

    인간의 반응시간을 조사하는 실험에서 0.1, 0.2, 0.3, 0.4의 점등확률을 갖는 4개의 전등이 있다. 이 자극 전등이 전달하는 정보량은 약 얼마인가?


    문제이미지

    58

    2과목(인간공학 및 위험성평가관리) 301~416

    빨강, 노랑, 파랑의 3가지 색으로 구성된 교통 신호등이 있다. 신호등은 항상 3가지 색으로 구성된 교통 신호등이 있다. 신호등은 항상 3가지 색 중 하나가 켜지도록 되어 있다. 1시간 동안 조사한 결과, 파란등은 총 30분 동안, 빨간등과 노란등은 각각 총 15분 동안 켜진 것으로 나타났다. 이 신호등의 총 정보량은 몇 bit인가?


    문제이미지

    59

    2과목(인간공학 및 위험성평가관리) 301~416

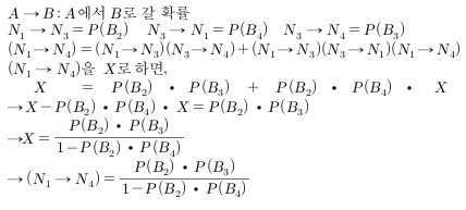
    다음 그림은 THERP를 수행하는 예이다.작업개시점 에서부터 작업종점 까지 도달할 확률은?

    (단, P(Bi), i=1, 2, 3, 4는 해당 확률을 나타내며, 각 직무 과오의 발생은 상호독립이라 가정한다.)

    문제이미지


    문제이미지

    60

    2과목(인간공학 및 위험성평가관리) 301~416

    다음의 FT도에서 사상 A의 발생 확률값은?

    문제이미지

    OR 게이트→1-(1-0.3)(1-0.2)(1-0.2)=0.552

    61

    2과목(인간공학 및 위험성평가관리) 301~416

    ☆☆☆

    다음 FT도에서 최소 컷셋(Minimal cut set)으로만 올바르게 나열한 것은?

    문제이미지


    문제이미지

    62

    2과목(인간공학 및 위험성평가관리) 301~416

    ☆☆

    다음 FT도에서 최소 컷셋을 올바르게 구한 것은?

    문제이미지


    문제이미지

    63

    2과목(인간공학 및 위험성평가관리) 301~416

    ☆☆

    다음 FT도에서 정상사상(Top event)이 발생하는 최소 컷셋의 P(T)는 약 얼마인가?

    (단, 원 안의 수치는 각 사상의 발생확률이다.)

    문제이미지


    T=A+S=A+AC+BC=A(1+C)+BC=A+BC

    =1-(1-0.4)(1-0.3∙0.3)=0.454

    S=DC=(A+B)C=AC+BC

    D=A+B

    64

    2과목(인간공학 및 위험성평가관리) 301~416

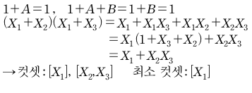
    다음 그림의 결함수에서 최소 패스셋(minimal path sets)과 그 신뢰도 R(t)는?

    (단, 각각의 부품 신뢰도는 0.9이다.)

    문제이미지


    최소 패스셋

    (1+2)+(3,4) →{1},{2},{3,4}


    신뢰도

    ①②부분=1-(1-0.9)(1-0.9)=0.99

    ③④부분=0.9∙0.9=0.81

    → 1-(1-0.99)(1-0.81)=0.9981

    65

    2과목(인간공학 및 위험성평가관리) 301~416

    ☆☆

    그림과 같은 FT도에서 F1=0.015, F2=0.02, F3=0.05이면, 정상사상 T가 발생할 확률은 약 얼마인가?

    문제이미지


    1-(1-0.015∙0.02)(1-0.05)=0.0503

    66

    2과목(인간공학 및 위험성평가관리) 301~416

    FT도에서 ①~⑤ 사상의 발생확률이 모두 0.06일 경우 T 사상의 발생 확률은 약 얼마인가?

    문제이미지


    (1-(1-0.06)(1-0.06)(1-0.06))∙0.06∙0.06=

    0.00061

    67

    2과목(인간공학 및 위험성평가관리) 301~416

    다음의 FT도에서 정상 사상 T의 발생확률은 얼마인가?

