모두CBT | 국가고시 실기시험 부시기!

인간공학기사 23년 3회 해설 페이지

인간공학기사 23년 3회

    1

    인간공학기사 23년 3회

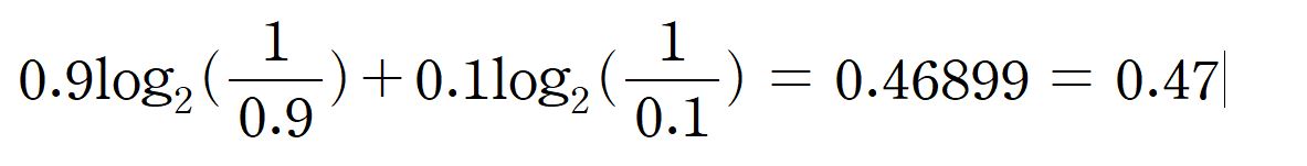
    휘어진 동전을 던졌을 때 앞면이 나올 확률은 0.9이고, 뒷면이 나올 확률은 0.1이다. 이 때의 정보량을 구하시오

    0.47

    문제이미지

    2

    인간공학기사 23년 3회

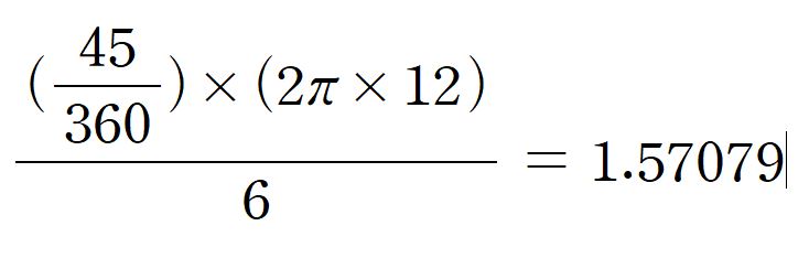
    조종장치의 손잡이 길이가 12cm이고, 45도 움직였을 때 표시장치에서 6cm가 이동하였다. C/R비는 얼마인지 쓰시오.

    1.57

    문제이미지

    3

    인간공학기사 23년 3회

    안전설계원리의 종류 중 Tamper-Proof에 대해 설명하시오.

    사용자 또는 조작자가 임의로 장비의 안전장치를 제거할 경우, 제품이 작동되지 않도록 설계하는 개념

    문제이미지

    4

    인간공학기사 23년 3회

    집단의 평균 신장이 173.8cm, 표준편차 5.83일 때 신장의 95%ile, 50%ile, 5%ile을 구하시오.(다느 정규분포를 따르며Z _{0.95=1.645}

    1. 95%ile = 183.39cm

    2. 50%ile = 173.8cm

    3. 5%ile = 164.21cm

    문제이미지

    5

    인간공학기사 23년 3회

    상완을 자연스럽게 수직으로 늘어뜨린 채, 전완만으로 편하게 뻗어 파악할 수 있는 작업영역에 대한 명칭을 적으시오.

    정상작업영역

    문제이미지

    6

    인간공학기사 23년 3회

    다음은 THERP에 대한 문지이다. A(밸브를 연다)와 B(밸브를 천천히 잠근다)를 실시할 때 성공할 확률은 얼마인지 구하시오.

    문제이미지

    0.661

    문제이미지

    7

    인간공학기사 23년 3회

    인체긴장도를 전기적 신호로 측정하는 방법 3가지를 쓰시오.

    1. 뇌전도(EEG)

    2. 심전도(ECG)

    3. 근전도(EMG)

    4. 안전도(EOG)

    5. 전기피부반응(GSR)

    8

    인간공학기사 23년 3회

    근골격계질환 예방,관리 교육에 대하여 사업주가 근로자에게 알려야 하는 사항 3가지를 쓰시오.(단, 근골격계질환 예방에 관련된 사항 제외)

    1. 근골격계부담작업의 유해요인

    2. 근골격계질환의 징후와 증상

    3. 근골격계질환 발생 시의 대처요령

    4. 올바른 작업자세와 작업도구, 작업시설의 올바른 사용방법

    9

    인간공학기사 23년 3회

    효율적으로 부품을 배치하기 위한 원칙 4가지를 쓰시오.

    1. 중요성의 원칙

    2. 사용빈도의 원칙

    3. 기능별 배치의 원칙

    4. 사용순서의 원칙

    10

    인간공학기사 23년 3회

    테니스 엘보라고도 하며, 팔꿈치의 바깥쪽 돌출된 부위에 통증과 함께 발생된 염증으로 엘보라고도 한다. 손목이나 팔을 반복적으로 사용하거나 팔꿈치에 직접적인 손상을 입었던 환자에게서 주로 발생하는 것은 무엇인가?

