모두CBT | 국가고시 실기시험 부시기!

직8딴_대기환경기사_계산형(201~245) 해설 페이지

직8딴_대기환경기사_계산형(201~245)

    1

    직8딴_대기환경기사_계산형(201~245)

    ☆☆

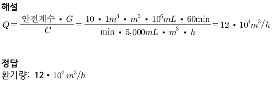
    안전계수 10이고, 배출 CO2CO_2 양이 1m3/min1m^3/min일 때 공기 중 CO2CO_2 를 5,000ppm으로 유지하기 위한 환기량(m3/hm^3/h)을 구하시오.

    문제이미지

    2

    직8딴_대기환경기사_계산형(201~245)

    ☆☆☆

    다이옥신 측정 결과 17%의 산소농도에서 다음과 같은 결과를 얻었다. 다이옥신 농도(ng/Sm3ng/Sm^3)를 산소농도 10%로 환산해 독성등가인자를 고려해 구하시오.

    문제이미지
    문제이미지

    3

    직8딴_대기환경기사_계산형(201~245)

    ☆☆☆☆

    X물질이 1차 반응에서 550초 동안 50%가 분해됐다면 10%남을 때까지의 시간(초)을 구하시오.

    문제이미지

    4

    직8딴_대기환경기사_계산형(201~245)

    180분 동안 반응물 1kmol이 0.1kmol이 된다면 99% 반응하여 0.01kmol이 되는데 걸리는 시간(min)을 구하시오. (반응: 1차 반응)

    문제이미지

    5

    직8딴_대기환경기사_계산형(201~245)

    ☆☆☆☆☆

    6,000kcal/kg의 발열량을 갖는 석탄을 연소하고 있다. SO2SO_2의 규제 기준이 3mgSO2SO_2/kcal이라면 기준에 맞는 석탄의 황 함유량(%)을 구하시오.

    문제이미지

    6

    직8딴_대기환경기사_계산형(201~245)

    ☆☆☆☆

    기체크로마토그래피에서 이론단수가 2,000되는 분리관이 있다. 보유시간이 10분되는 피이크 밑부분 폭(피이크 좌우 변곡점에서 접선이 자르는 바탕선 길이)(mm)를 구하시오.

       (기록지 이동속도: 1.5cm/min, 이론단수는 모든 성분에 대해 같다.)

    문제이미지

    7

    직8딴_대기환경기사_계산형(201~245)

    원심력 집진기를 이용해 분진 처리 시 분리계수 50, 입구 유속 15m/s일 때 원추 하부 반경(m)을 구하시오.

    문제이미지

    8

    직8딴_대기환경기사_계산형(201~245)

    원심력 집진기 직경 150cm이고, 유속이 10m/s일 때 분리계수를 구하시오.

    문제이미지

    9

    직8딴_대기환경기사_계산형(201~245)

    ☆☆☆

    다음 조건을 이용해 기체크로마토그램에서 피크 분리정도를 나타내는 분리도와 분리계수를 구하시오.


    ∙시료 도입점으로부터 봉우리 1의 최고점까지의 길이: 3분

    ∙시료 도입점으로부터 봉우리 2의 최고점까지의 길이: 5분

    ∙봉우리 1의 좌우변곡점에서의 접선이 자르는 바탕선의 길이: 40초

    ∙봉우리 2의 좌우변곡점에서의 접선이 자르는 바탕선의 길이: 60초

    문제이미지

    10

    직8딴_대기환경기사_계산형(201~245)

    CO,CO2,CH4CO, CO_2, CH_4 가 혼합된 기체를 GC로 분석하여 다음과 같은 피크를 얻었다. 각 면적은 시료에 함유된 각 성분의 몰수와 비례할 때, CO,CH4,CO2CO, CH_4, CO_2 의 몰분율과 질량분율을 각각 구하시오.