    (단, X1, X2, X3의 발생확률은 모두 0.1이다.)

    문제이미지


    68

    2과목(인간공학 및 위험성평가관리) 301~416

    ☆☆☆☆

    그림과 같이 FTA로 분석된 시스템에서 현재 모든 기본사상에 대한 부품이 고장난 상태이다. 부품 X1부터 부품 X5까지 순서대로 복구한다면 어느 부품을 수리 완료하는 시점에서 시스템이 정상가동되는가?

    문제이미지

    밑 3그룹의 각 변수 중 하나라도 복구가 되야 한다.

    순서대로 복구이니!

    X1 복구 시 → 가운데만 복구

    X2 복구 시 → 가운데랑 맨왼쪽 복구

    X3 복구 시 → 3그룹 다 복구

    즉, X3 복구 시 시스템 정상가동된다.

    69

    2과목(인간공학 및 위험성평가관리) 301~416

    발생확률 각각 0.05, 0.08인 두 결함사상이 AND 조합으로 연결된 시스템을 FTA로 분석하였을 때 이 시스템의 신뢰도는 약 얼마인가?


    AND이니 0.05∙0.08=0.004(=고장률)

    신뢰도=1-고장률=1-0.004=0.996

    70

    2과목(인간공학 및 위험성평가관리) 301~416

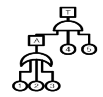
    날개가 2개인 비행기의 양 날개에 엔진이 각각 2개씩 있다. 이 비행기는 양 날개에서 각각 최소한 1개의 엔진은 작동을 해야 추락하지 않고 비행할 수 있다. 각 엔진의 신뢰도가 각각 0.9이며, 각 엔진은 독립적으로 작동한다고 할 때 이 비행기가 정상적으로 비행할 신뢰도는 약 얼마인가?


    문제이미지

    71

    2과목(인간공학 및 위험성평가관리) 301~416

    자동차를 타이어가 4개인 하나의 시스템으로 볼 때, 타이어 1개가 파열될 확률이 0.01이라면, 이 자동차의 신뢰도는 약 얼마인가?


    신뢰도= (1-0.01)4 =0.961

    72

    2과목(인간공학 및 위험성평가관리) 301~416

    ☆☆

    인간의 신뢰도가 0.6, 기계의 신뢰도가 0.9이다. 인간과 기계가 직렬체제로 작업할 때의 신뢰도는?

    신뢰도=0.6∙0.9=0.54

    73

    2과목(인간공학 및 위험성평가관리) 301~416

    ☆☆☆

    인간과 기계 신뢰도가 인간 0.4, 기계 0.95인 경우, 병렬작업 시 전체 신뢰도는?


    1-(1-0.4)(1-0.95)=0.97

    74

    2과목(인간공학 및 위험성평가관리) 301~416

    그림과 같이 7개의 부품으로 구성된 시스템의 신뢰도는 약 얼마인가?

    (단, 네모 안의 숫자는 각 부품의 신뢰도이다.)

    문제이미지


    0.75∙(1-(1-0.8∙0.8)(1-0.9)(1-0.8∙0.8))∙0.75=0.555

    75

    2과목(인간공학 및 위험성평가관리) 301~416

    그림과 같은 시스템의 전체 신뢰도는 약 얼마인가?

    (단, 네모 안의 수치는 각 구성요소의 신뢰도이다.)

    문제이미지

    0.9∙0.9∙(1-(1-0.75)(1-0.63))∙0.9=0.6616

    76

    2과목(인간공학 및 위험성평가관리) 301~416

    다음 그림과 같은 시스템의 신뢰도는 약 얼마인가?

    (단, 각각의 네모 안의 수치는 각 공정의 신뢰도를 나타낸 것이다.)

    문제이미지

    0.8∙0.9∙(1-(1-0.75)(1-0.85))∙(1-(1-0.8)(1-0.9))∙0.85=0.577

    77

    2과목(인간공학 및 위험성평가관리) 301~416

    다음 시스템의 신뢰도는 얼마인가? (단 , 각 요소의 신뢰도는 a, b 가 각 0.8, c, d 가 각 0.6 이다 .)

