모두CBT | 국가고시 실기시험 부시기!

산업위생관리기사 실기 계산형(101~148) 해설 페이지

산업위생관리기사 실기 계산형(101~148)

    1

    산업위생관리기사 실기 계산형(101~148)

    ☆☆☆☆

    음력 1W인 소음원으로부터 15m 떨어진 지점에서 음압수준(dB)을 구하시오.(무지향성 점음원 자유공간이다.)

    음압수준: 85.48dB

    문제이미지

    2

    산업위생관리기사 실기 계산형(101~148)

    ☆☆

    음력 1W인 소음원으로부터 35m 떨어진 지점에서 음압수준(dB)을 구하시오.(공기 밀도 1.2kg/m3, 공기에서 음속 344m/s)

    음압수준: 78.12dB

    문제이미지

    3

    산업위생관리기사 실기 계산형(101~148)

    음력 1W인 소음원으로부터 15m 떨어진 지점에서 음압수준(dB)을 구하시오.(무지향성 선음원 자유공간이다.)

    음압수준: 100.24dB

    문제이미지

    4

    산업위생관리기사 실기 계산형(101~148)

    면적 15m2 창문에 음압레벨 120dB인 음파가 통과하고, 통과한 음파의 음향파워(W)를 구하시오.

    음향파워: 15W

    문제이미지

    5

    산업위생관리기사 실기 계산형(101~148)

    음압 2.5일 때 음압레벨µbarbar(dB)을 구하시오.

    음압레벨: 81.94dB

    문제이미지

    6

    산업위생관리기사 실기 계산형(101~148)

    음압레벨에 관한 표이다. 보기의 음압레벨에 대한 합(dB)을 구하시오.

    문제이미지

    음압레벨에 대한 합: 104.4dB


    해설

    먼저 보기 속 값들을 큰 순서대로 정리!

    100/98/97.5/91.7/91/87/85.5/62/46

    100-98=2 → 표(레벨차 2) → 100+2.2=102.2dB

    102.2-97.5=4.7 → 표(레벨차 4.7) → 102.2+1.5=103.7dB

    103.7-91.7=12 → 표(레벨차 12) → 103.7+0.3=104dB

    104-91=13 → 표(레벨차 13) → 104+0.2=104.2dB

    104.2-87=17.2 → 표(레벨차 17.2) → 104.2+0.1=104.3 dB

    104.3-85.5=18.8 → 표(레벨차 18.8) → 104.3+0.1=104.4dB

    104.4-62=42.4 → 표(레벨차 42.4) → 104.4+0=104.4dB

    104.4-46=58.4 → 표(레벨차 58.4) → 104.4+0=104.4dB

    7

    산업위생관리기사 실기 계산형(101~148)

    ☆☆☆

    NRR(Noise Reduction Rating, 소음차단지수) 20, 음압수준 100dB(A)일 때 귀덮개 차음효과수준(dB(A))과 작업자가 노출되는 음압수준(dB(A))을 구하시오.

    차음효과수준=6.5dB(A)  음압수준=93.5dB(A)


    해설

    차음효과수준=0.5∙(NRR-7)=0.5∙(20-7)=6.5dB(A)

    음압수준=100-차음효과수준=100-6.5=93.5dB(A)

    8

    산업위생관리기사 실기 계산형(101~148)

    ☆☆

    작업장에 3대의 기계가 있는데 각각 90dB, 95dB, 100dB의 소음을 발생한다. 총 음압레벨(dB, 합성소음도)을 구하시오.

    총 음압레벨: 101.51dB

    문제이미지

    9

    산업위생관리기사 실기 계산형(101~148)

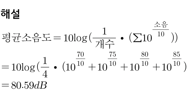
    다음 값으로 평균소음도(dB)를 구하시오.