    문제이미지
    문제이미지

    11

    직8딴_대기환경기사_계산형(201~245)

    ☆☆☆

    전기집진장치에서 전류밀도가 먼지층 표면부근의 이온전류 밀도와 같고 양호한 집진작용이 이루어지는 값이 3 ‧108A/cm23 ‧10^{-8}A/cm^2 이며, 또한 먼지층 중의 절연파괴 전계강도를 5 ‧103V/cm5 ‧ 10^3V/cm로 할 때 먼지층 겉보기 전기저항(Ω ‧cmΩ ‧ cm)과 문제점을 구하시오.

    문제이미지

    12

    직8딴_대기환경기사_계산형(201~245)

    ☆☆☆☆

    특정 장소에서 이번 월의 최대지표온도가 20°C였다. 지면 온도가 15°C, 1,000m 고도에서 온도가 10°C이고, 건조단열체감율 –0.98°C/100m일 때 물음에 답하시오.


     1. 환경감율  2. 대기 안정여부  3. 연기모양  4. 최대혼합고(m)

    문제이미지

    13

    직8딴_대기환경기사_계산형(201~245)

    ☆☆☆☆☆

    미세먼지(PM10) 측정농도가 75, 80, 100, 70, 60µg/m360µg/m^3일 때 물음에 답하시오.


    1. 기하학적 평균을 계산한 후 환경기준 24시간 평균치와 비교

    2. 산술평균을 계산한 후 환경기준 24시간 평균치와 비교

    문제이미지

    14

    직8딴_대기환경기사_계산형(201~245)

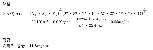
    9일간 오존의 농도이다. 9일간의 기하학 평균(mg/m3mg/m^3)을 구하시오.


    단위: ppb

    27   37   25   12   57   37   18   28   47

    문제이미지

    15

    직8딴_대기환경기사_계산형(201~245)

    ☆☆

    다음 조건을 이용해 0~5μm 입경범위에서의 부분집진효율(%)을 구하시오.


    ∙입구 먼지농도: 15g/m315g/m^3

    ∙출구 먼지농도: 0.15g/m30.15g/m^3

    ∙입구 0~5µm 입경 중량범위: 10%

    ∙출구 0~5µm 입경 중량범위: 50%

    문제이미지

    16

    직8딴_대기환경기사_계산형(201~245)

    ☆☆

    자외선/가시선 분광법으로 측정한 A물질 농도가 0.02M, 빛 투사거리는 0.3mm이라 한다면 A물질 흡광도를 구하시오.(흡광계수: 90)

    문제이미지

    17

    직8딴_대기환경기사_계산형(201~245)

    ☆☆

    분진 농도를 측정하기 위해 여과지를 통해 0.5m/s 속도로 6시간 동안 여과시킨 결과 깨끗한 여과지에 비해 사용된 여과지의 빛전달율이 75%였다면 1,000m당 Coh를 구하고, 오염도를 판정하시오.

    문제이미지

    18

    직8딴_대기환경기사_계산형(201~245)

    ☆☆

    빛 소멸계수(σextσ_{ext}) 0.5km1km^{-1}인 대기에서 시정거리 한계를 빛의 강도가 초기강도의 95%가 감소했을 때 거리라고 정의할 때, 시정거리 한계(km)를 구하시오.(광도는 Lambert-Beer법칙 따르며 자연대수로 적용)

    문제이미지

    19

    직8딴_대기환경기사_계산형(201~245)

    ☆☆

    염소 36mg/Sm336mg/Sm^3 포함된 가스 15,000Sm3/h15,000Sm^3/h로 배출 중이다.

    NaOHNaOH를 사용해 염소농도 5ppm으로 낮추려 할 때 필요한 NaOHNaOH양(kg/h)를 구하시오.

    문제이미지

    20

    직8딴_대기환경기사_계산형(201~245)

    ☆☆☆

    염소농도 250ppm인 배기가스 2,500Sm3/h2,500Sm^3/h를 수산화나트륨 수용액으로 세정처리해 염소 제거 하려 한다. 이때 발생하는 차아염소산 나트륨(NaOClNaOCl)양(kg/h)을 구하시오.