    문제이미지

    0.8∙(1-(1-0.8)(1-0.6))∙0.6=0.4416

    78

    2과목(인간공학 및 위험성평가관리) 301~416

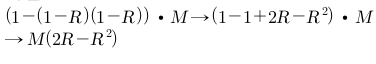
    ☆☆

    다음 그림과 같은 직ㆍ병렬 시스템의 신뢰도는?

    (단, 병렬 각 구성요소의 신뢰도는 R이고, 직렬 구성요소의 신뢰도는 M이다)

    문제이미지


    문제이미지

    79

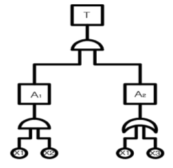
    2과목(인간공학 및 위험성평가관리) 301~416

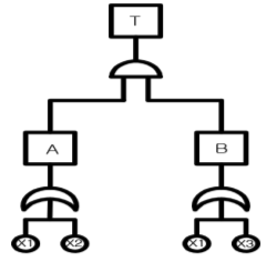
    다음 시스템에 대하여 톱사상(top event)에 도달할 수 있는 최소 컷셋을 구할 때 올바른 집합은?

     (단, X1,X2,X3,X4는 각 부품의 고장확률을 의미하며 집합{X1,X2}는 X1부품과 X2부품이 동시에 고장 나는 경우를 의미한다.)

    문제이미지


    일단, X4는 선에 하나밖에 없으니 고장이 난다. 경우는 두 가지다.

    1. X3이 고장나면 X1,X2 고장여부 상관없이 작동할 방법이 없으므로 X3,X4이 최소 컷셋

    2. X3이 고장 안나면 X1,X2 둘 다 고장나야 작동할 방법이 없으므로 X1,X2,X4이 최소 컷셋

    →따라서 최소컷셋은 {X1,X2,X4},{X3,X4}이다.

    80

    2과목(인간공학 및 위험성평가관리) 301~416

    그림과 같이 신뢰도가 95%인 펌프 A가 각각 신뢰도 90%인 밸브 B와 밸브 C의 병렬밸브계와 직렬계를 이룬 시스템의 실패확률은 약 얼마인가?

    문제이미지

    신뢰도=0.95∙(1-(1-0.9)(1-0.9))=0.9405

    실패확률=1-신뢰도=1-0.9405=0.0595

    81

    2과목(인간공학 및 위험성평가관리) 301~416

    다음 [그림]과 같은 시스템의 신뢰도는 얼마인가? ( 단, 숫자는 해당 부품의 신뢰도이다 .)

    문제이미지


    신뢰도=0.9∙0.9∙(1-(1-0.7)(1-0.7))=0.7371

    82

    2과목(인간공학 및 위험성평가관리) 301~416

    다음 그림과 같이 7개의 기기로 구성된 시스템의 신뢰도는 약 얼마인가?

    문제이미지


    BD=0.8∙0.8=0.64

    CE=0.8∙0.8=0.64

    B~F=1-(1-0.64)(1-0.9)(1-0.64)=0.987

    → 0.75∙0.987∙0.75=0.5552

    83

    2과목(인간공학 및 위험성평가관리) 301~416

    ☆☆☆

    어떤 결함수를 분석하여 minimal cut set을 구한 결과 다음과 같았다. 각 기본사상의 발생확률을 qi, i=1, 2, 3라 할 때, 정상사상의 발생확률함수로 맞는 것은?


    k1=(1,2)  k2=(1,3)  k3=(2,3)


    문제이미지

    84

    2과목(인간공학 및 위험성평가관리) 301~416

    ☆☆☆

    실린더 블록에 사용하는 가스켓의 수명은 평균 10,000시간이며, 표준편차는 200시간으로 정규분포를 따른다. 사용시간이 9,600시간일 경우 이 가스켓 신뢰도는 약 얼마인가?


    (단, 표준정규분포상 Z1=0.8413, Z2=0.9772이다.)