    소음(dB)

    70

    75

    80

    85

    평균소음도: 80.59dB

    문제이미지

    10

    산업위생관리기사 실기 계산형(101~148)

    8시간 노출소음(휴식시간 총 1시간)이 아래와 같을 때 TWA 소음강도(dB(A))와 노출기준 초과 여부를 구하시오.(노출허용시간 = 82소음905\dfrac {8} {2^{\frac {소음-90} {5}}})


    단위(dB(A))

    90 / 91 / 92 / 94 / 95 / 97 / 98 / 99

    TWA 소음강도: 95.16dB(A)  노출기준 초과 여부: 초과

    문제이미지

    11

    산업위생관리기사 실기 계산형(101~148)

    ☆☆☆

    작업장에서 200분간 측정한 결과 누적소음 노출량이 40%일때 시간가중평균 소음수준(dB(A))을 구하시오.

    시간가중평균 소음수준: 89.71dB(A)

    문제이미지

    12

    산업위생관리기사 실기 계산형(101~148)

    ☆☆☆

    한 작업장에서 소음 90dB이 4시간, 100dB이 40분, 110dB이 10분 발생했다면 노출지수와 허용기준 초과여부를 판단하시오.

    노출지수: 1.17  허용기준 초과여부: 초과

    문제이미지

    13

    산업위생관리기사 실기 계산형(101~148)

    ☆☆☆

    한 작업장에서 소음 85dB이 4시간, 94dB이 40분, 97dB이 10분 발생했다면 노출지수와 허용기준 초과여부를 판단하시오.(단, ACGIH 기준으로 판단하시오.)

    노출지수: 1.5  허용기준 초과여부: 초과

    문제이미지

    14

    산업위생관리기사 실기 계산형(101~148)

    다음 물음에 답하시오.

    ∙유량 오차: 10% ∙분석 오차: -10% 

    ∙회수율 오차: -3% ∙측정시간 오차: 8%


    1. 누적오차(%)    

    2. 오차 최소화를 위한 우선적 개선항목

    1. 16.52%   2. 유량, 분석

    문제이미지

    15

    산업위생관리기사 실기 계산형(101~148)

    ☆☆☆☆☆☆

    다음 값을 이용해 산술평균과 기하평균을 구하시오.


    4.6 / 6.9 / 3.3 / 0.2 / 0.6 / 13.6 / 5.5 / 11 / 4.3 / 2.5

    산술평균: 5.25  기하평균: 3.2

    문제이미지

    16

    산업위생관리기사 실기 계산형(101~148)

    톨루엔 농도 측정 결과이다. 기하표준편차(GSD)(ppm)를 구하시오.

    농도(ppm)

    1.5

    10

    60

    90

    기하표준편차: 6.52ppm

    문제이미지

    17

    산업위생관리기사 실기 계산형(101~148)

    ☆☆

    기하평균과 기하표준편차를 구하시오.

    문제이미지

    기하평균=누적 분포 50% 값=0.3


    기하표준편차


    = 누적분포84.1%누적분포50%\dfrac {누적 분포 84.1\%값} {누적 분포 50\%값} = 0.750.3\dfrac {0.75} {0.3} = 2.5

    18

    산업위생관리기사 실기 계산형(101~148)

    ☆☆☆

    노출군에서 질병 발생률 3, 비노출군에서 질병 발생률 2일 때 상대위험도를 구하고, 노출과 질병 사이 연관성이 있는지 판단하시오.

    상대위험도: 1.5  

    노출과 질병 사이 연관성: 있음

    문제이미지

    19

    산업위생관리기사 실기 계산형(101~148)

    노출군에서 질병 발생률 0.2, 비노출군에서 질병 발생률 0.01일 때 기여위험도를 구하시오.

    기여위험도: 0.19


    해설

    기여위험도=노출군에서 질병 발생률-비노출군에서 질병 발생률=0.2-0.01=0.19

    20

    산업위생관리기사 실기 계산형(101~148)

    ☆☆

    25°C, 1기압에서 톨루엔과 크실렌이 상가작용을 할 때 다음을 답하시오.


    1. 톨루엔 TWA(mg/m3)

    2. 크실렌 TWA(mg/m3)

    3. 허용농도 초과여부

    문제이미지

    1. 177.08 mg/m3  

    2. 489.58 mg/m3  

    3. 초과

    문제이미지

    21

    산업위생관리기사 실기 계산형(101~148)

    ★☆☆

    다음 혼합물이 서로 상가작용할 때 다음을 답하시오.