    문제이미지

    21

    직8딴_대기환경기사_계산형(201~245)

    ☆☆

    Cl2Cl_2농도 1%인 배출가스 10,000Sm3/h10,000Sm^3/hCa(OH)2Ca(OH)_2 현탁액으로 세정처리 시 필요한 Ca(OH)2Ca(OH)_2양(kg/h)을 구하시오.

    문제이미지

    22

    직8딴_대기환경기사_계산형(201~245)

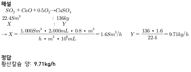
    ☆☆☆

    처리율 80%인 건식 석회주입법으로 배기가스 중 SO2SO_2를 제거하려 한다. 배기가스량 1,000Sm3/h1,000Sm^3/h, SO2SO_2농도 2,000ppm이라 할 때 생성되는 황산칼슘 양(kg/h)구하시오.

    문제이미지

    23

    직8딴_대기환경기사_계산형(201~245)

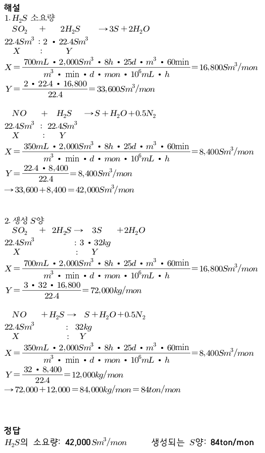
    어느 공장의 배기가스량은 2,000Sm3/minSm^3/min이고 배기가스에 포함된 SO2의 농도는 700ppm, NO 농도는 350ppm이다. H2SH_2S를 환원제로 이용하여 SO2와 NO를 선택적 접촉환원법으로 동시에 제거하려고 한다. H2SH_2S의 소요량(Sm3/Sm^3/월)은 얼마이고 생성되는 S는 얼마(ton/ton/월)인가? (단, 반응률은 100%이고 SO2SO_2는 전부 SS로 전환되며 하루 8시간, 한 달에 25일 운전한다.)

    문제이미지

    24

    직8딴_대기환경기사_계산형(201~245)

    ☆☆☆☆

    입경이 X인 입자의 Rosin-Rammler 분포가 50%인 입자 직경이 50µm50µm라면 직경 30µm30µm인 입자의 R(%)를 구하시오.(입경계수(n): 1)

    문제이미지

    25

    직8딴_대기환경기사_계산형(201~245)

    22.4

    먼지의 입경 x를 R%로 표시하면 R=100e0.058xR = 100 • e^{-0.058 • x} 일 때, 입경 15μm이하의 것이 전체의 몇 %를 차지하는지 구하시오.


    문제이미지

    26

    직8딴_대기환경기사_계산형(201~245)

    미세먼지의 직경 1μm가 입구 100개에서 출구 65개, 5 μm가 입구 100개에서 출구 35개, 10μm가 입구 100개에서 출구 10개 되었다. 개수효율과 질량효율을 구하시오. (단, 밀도는 입경과 관계없이 1g/cm3이다.)

    문제이미지

    27

    직8딴_대기환경기사_계산형(201~245)

    ☆☆

    1% 염화수소를 포함하는 가스 1,000m3/h1,000m^3/h를 수산화칼슘으로 중화하려 한다. 이때 필요한 수산화칼슘 소비량(kg/h)을 구하시오.

    문제이미지

    28

    직8딴_대기환경기사_계산형(201~245)

    황이 5wt% 함유된 원유 1ton에 수소를 첨가하여 H2SH_2S로 전환하려고 한다. 이 때 H2SH_2S의 부피(Sm3Sm^3)는 얼마인지 쓰시오.

    문제이미지

    29

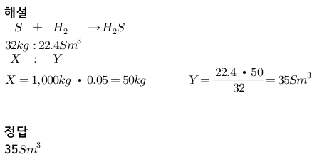
    직8딴_대기환경기사_계산형(201~245)

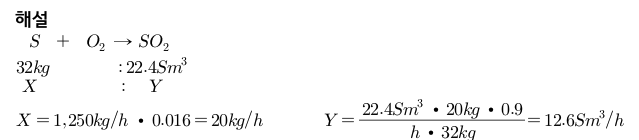
    황이 1.6wt%함유된 중유를 1,250kg/h로 연소시킬 때 SO2SO_2배출량Sm3/hSm^3/h을 구하시오. 표준상태이며 황은 100% 반응하고, 중유 비중은 0.9이다.