    문제이미지

    85

    2과목(인간공학 및 위험성평가관리) 301~416

    수리가 가능한 어떤 기계의 가용도(availability)는 0.9이고, 평균수리시간(MTTR)이 2시간일 때, 이 기계의 평균수명(MTBF)은?


    문제이미지

    86

    2과목(인간공학 및 위험성평가관리) 301~416

    ☆☆

    한 대의 기계를 100시간 동안 연속 사용한 경우 6회의 고장이 발생하였고, 이때의 총 고장수리시간이 15시간이었다. 이 기계의 MTBF(Mean time between failure)는 약 얼마인가?


    문제이미지

    87

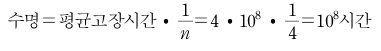
    2과목(인간공학 및 위험성평가관리) 301~416

    평균고장시간이 4×108시간인 요소 4개가 직렬체계를 이루었을 때 이 체계의 수명은 몇 시간인가?


    문제이미지

    88

    2과목(인간공학 및 위험성평가관리) 301~416

    ☆☆

    어느 부품 1,000개를 100,000시간 동안 가동 하였을 때 5개의 불량품이 발생하였을 경우 평균 동작시간(MTTF)은?


    문제이미지

    89

    2과목(인간공학 및 위험성평가관리) 301~416

    한 화학공장에는 24개의 공정제어회로가 있으며, 4,000시간의 공정 가동 중 이 회로에는 14번의 고장이 발생하였고, 고장이 발생하였을 때마다 회로는 즉시 교체되었다. 이 회로의 평균고장시간(MTTF)은 약 얼마인가?


    문제이미지

    90

    2과목(인간공학 및 위험성평가관리) 301~416

    한 대의 기계를 10시간 가동하는 동안 4회의 고장이 발생하였고, 이때의 고장수리시간이 다음 표와 같을 때 MTTR(Mean Time To Repair)은 얼마인가?

    문제이미지


    문제이미지

    91

    2과목(인간공학 및 위험성평가관리) 301~416

    첨단 경보기시스템의 고장율은 0이다. 경계의 효과로 조작자 오류율은 0.01t/hr이며, 인간의 실수율은 균질(homogeneous)한 것으로 가정한다. 또한, 이 시스템의 스위치 조작자는 1시간마다 스위치를 작동해야 하는데 인간오류확률(HEP: Human Error Probability)이 0.001인 경우에 2시간에서 6시간 사이에 인간-기계 시스템의 신뢰도는 약 얼마인가?


    조작자 신뢰도: 1-0.01=0.99

    스위치 조작자 신뢰도: 1-0.001=0.999

    총 신뢰도: 0.99∙0.999=0.989

    4시간 총 신뢰도: =0.957

    92

    2과목(인간공학 및 위험성평가관리) 301~416

    자동차 엔진의 수명은 지수분포를 따르는 경우 신뢰도를 95%를 유지시키면서 8,000시간을 사용하기 위한 적합한 고장률은 약 얼마인가?


    문제이미지

    93

    2과목(인간공학 및 위험성평가관리) 301~416

    어떤 전자회로에는 4개의 트랜지스터와 20개의 저항이 직렬로 연결되어 있다. 이러한 부품들이 정상운용상태에서 다음과 같은 고장률을 가질 때 이 회로 신뢰도는 얼마인가?


    트랜지스터: 10-5/시간 저항: 10-6/시간

    문제이미지

    94

    2과목(인간공학 및 위험성평가관리) 301~416

    ☆☆☆

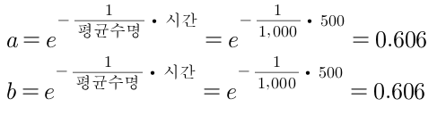
    프레스기의 안전장치 수명은 지수분포를 따르며 평균수명은 1,000시간이다. 새로 구입한 안전장치가 향후 500시간 동안 고장 없이 작동할 확률(ⓐ)과 이미 1,000시간을 사용한 안전장치가 향후 500시간 이상 견딜 확률(ⓑ)은 각각 얼마인가?


    문제이미지

    95

    2과목(인간공학 및 위험성평가관리) 301~416

    전신육체적 작업에 대한 개략적 휴식시간의 산출공식으로 맞는 것은?