    1. 허용농도 초과여부  2. 혼합공기 허용농도(ppm)

    문제이미지

    1. 초과  2. 15.66ppm

    문제이미지

    22

    산업위생관리기사 실기 계산형(101~148)

    ☆☆

    서로 상가작용하는 파라티온(TLV 0.1mg/m3), EPN(TLV 0.5mg/m3)이 1:4로 조성된 액체용제가 증발되어 작업장 오염시킨 경우 이 혼합물의 TLV(mg/m3)를 구하시오.

    혼합물의 TLV: 0.28mg/m3

    문제이미지

    23

    산업위생관리기사 실기 계산형(101~148)

    ☆☆☆

    벤젠(TLV 50ppm) 농도 분석 결과 오전 3시간 동안은 70ppm, 오후 5시간 동안은 40ppm일 때 작업장의 TLV와 허용기준 초과여부를 판단하시오.

    작업장의 TLV: 51.25ppm  허용기준 초과 여부: 초과

    문제이미지

    24

    산업위생관리기사 실기 계산형(101~148)

    ☆☆☆☆

    다음 물질의 포화증기농도(ppm)와 증기위험화지수(VHI)를 구하고, 어느 것이 덜 유해한지 고른 후 이유를 쓰시오.

    문제이미지

    A물질

    - 포화증기농도 → 39,473.68ppm

    - 증기위험화지수 → 2.6


    B물질

    - 포화증기농도 → 105,263.16ppm 

    - 증기위험화지수 → 2.55


    B가 증기위험화지수 더 작아 덜 유해하다.

    문제이미지

    25

    산업위생관리기사 실기 계산형(101~148)

    ☆☆☆☆☆

    흑구온도 30°C, 건구온도 20°C, 자연습구온도 25°C인 실내 작업장의 습구흑구온도지수(WBGT, °C)를 구하시오.

    습구흑구온도지수: 26.5°C


    해설

    습구흑구온도지수(WBGT) 

    -옥내 또는 옥외(태양광선 없는 장소): WBGT=0.7∙자연습구온도+0.3∙흑구온도

    -옥외(태양광선 있는 장소): WBGT=0.7∙자연습구온도+0.2∙흑구온도+0.1∙건구온도

    → 0.7∙25+0.3∙30=26.5°C

    26

    산업위생관리기사 실기 계산형(101~148)

    ☆☆☆

    흑구온도 30°C, 건구온도 20, 자연습구온도 25°C인 태양광선이 없는 옥외 작업장의 습구흑구온도지수(WBGT, °C)를 구하시오.

    습구흑구온도지수: 26.5°C


    해설

    습구흑구온도지수(WBGT) 

    -옥내 또는 옥외(태양광선 없는 장소): WBGT=0.7∙자연습구온도+0.3∙흑구온도

    -옥외(태양광선 있는 장소): WBGT=0.7∙자연습구온도+0.2∙흑구온도+0.1∙건구온도

    → 0.7∙25+0.3∙30=26.5°C

    27

    산업위생관리기사 실기 계산형(101~148)

    ☆☆☆

    작업장 건구온도 40°C, 흑구온도 50°C, 자연습구온도 30°C이다. 작업은 계속 작업이고, 중 등도 작업일 때 실내 WBGT(°C)을 구하고, 노출기준 초과여부를 판단하시오.

    실내 WBGT: 36°C   노출기준 초과여부: 노출 초과

    문제이미지

    28

    산업위생관리기사 실기 계산형(101~148)

    ☆☆☆☆☆☆☆☆☆

    5,000ppm의 CCl4(비중 5.7)가 공기와 완전 혼합된 상태일 때 유효비중을 소수점 네번째자리까지 구하시오.

    유효비중: 1.0235


    해설

    공기: 99.5% CCl4 : 0.5%

    0.995∙1+0.005∙5.7=1.0235

    104ppm=1%

    29

    산업위생관리기사 실기 계산형(101~148)

    두 개의 버블러를 연속적으로 연결하여 시료를 채취할 때, 첫 번째 버블러의 채취효율이 75%이고, 두 번째 버블러의 채취효율이 90%이면 전체 채취효율(%)을 구하시오.

