모두CBT | 국가고시 실기시험 부시기!

인간공학기사 22년 3회 해설 페이지

인간공학기사 22년 3회

    1

    인간공학기사 22년 3회

    작업자가 쪼그리고 앉아 용접하는 작업의 유해요소와 개선할 수 있는 적합한 예방대책을 쓰시오.

    1. 유해요소 : 부자연스러운 자세

    예방대책 : 높낮이 조절이 가능한 작업대 설치

    2. 유해요소 : 장시간 유해물질 노출

    예방대책 : 환기, 적절한 휴식시간, 작업확대, 작업교대

    3. 유해요소 : 손목 및 어깨의 반복적인 스트레스

    예방대책: 자동화 기기나 설비의 도입

    2

    인간공학기사 22년 3회

    Barnes의 동작경제 원칙 3가지와 예시 1가지씩 쓰시오.

    1. 신체사용에 관한 원칙

    1) 양손은 동시에 시작하고, 또 끝마쳐야 한다.

    2) 휴식시간 이외에 양손이 동시에 노는 시간이 있어서는 안 된다.

    3) 양팔을 각기 반대방향에서 대칭적으로 동시에 움직여야 한다.

    2. 작업영역의 배치에 관한 원칙

    1) 모든 공구와 재료는 일정한 위치에 정돈되어야 한다.

    2) 공구와 재료는 작업이 용이하도록 작업자의 주위에 있어야 한다.

    3) 가능하면 낙하시키는 방법을 이용하여야 한다.

    3. 공구 및 설비의 설계에 관한 원칙

    1) 공구류는 될 수 있는 대로 두가지 이상의 기능을 조합한 것을 사용하여야 한다.

    2) 각종 손잡이는 손에 가장 알맞게 고안함으로써 피로를 감소시킬 수 있다.

    3) 공구류 및 재료는 될 수 있는 대로 다음에 사용하기 쉽도록 놓아두어야 한다.

    3

    인간공학기사 22년 3회

    표준시간을 산출하는 방법 5가지를 쓰시오.

    1.실적자료법

    2.시간연구법

    3.표준자료법

    4.워크샘플링법

    5.PTS법

    4

    인간공학기사 22년 3회

    시각적 표시장치를 사용해야 하는 경우 5가지를 쓰시오.

    1. 전언이 길고 복잡한 경우

    2. 전언이 후에 재 참조 될 경우

    3. 전언 공간적인 위치를 다룰 경우

    4. 수신 장소가 시끄러운 경우

    5. 수신자의 청각 계통이 과부하 상태일 경우

    6. 한곳에 머무르는 경우


    * 청각장치를 이용할때

    1. 전언이 짧고 간단할 경우

    2. 재참조되지 않을 경우

    3. 즉각적인 행동을 요구할 경우

    4. 시각계통이 과부하일 경우

    5. 주위가 너무 밝거나 어두울 경우

    6. 자주 움직이는 경우

    5

    인간공학기사 22년 3회

    유해요인평가 중 RULA에서 평가에 사용하는 인자(부위) A그룹을 제외하고 쓰시오.

    1. 목

    2. 몸통

    3. 다리


    *A그룹 : 윗팔, 아래팔, 손목, 손목비틀림

    B그룹 : 목, 몸통, 다리

    6

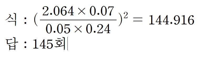
    인간공학기사 22년 3회


    문제이미지

    145회

    문제이미지

    7

    인간공학기사 22년 3회

    서블릭 기호 중 효율적인 것, 비효율적인 것 각각 3개씩 쓰시오.

    1. 효율적인 서블릭

    빈손이동(TE)

    쥐기(G)

    운반(TL)

    조립(A)

    사용(U)

    분해(DA)

    2. 비효율적인 서블릭

    찾기(SH)

    고르기(ST)

    휴식(R)

    검사(I)

    잡고 있기(H)

    8

    인간공학기사 22년 3회

    다음을 보고 알맞은 내용을 쓰시오.

    색을구별하며, 황반에 집중되어 있는 세포 : 1

    주로 망막 주변에 있으며 밤처럼 조도 수준이 낮을때 기능을 하고, 흑백의 음영만을 구분하는 세포 : 2

    1. 원추세포

    2. 간상세포

    9

    인간공학기사 22년 3회

    평균 눈높이가 160cm이고, 표준편차가 5일 때, 눈높이의 5ile을 구하시오. (단, 정규분포를 따르며,Z0.90 = 1.28, Z0.095 = 1.65, Z0.99 = 2.32

    151.75츠

    문제이미지

    10

    인간공학기사 22년 3회

    근골격계부담작업 관련하여 ( )를 채우시오.

    하루에 10회 이상 ( 1 )kg 이상의 물체를 드는 작업

    하루에 ( 2 )회 이상 10kg 이상의 물체를 무릎 아래에서 들거나, 어꺠 위에서 들거나 팔을 뻗은 상태에서 드는 작업

    하루에 총 ( 3 )시간 이상, 분당 2회 이상 ( 4 ) 이상의 물체를 드는 작업

    1. 25

    2. 25

    3. 2

    4. 4.5

    11

    인간공학기사 22년 3회

    NIOSH Lifting Equation의 들기계수 6가지를 쓰시오.

    - 수평계수

    - 수직계수

    - 거리계수

    - 비대칭계수

    - 빈도계수

    - 결합계수

    12

    인간공학기사 22년 3회

    손 - 팔 진동을 줄이는 방법 4가지를 쓰시오.

    - 진동수준이 최저인 수공구 선택

    - 진동용 장갑을 착용하여 진동을 감소시킨다.

    - 진동공구의 하루 사용시간을 제한한다.

    - 진동공구를 사용할 때는 중간 휴식시간을 길게 한다.

    13

    인간공학기사 22년 3회

    조종장치와 표시장치를 양립하여 설계하였을 때 장점 5가지를 쓰시오.

    - 조작오류가 적다.

    - 학습이 빠르다.

    - 위급 시 대처능력이 빠르다.

    - 작업실행속도가 빠르다.

    - 만족도가 높다.

    14

    인간공학기사 22년 3회

    웨버(Weber)의 비가 1/60이면, 길이가 20cm인 경우 직선상에 어느정도의 길이에서 감지 할 수 있는지 쓰시오.

    0.33cm

    문제이미지

    15

    인간공학기사 22년 3회

    유독가스 작업장에서 작업자 1명의 신뢰도가 0.9일 경우, 작업자 2명이 동시에 작업을 했을 때 신뢰도는 얼마인가? (단, 두 작업자의 신뢰도는 0.9로 모두 동일하다.)

    식 : 1-(1-0.9) x (1-0.9) = 0.99

    답 : 0.99

    16

    인간공학기사 22년 3회

    조종장치의 손잡이 길이가 5cm이고, 60도를 움직였을 때 표시장치에서 3cm가 이동하였다. 이때, C/R비를 구하시오.

    1.745

    문제이미지

    17

    인간공학기사 22년 3회

    정신적 피로도를 측정하는 NASA-TLX(Task Load Index)의 6가지 척도를 쓰시오.

    - 정신적 요구

    - 육체적 요구

    - 일시적 요구

    - 수행

    - 노력

    - 좌절

    18

    인간공학기사 22년 3회

    제조물책입법(PL)에서의 대표적인 3가지 결함을 쓰시오.

    - 제조상의 결함

    - 설계상의 결함

    - 표시상의 결함