    (단, R은 휴식시간(분), E는 작업 에너지소비율(kcal/분)이다.)

    휴식시간 산출공식 R = 60 * E4E1.5\dfrac {E-4} {E-1.5}

    96

    2과목(인간공학 및 위험성평가관리) 301~416

    휴식 중 에너지소비량은 1.5kcal/min이고, 어떤 작업의 평균 에너지소비량이 6kcal/min이라고 할 때 60분간 총 작업시간 내에 포함되어야 하는 휴식 시간은 약 몇 분인가?

    (단, 기초대사를 포함한 작업에 대한 평균 에너지소비량의 상한은 5kcal/min이다.)


    문제이미지

    97

    2과목(인간공학 및 위험성평가관리) 301~416

    8시간 근무를 기준으로 남성작업자 A의 대사량을 측정한 결과, 산소소비량이 1.3L/min으로 측정되었다. Murrell 방법으로 계산 시, 8시간의 총 근로시간에 포함되어야 할 휴식시간은?


    문제이미지

    98

    2과목(인간공학 및 위험성평가관리) 301~416

    사업장의 근로자 A에 대해 워크 샘플링 분석을 해보니 이 담당자의 실제 근무시간의 비율은 총 근무시간의 80%였으며, 평정 계수는 100%였다. 이 근로자는 8시간의 분석대상 근무시간 중 200단위의 작업을 처리하였다. 이 사업장은 총 근무시간의 10%를 여유시간으로 준다고 할 때 고객당 정상시간과 표준시간을 구하면?



    문제이미지

    99

    2과목(인간공학 및 위험성평가관리) 301~416

    어떤 작업을 수행하는 작업자의 배기량을 5분간 측정하였더니 100L이었다. 가스미터를 이용하여 배기 성분을 조사한 결과 산소가 20%, 이산화탄소가 3%이었다. 이때 작업자의 분당 산소소비량(A)과 분당 에너지소비량(B)은 약 얼마인가?

    (단, 흡기 공기 중 산소는 21vol%, 질소는 79vol%를 차지하고 있다.)


    문제이미지

    100

    2과목(인간공학 및 위험성평가관리) 301~416

    말소리의 질에 대한 객관적 측정 방법으로 명료도 지수를 사용하고 있다. 그림에서와 같은 경우 명료도 지수는 약 얼마인가?

    문제이미지

    명료도 지수 = -0.3 * 1 + 0.18 * 1 + 0.6 * 2 + 0.7 * 1

    = 1.78

    101

    2과목(인간공학 및 위험성평가관리) 301~416

    ☆☆

    어떤 소리가 1,000Hz, 60dB인 음과 같은 높이임에도 4배 더 크게 들린다면, 이 소리의 음압수준은 얼마인가?


    문제이미지

    102

    2과목(인간공학 및 위험성평가관리) 301~416

    경보 사이렌으로부터 10m 떨어진 음압수준이 140dB이면 100m 떨어진 곳에서 음의 강도는 얼마인가?


    문제이미지

    103

    2과목(인간공학 및 위험성평가관리) 301~416

    작업장의 설비 3대에서 각각 80dB, 86dB, 78dB의 소음이 발생되고 있을 때 작업장의 음압 수준은?


    문제이미지

    104

    2과목(인간공학 및 위험성평가관리) 301~416

    자동차를 생산하는 공장의 어떤 근로자가 95dB(A)의 소음수준에서 하루 8시간 작업하며 매시간 조용한 휴게실에서 20분씩 휴식을 취한다고 가정하였을 때, 8시간 시간가중평균(TWA)은?

    (단, 소음은 누적 소음노출량 측정기로 측정하였으며, OSHA에서 정한 95dB(A)의 허용시간은 4시간이라 가정한다.)


    문제이미지

    105

    2과목(인간공학 및 위험성평가관리) 301~416

    ☆☆

    3개 공정의 소음수준 측정 결과 1공정은 100dB에서 1시간, 2공정은 95dB에서 1시간, 3공정은 90dB에서 1시간이 소요될 때 총 소음량(TND)과 소음설계의 적합성을 맞게 나열한 것은?