    전체 채취효율: 97.5%


    해설

    총집진율(%)=첫채취효율(%)+두번째 채취효율(%)(1-0.01∙첫채취효율(%))

         =75+90(1-0.75)=97.5%

    30

    산업위생관리기사 실기 계산형(101~148)

    두 개의 버블러를 연속적으로 연결하여 시료를 채취할 때, 두 번째 버블러의 채취효율이 75%이고, 전체 채취효율이 90%이면 첫 번째 버블러의 채취효율(%)을 구하시오.

    첫 번째 버블러의 채취효율: 60%


    해설

    총집진율(%)=첫채취효율(%)+두번째 채취효율(%)(1-0.01∙첫채취효율(%))

    → 90=첫채취효율(%)+75(1-0.01∙첫채취효율(%))=첫 채취효율(%)+75-0.75∙첫채취효율(%)

    → 15=0.25∙첫채취효율(%)

    → 첫채취효율(%)=60%

    31

    산업위생관리기사 실기 계산형(101~148)

    두 개의 버블러를 연속적으로 연결하여 시료를 채취할 때, 첫 번째 버블러의 채취효율이 75%이고, 전체 채취효율이 90%이면 두 번째 버블러의 채취효율(%)을 구하시오.

    두 번째 버블러의 채취효율: 60%

    문제이미지

    32

    산업위생관리기사 실기 계산형(101~148)

    먼지 직경이 평균 6μm이고, 이 먼지를 흡입성 먼지 채취기로 채취한다고 가정할 때 분진 입경별 채취효율(%)을 구하시오.

    분진 입경별 채취효율: 84.88%

    문제이미지

    33

    산업위생관리기사 실기 계산형(101~148)

    ☆☆☆

    송풍기 송풍량 200m3/min, 전압 120mmH2O, 송풍기 효율 80%일 때 송풍기 동력(kW)을 구하시오.

    송풍기 동력: 4.9kW

    문제이미지

    34

    산업위생관리기사 실기 계산형(101~148)

    ☆☆

    송풍기 송풍량 200m3/min, 전압 100mmH2O, 소요동력 10kW일 때 효율(%)를 구하시오.

    효율: 32.68%

    문제이미지

    35

    산업위생관리기사 실기 계산형(101~148)

    ☆☆☆

    1기압, 21°C의 공기 조성비이다. 공기의 평균 분자량(g)과 밀도(kg/m3)를 구하시오.


    N2: 78%  O2: 21%  Ar: 0.9%  CO2: 0.03%  수증기: 0.07%

    평균 분자량: 28.95g   밀도: 1.21kg/m3

    문제이미지

    36

    산업위생관리기사 실기 계산형(101~148)

    1기압, 21°C의 공기 조성비이다. 공기의 평균 분자량(g)과 밀도(kg/m3)를 구하시오.

    N2: 78%  O2: 21%  Ar: 0.9%  CO2: 0.03%  기타물질: 0.07%

    평균 분자량: 28.93g   밀도: 1.21kg/m3

    문제이미지

    37

    산업위생관리기사 실기 계산형(101~148)

    ☆☆☆☆

    근로자들의 노출인년을 구하시오.

    ∙6개월간 노출농도 조사자 수: 10명    

    ∙12개월간 노출농도 조사자 수: 20명

    ∙30개월간 노출농도 조사자 수: 15명

    노출인년: 62.5인년

    문제이미지

    38

    산업위생관리기사 실기 계산형(101~148)

    ★☆☆

    송풍기 회전수 1,000rpm, 송풍량 30m3/min, 풍압 20mmH2O, 동력 0.5HP이다. 추후 회전수를 1,200rpm으로 변경 시 송풍량(m3/min)/풍압(mmH2O)/동력(HP)을 구하시오.