    외상과염

    11

    인간공학기사 23년 3회

    신로검출이론에서 신호의 유무를 판정하는 반응대안을 다음 예시를 제외한 3가지를 쓰시오. [ 신호의 정확한 판정(Hit) : 신호가 나타났을때 신호라고 판정, P(S/S) ]

    1. 허위경보(False Alarm) : 잡음을 신호로 판정, P(S/N)

    2. 신호검출실패(Miss) : 신호가 나타났는데도 잡음으로 판정,P(N/S)

    3. 잡음을 제대로 판정(Correct Noise) : 잡음만 있을 때 잡음이라고 판정,P(N/N)

    12

    인간공학기사 23년 3회

    Swain의 인간오류 4가지를 쓰시오.

    1. 작위 오류(Commission error) : 절차를 불확실하게 수행함

    2. 부작위 오류(omission error) : 절차를 수행하지 않음(생략오류)

    3. 시간 오류(Time error) : 절차의 수행 지연으로 인한 에러

    4. 순서 오류(sequence error) : 절차의 순서 착오로 인한 에러

    5. 과잉행동 오류(Extraneous error) : 불필요한 작업 또는 절차를 수행하여 발생한 오류

    13

    인간공학기사 23년 3회

    구조적 인체치수와 기능적 인체치수의 차이점을 설명하시오

    1. 구조적 인체치수

    - 형태학적 측정이라고도 하며, 표준자세에서 움직이지 않는 피측정자를 인체측정기로 구조적 인체치수를 측정하여 특수 또는 일반적 용품의 설계에 기초자료로 활용한다.

    - 사용 인체측정기 : 마틴식 인체측정기

    2. 기능적 인체치수

    - 동적 인체측정은 일반적으로 상지나 하지의 운동, 체위의 움직임에 따른 상태에서 측정하는 것

    - 동적측정은 마틴식 계측기로는 측정이 불가능하며, 사진 및 시네마 필름을 사용한 3차원 해석장치나 새로운 계측 시스템이 요구된다.

    14

    인간공학기사 23년 3회

    안전보건관리 책임자의 직무에 대해 쓰시오.

    1. 사업장의 산업재해 예방계획의 수립에 관한 사항

    2. 안전보건관리규정의 작성 및 변경에 관한 사항

    3. 안전보건교육에 관한 사항

    4. 작업환경측정 등 작업환경의 점검 및 개선에 관한 사항

    15

    인간공학기사 23년 3회

    작업과 관련하여 특정 신체부위 및 근육의 과도한 사용으로 인해 근육, 연골, 건, 인대, 관절, 혈관, 신경 등에 미세한 손상이 발생하여 목, 허리, 무릎, 어깨, 팔, 손목 및 손가락 등에 나타나는 만성적인 건강장해를 무엇이라 하는가?

    작업관련성 근골격계질환

    16

    인간공학기사 23년 3회

    근골격계부담작업 관련하여 ( ) 를 채우시오.

    - 하루에 ( 1 )시간 이상 집중적으로 자료입력 등을 위해 키보드 또는 마우스를 조작하는 작업

    - 하루에 총 ( 2 )시간 이상 목, 어깨, 팔꿈치, 손목 또는 손을 사용하여 같은 동작을 반복하는 작업

    - 하루 ( 3 )회 이상 25kg 이상의 물체를 드는 작업

    - 하루 ( 4 )회 이상 10kg 이상의 물체를 무릎 아래에서 들거나, 위에서 들거나 팔을 뻗은 상태에서 드는 작업

    1. 하루에 ( 4 )시간 이상 집중적으로 자료입력 등을 위해 키보드 또는 마우스를 조작하는 작업

    -2.하루에 총 ( 2 )시간 이상 목, 어깨, 팔꿈치, 손목 또는 손을 사용하여 같은 동작을 반복하는 작업

    3. 하루 ( 10 )회 이상 25kg 이상의 물체를 드는 작업

    4. 하루 ( 25 )회 이상 10kg 이상의 물체를 무릎 아래에서 들거나, 위에서 들거나 팔을 뻗은 상태에서 드는 작업

    17

    인간공학기사 23년 3회

    양립성 관련하여 ( ) 를 채우시오.

    - 자동차 핸들을 오른쪽으로 돌리면 오른쪽으로 움직이고, 왼쪽으로 움직이는 것을 ( 1 )양립성, 오른쪽 스위치를 켜면 오른쪽 전등이 켜지고, 왼쪽 스위치를 켜면 왼쪽 전등이 켜지는 것을 ( 2 )양립성, 간장통은 검은색, 식초통은 흰색이라고 인지하는 것을 ( 3 )양립성이라고 한다.

    1. 운동

    2. 공간

    3. 개념

    18

    인간공학기사 23년 3회

    케이블 브릿지의 높이가 낮아 작업자가 이동 시 머리 부딪힘 위험이 있다. 이때 케이블 브릿지를 재설계할 때의 인체측정변수, 설계원칙, 여유공간요소를 작성하시오.

    1. 인체측정변수 : 작업자의 신장

    2. 설계원칙: 극단치 설계 중 최대치

    3. 여유공간요소 : 작업자가 착용한 안전모, 안전화 굽의 높이 등의 여유공간요소를 고려하여 설계하여야 한다.