    (단, 90dB에 8시간 노출될 때를 허용기준으로 하며, 5dB 증가할 때 허용시간은 1/2로 감소되는 법칙을 적용한다.)


    문제이미지

    106

    2과목(인간공학 및 위험성평가관리) 301~416

    눈과 물체의 거리가 23cm, 시선과 직각으로 측정한 물체의 크기가 0.03cm일 때 시각(분)은 얼마인가?

    (단, 시각은 600 이하이며, radian 단위를 분으로 환산하기 위한 상수값은 57.3과 60을 모두 적용하여 계산하도록 한다.)


    문제이미지

    107

    2과목(인간공학 및 위험성평가관리) 301~416

    4m 또는 그보다 먼 물체만을 잘 볼 수 있는 원시 안경은 몇 D인가?

    (단, 명시거리는 25cm로 한다.)


    문제이미지

    108

    2과목(인간공학 및 위험성평가관리) 301~416

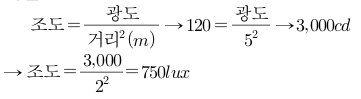
    반사경 없이 모든 방향으로 빛을 발하는 점광원에서 5m 떨어진 곳의 조도가 120lux라면 2m 떨어진 곳의 조도는?


    문제이미지

    109

    2과목(인간공학 및 위험성평가관리) 301~416

    점광원으로부터 0.3m 떨어진 구면에 비추는 광량이 5Lumen일 때, 조도는 약 몇 럭스인가?


    문제이미지

    110

    2과목(인간공학 및 위험성평가관리) 301~416

    반사율이 60%인 작업 대상물에 대하여 근로자가 검사작업을 수행할 때 휘도(luminance)가 90fL이라면 이 작업에서의 소요조명(fc)은 얼마인가?


    문제이미지

    111

    2과목(인간공학 및 위험성평가관리) 301~416

    ☆☆

    남성 작업자가 티셔츠(0.09clo), 속옷(0.05clo), 가벼운 바지(0.26clo), 양말(0.04clo), 신발(0.04clo)을 착용하고 있을 때 총 보온율(clo)값은 얼마인가?


    총 보온률=0.09+0.05+0.26+0.04+0.04=0.48

    clo: 열교환 과정 또는 입은 옷의 보온효과를 측정하는 척도

    112

    2과목(인간공학 및 위험성평가관리) 301~416

    태양광선이 내리쬐는 옥외장소의 자연습구온도 20℃, 흑구온도 18℃, 건구온도 30℃일 때 습구흑구온도지수(WBGT)는?


    습구흑구온도지수(WBGT)

    -옥내 또는 옥외(태양광선 없는 장소)

    WBGT=0.7∙자연습구온도+0.3∙흑구온도

    -옥외(태양광선 있는 장소)

    WBGT=0.7∙자연습구온도+0.2∙흑구온도

    +0.1∙건구온도

    =0.7∙20+0.2∙18+0.1∙30=20.6℃

    113

    2과목(인간공학 및 위험성평가관리) 301~416

    ☆☆

    건구온도 30℃, 습구온도 35℃일 때의 옥스포드(Oxford) 지수는 얼마인가?


    Oxford 지수=0.85∙습구온도+0.15∙건구온도 =0.85∙35+0.15∙30=34.25℃

    114

    2과목(인간공학 및 위험성평가관리) 301~416

    다음 중 신체의 열교환과정을 나타내는 공식으로 올바른 것은?


    열교환식 △S=(M-W)±R±C-E

    115

    2과목(인간공학 및 위험성평가관리) 301~416

    A 작업장에서 1시간 동안에 480Btu의 일을 하는 근로자의 대사량은 900Btu이고, 증발 열손실이 2,250Btu, 복사 및 대류로부터 열이득이 각각 1,900Btu 및 80Btu라 할 때 열 축적(Btu)은 얼마인가?


    열축적=대사량-일-증발±복사±대류

    =900-480-2,250+1,900+80=150Btu

    116

    2과목(인간공학 및 위험성평가관리) 301~416

    반사율이 85%, 글자의 밝기가 400cd/m2인 VDT 화면에 350lx의 조명이 있다면 대비는 약 얼마인가?


    문제이미지