    12.6

    문제이미지

    30

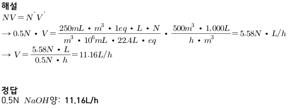
    직8딴_대기환경기사_계산형(201~245)

    세정탑 이용해 250ppm 염화수소 함유가스 500m3/h500m^3/h를 처리하려 한다. 액가스비 1.5L/m31.5L/m^3, 염화수소는 100% 흡수할 때 배출수 중화시키기 위한 0.5N0.5N NaOHNaOH양(L/h)를 구하시오.

    문제이미지

    31

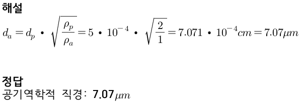
    직8딴_대기환경기사_계산형(201~245)

    먼지 stokes 직경 5 ‧104cm5 ‧ 10^{-4}cm , 입자 밀도 2g/cm32g/cm^3일 때 공기역학적 직경(μm)을 구하시오.

    문제이미지

    32

    직8딴_대기환경기사_계산형(201~245)

    ☆☆

    다음 조건을 이용해 활성탄 흡착층의 운전흡착용량(kg/kg)을 구하시오.

    문제이미지
    문제이미지

    33

    직8딴_대기환경기사_계산형(201~245)

    ☆☆☆

    NH3NH_3 제거를 위하여 활성탄으로 흡착 처리하였다. NH3NH_3 농도가 56mg/L 인 배기가스에 활성탄을 20mg/L 주입하였더니 NH3NH_3 농도는 16mg/L 으로 되었고, 52mg/L 을 주입하였더니 NH3NH_3농도는 4mg/L 으로 되었다. 농도를 7.5mg/L 으로 낮추기 위해서는 활성탄을 몇 mg/L 주입해야 하는지 구하시오. (Fruendlich 등온흡착식 이용)

    문제이미지

    34

    직8딴_대기환경기사_계산형(201~245)

    페놀(C6H5OHC_6H_5OH)농도가 24,000ppm, 온도 25℃, 압력 1atm, 유량이 240m3/min240m^3/min 으로 배출되고 있다. 충전탑에 채운 활성탄은 1000kg이고 활성탄 1kg 당 0.3kg 의 페놀을 흡착한다면 100% 제거하는데 소요되는 시간(분)은 얼마인지 구하시오.

    문제이미지

    35

    직8딴_대기환경기사_계산형(201~245)

    ☆☆

    다음 표를 보고 아래의 물음에 답하시오.

    문제이미지
    문제이미지

    36

    직8딴_대기환경기사_계산형(201~245)

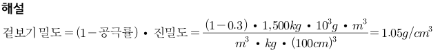
    공극률이 30%인 분진의 밀도가 1,500kg/m3kg/m^3일 때 겉보기 밀도(g/cm3g/cm^3)를 구하시오.

    1.05

    문제이미지

    37

    직8딴_대기환경기사_계산형(201~245)

    ☆☆

    다음 조건을 이용해 가시거리(m)를 구하시오.

    문제이미지
    문제이미지

    38

    직8딴_대기환경기사_계산형(201~245)

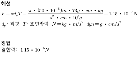
    직경 50μm 표면에 수분 존재 시 입자간 부착한 액에 의해 표면장력이 작용할 시 결합력

    (N)을 구하시오.(표면장력: 73dyne/cm, 유효숫자 세자리)

    문제이미지

    39

    직8딴_대기환경기사_계산형(201~245)

    공장에서 SO2SO_2 1,500ppm을 포함한 60,000m3/h60,000m^3/h의 배기가스를 배출하고 있다. 이 배기가스의 30%가 주변 주택으로 흘러가 피해를 주고 있다. 주택으로 흘러간 SO2SO_2 양(ton/yr)을 구하시오. (공장은 하루 24시간. 연간 300일 가동)

