모두CBT | 국가고시 실기시험 부시기!

인간공학기사 실기 2023 2회 해설 페이지

인간공학기사 실기 2023 2회

    1

    인간공학기사 실기 2023 2회

    Fail-Safe의 사례를 고르시오. (5)점

    문제이미지

    - ㄴ, ㄷ

    2

    인간공학기사 실기 2023 2회

    제조물책임법에서 제조물 결함의 종류에 대한 정의를 쓰시오. (6점)

    - 제조상의 결함 : 제품의 제조과정에서 발생하는 결함

    - 설계상의 결함 : 제품의 설계 그 자체에 내재하는 결함

    - 표시상의 결함 : 위험에 대비한 적절한 사용 및 취급방법 또는 경고가 포함되어 있지 않음

    3

    인간공학기사 실기 2023 2회

    다음 그림에서 RWL와 LI지수를 구하고 조치방법을 기술하시오. (6점)

    문제이미지

    (1) RWL : 23*0.45*0.88*1.00*0.95*0.92*0.80 = 6.37


    (2) LI : 8/6.37 = 1.26


    (3) 조치방법 : LI가 1보다 크므로 이 작업은 요통발생의 발생의 위험이 높다. LI가 1 이하가 되도록 작업을 설계/재설계할 필요가 있다.

    4

    인간공학기사 실기 2023 2회

    수의근과 불수의근의 뜻을 정의하시오. (6점)

    - 수의근 : 뇌와 척수 신경의 지배를 받는 근육으로 의사에 따라서 움직이며, 골격근이 이에 속한다.

    - 불수의근 : 자율신경의 지배를 받으며 스스로 움직이는 근육으로 내장근과 심장근이 이에 속한다.

    5

    인간공학기사 실기 2023 2회

    산업안전보건법에서 정한 안전관리자의 업무 5가지를 쓰시오. (단, 기타 안전에 관한 사항으로서 고용노동부 장관이 정하는 사항은 제외한다.) (5점)

    - 사업장의 안전보건 관리규정 및 취업규칙에서 정한 업무

    - 위험성평가에 관한 보좌 및 지도 · 조언

    - 안전인증대상기계 등과 자율안전확인대상기계 등 구입 시 적격품의 선정에 관할 보좌 및 지도 · 조언

    - 해당 사업장 안전교육계획의 수립 및 안전교육 실시에 관한 보좌 및 지도ㆍ조언

    - 사업장 순회점검, 지도 및 조치 건의

    - 산업재해발생의 원인조사 · 분석 및 재발 방지를 위한 기술적 보좌 및 지도 · 조언

    - 산업재해에 관한 통계의 유지 · 관리 · 분석을 위한 보좌 및 지도 조언

    - 법 또는 법에 따른 명령으로 정한 안전에 관한 사항의 이행에 관한 보좌 및 지도 · 조언

    - 업무 수행 내용의 기록 · 유지

    - 기타 안전에 관한 사항으로서 고용노동부장관이 정하는 사항

    6

    인간공학기사 실기 2023 2회

    근육 수축 시 미오신관 액틴은 길이가 변하지 않는다. 이때, 액틴과 미오신이 중첩된 짙은 갈색 부분을 무엇이라 하는지 쓰시오. (5점)

    - A대

    7

    인간공학기사 실기 2023 2회

    국내에서 총 8시간 동안 작업을 하면서 90dB에서 4시간, 95db 에서 3시간, 100dB에서 1시간의 소음에 노출되었을 때 소음노출지수와 TWA 값을 구하시오. (6점)


    문제이미지

    8

    인간공학기사 실기 2023 2회

    다음과 같은 경우의 설계에 응용할 수 있는 인체치수 설계원칙을 적으시오. (4점)

    문제이미지
    문제이미지

    9

    인간공학기사 실기 2023 2회

    시력이 0.5일 때 링스톤 1.5mm를 식별할 수 있는 거리를 구하시오(단, 소수 넷째 자리에서 반올림하시오.) (6점)

    문제이미지

    10

    인간공학기사 실기 2023 2회

    아래의 그림은 어느 조립공정의 요소작업을 PERT 차트를 나타낸 것이다. 주 공정경로와 주 공정시간을 구하시오. (6점)

    문제이미지

    - 주 공정경로(가장 시간이 오래 걸리는 경로) : 10 - 20 - 50

    - 주 공정시간(가장 긴 시간) : 9주

    11

    인간공학기사 실기 2023 2회

    5개 공정에서 주기시간이 6분인 경우 평균효율을 구하시오. (6점)