    송풍량: 36m3/min  풍압: 28.8mmH2O   동력: 0.86HP

    문제이미지

    39

    산업위생관리기사 실기 계산형(101~148)

    ☆☆

    송풍기 직경 0.3m, 송풍량 30m3/min, 풍압 20mmH2O, 동력 0.5kW이다. 추후 직경을 0.9m로 변경 시 송풍량(m3/min)/풍압(mmH2O)/동력(kW)을 구하시오.

    송풍량: 810m3/min  풍압: 180mmH2O   동력: 121.5kW

    문제이미지

    40

    산업위생관리기사 실기 계산형(101~148)

    후드 정압 60mmH2O, 필요환기량 200m3/min으로 설계된 후드가 있다. 3개월 후 정압이 10mmH2O로 저하되었을 때 물음에 답하시오.

    1. 3개월 후 필요환기량(m3/min)

    2. 후드 관점에서의 정압 저하 원인 3가지

    1. 81.65m3/min

    2. 후드 형식 조건 부적합/후드 개구면 기류제어 불량/후드 가까이에 장애물 존재

    문제이미지

    41

    산업위생관리기사 실기 계산형(101~148)

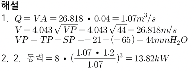
    덕트 단면적 0.04m2, 송풍기 동력 8kW, 덕트 내 전압 –21mmH2O, 덕트 내 정압 –65mmH2O이다. 다음을 구하시오.


    1. 변화 전 송풍기 유량(m3/s) 

    2. 유량 20% 증가 후 송풍기 동력(kW)

    1. 1.07m3/s   2. 13.82kW

    문제이미지

    42

    산업위생관리기사 실기 계산형(101~148)

    ☆☆

    중심주파수 600Hz일 때 하한주파수(Hz)와 상한주파수(Hz)를 구하시오.(1/1옥타브밴드기준)

    하한주파수: 424.26Hz  상한주파수: 848.52Hz

    문제이미지

    43

    산업위생관리기사 실기 계산형(101~148)

    주파수 500Hz, 음속 340m/s일 때 파장(m)을 구하시오.

    파장(m)=음속(m/s)주파수(Hz)파장(m) = \dfrac {음속(m/s)} {주파수(Hz)} 

    =340500=0.68m= \dfrac {340} {500} = 0.68m

    44

    산업위생관리기사 실기 계산형(101~148)

    파장 5m, 음속 340m/s일 때 주파수(Hz)을 구하시오.

    파장(m)=음속(m/s)주파수(Hz)파장(m) = \dfrac {음속(m/s)} {주파수(Hz)}

    >주파수(Hz)=음속(m/s)파장(m)-> 주파수(Hz) = \dfrac {음속(m/s)} {파장(m)}

    =3405=68Hz= \dfrac {340} {5} = 68Hz

    45

    산업위생관리기사 실기 계산형(101~148)

    NaOH 0.01N의 pH를 구하시오.

    pH: 12


    해설

    pH+pOH=14 → pH=12

    pOH=-log(OH-)=-log(0.01)=2

    46

    산업위생관리기사 실기 계산형(101~148)

    톨루엔에 대한 방독마스크 흡수관 수명이 5000ppm에서 60분일 때 물음에 답하시오.

    1. 공기 중 톨루엔 농도 300ppm 경우 방독마스크 사용가능시간(분)

    2. 방독마스크 안 농도 30ppm, 방독마스크 보호계수 50일 때 공기 중 톨루엔 농도(ppm)

    1. 1,000분   2. 1,500ppm

    문제이미지

    47

    산업위생관리기사 실기 계산형(101~148)

    공기 중 CCl4 농도 150ppm이라면 정확통 사용가능시간이 농도 1,000ppm에서 50분간 사용 가능한 정화통과 비교해 파과시간이 50분보다 긴지 짧은지 판단하시오.

    CCl4 농도가 높을수록 사용시간은 줄어드니 더 길다.

    문제이미지

    48

    산업위생관리기사 실기 계산형(101~148)

    흡광광도계에서 빛 강도가 io인 단색광이 시료용액을 통과할 때 빛 흡수율이 70%이다. 흡광도를 구하시오.

    흡광도: 0.52

    문제이미지