    문제이미지

    40

    직8딴_대기환경기사_계산형(201~245)

    ☆☆

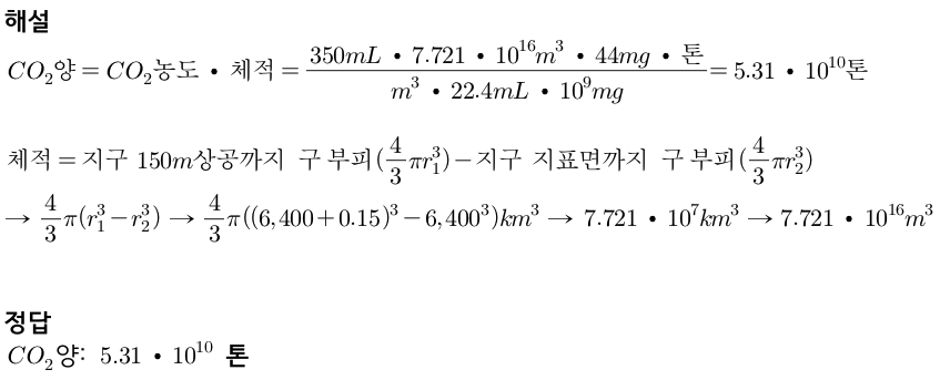
    지표면 근처 CO2CO_2 농도 측정 결과 평균 350ppm이었다. 지구 반지름이 6,400km일 때 지표면과 지표면으로부터 150m 상공사이에 존재하는 CO2CO_2양(톤)을 계산하시오. (표준상태, 유효숫자 세자리)

    문제이미지

    41

    직8딴_대기환경기사_계산형(201~245)

    처리가스 중 오염물질 60ppm을 흡착 처리해 5ppm으로 배출할 때 흡착제 양(g)을 구하시오. (흡착용량: 200L, k: 0.015, 1/n: 4)

    흡착제 양: 1.17g

    문제이미지

    42

    직8딴_대기환경기사_계산형(201~245)

    효율이 40%인 발전소가 발전량이 1000MW이며 연료의 발열량은 26,700kJ/kg, 연료 중 회분이 12% 함유되어 있고, 회분의 40%는 배기가스 내의 분진으로 배출된다. 다음 표를 이용하여 처리된 후 대기로 방출되는 분진의 양(kg/s)은 얼마인가?

    문제이미지
    문제이미지

    43

    직8딴_대기환경기사_계산형(201~245)

    효율은 34%이며 발전량은 500MW로 운전되는 발전소에 발열량 7,000kcal/kg의 석탄을 사용하고 있다. 석탄 조성은 wt%로 탄소 62%, 수소 14%, 황 2%, 회분 22%으로 구성되어 있다. 회분은 연소되지 않으며 공기비는 1.5로 가연성분은 완전연소된다. 이때 건연소가스량(Sm3/sSm^3/s)을 구하시오.

    문제이미지

    44

    직8딴_대기환경기사_계산형(201~245)

    공업분석법을 이용해 수분 39wt%, 회분 8wt%인 물질이 있다. 이를 연소해 휘발분 54wt%, 고정탄소 46wt%로 만들었다. 다음 물음에 답하시오. 


    1. 연소 전 고정탄소(%)      2. 연소 전 휘발분(%)

    1. 24.38%   2. 28.62%


    해설

    공업분석시 4성분(고정탄소/휘발분/수분/회분)이 있다. 연소 전 물질을 100g으로 가정한다.

    따라서 연소 전 고정탄소는 53∙0.46=24.38g, 휘발분은 53∙0.54=28.62g이다.

    문제이미지

    45

    직8딴_대기환경기사_계산형(201~245)

    도시의 면적이 965km2965km^2이며 주민은 254만명, 전국 평균 인구 밀도가 490/km2490명/km^2이다.

    이때 가주지(=거주하고 있는 장소) 면적이 10%라면 측정점의 수(개)는 얼마인지 구하시오.

    문제이미지