    문제이미지

    정답 : 73.33%

    풀이 = (5+4+3+4+6)/(5*6)*100 = 73.33

    12

    인간공학기사 실기 2023 2회

    작업개선의 ECRS의 원칙 4가지를 쓰시오. (4점)

    1. Eliminate(제거): 불필요한 작업 · 작업요소를 제거

    2. Combine(결합): 다른 작업 · 작업요소와의 결합

    3. Rearrange(재배치): 작업의 순서의 변경

    4. Simplify(단순화): 작업 · 작업요소의 단순화, 간소화

    13

    인간공학기사 실기 2023 2회

    인간공학 실험 시 고려해야할 평가기준 (종속변수)를 3가지 쓰시오. (6점)

    - 시스템 기준

    - 작업성능 기준

    - 인간기준

    14

    인간공학기사 실기 2023 2회

    전자회사에서 작업자가 정밀작업을 하고 있다. 손, 손목에 부담이 가는 근골격계질환 3가지 쓰시오. (6점)

    - 수근관증후군

    - 건염

    - 결절종

    15

    인간공학기사 실기 2023 2회

    근골격계질환 예방을 위한 관리적 개선방안 3가지를 쓰시오. (6점)

    1. 작업의 다양성 제공(작업 확대)

    2. 작업자 교대

    3. 작업자에 대한 휴식시간(회복시간) 제공

    4. 작업습관 변화

    5. 작업공간, 공구 및 장비의 정기적인 청소 및 유지보수

    6. 근골격계질환 예방체조의 도입(운동체조 강화)

    7. 근골격계질환 관련 교육 실시

    8. 작업일정 및 작업속도 조절

    16

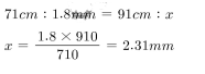
    인간공학기사 실기 2023 2회

    시거리가 71cm일 때 단위 눈금 1.8mm, 시거리가 91cm가 되면 단위 눈금은 얼마가 되어야 하는지 구하시오. (5점)

    문제이미지

    17

    인간공학기사 실기 2023 2회

    산업안전보건법상 근골격계 부담작업에 의한 건강장해 예방과 관련된 다음 ( )에 들어갈 알맞은 용어를 쓰시오. (6점)


    (1) ( A )이란 단순반복 작업 또는 인체에 과도한 부담을 주는 작업으로서 작업량 ㆍ작업속도ㆍ작업강도 및 작업장 구조 등에 따라 고용노동부장관이 정하여 고시하는 작업을 말한다.


    (2) ( B )이란 반복적인 동작, 부적절한 작업자세, 무리한 힘의 사용, 날카로운 면과의 신체접촉, 진동 및 온도 등의 요인에 의하여 발생하는 건강장해로서 목, 어깨, 허리, 팔, 다리의 신경ㆍ근육 및 그 주변 신체조직 등에 나타나는 질환을 말한다.


    (3) ( C )이란 유해요인조사, 작업환경 개선, 의학적 관리, 교육ㆍ훈련, 평가에 관한 사항 등이 포함된 근골격계질환을 예방ㆍ관리하기 위한 종합적인 계획을 말한다.

    (1) ( 근골격계 부담작업 )이란 단순반복 작업 또는 인체에 과도한 부담을 주는 작업으로서 작업량 ㆍ작업속도ㆍ작업강도 및 작업장 구조 등에 따라 고용노동부장관이 정하여 고시하는 작업을 말한다.


    (2) ( 근골격계질환 )이란 반복적인 동작, 부적절한 작업자세, 무리한 힘의 사용, 날카로운 면과의 신체접촉, 진동 및 온도 등의 요인에 의하여 발생하는 건강장해로서 목, 어깨, 허리, 팔, 다리의 신경ㆍ근육 및 그 주변 신체조직 등에 나타나는 질환을 말한다.


    (3) ( 근골격계질환 예방ㆍ관리 프로그램 )이란 유해요인조사, 작업환경 개선, 의학적 관리, 교육ㆍ훈련, 평가에 관한 사항 등이 포함된 근골격계질환을 예방ㆍ관리하기 위한 종합적인 계획을 말한다.

    18

    인간공학기사 실기 2023 2회

    반사경 없이 모든 방향으로 빛을 발하는 점광원에서 2m 떨어진 곳의 조도가 120lux라면 3m 떨어진 곳의 조도는 얼마인지 계산하고, 작업환경에 관한 조명의 적합성을 판단하시오. (6점)

    초정밀작업 750lux 이상

    정밀작업 300lux 이상

    보통작업 150lux 이상

    그 밖의 작업 75lux 이상

    그 밖의 작업이고 75lux 이하이므로 조명이 부적합하다.

    문제이미지