모두CBT | 국가고시 실기시험 부시기!

2025년 3회 1 해설 페이지

2025년 3회 1

    1

    2025년 3회 1

    07. 다름 그림의 시스템 방식은?

    문제이미지

    시퀀스 제어 = 개회로

    피드백 제어 = 폐회로

    2

    2025년 3회 1

    09. 정성적 제어 방식으로 분류되는 것은?

    정성적 : 순서, 상태 = 시퀀스 제어

    정량적 : 크기, 양 (온도, 압력, 유량. . .) = 피드백 제어

    3

    2025년 3회 1

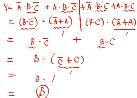
    14. 다음 논리식을 간단히 한 것은?

    문제이미지
    문제이미지

    4

    2025년 3회 1

    16. 표준 압력계로서 다른 압력계의 교정용으로 사용되는 것은?

    5

    2025년 3회 1

    20. 연산증폭기의 특징이 아닌 것은?

    연산증폭기 = 전원 2개 + 입력 2개 + 출력 1개 (비반전 +, 반전 - )

    6

    2025년 3회 1

    25. 송풍기를 흡입 방법에 의해 분류했을 때 속하지 않는 것은?

    임펠러 흡입구에 의한 - 편, 양, 양쪽 흐름 다단형


    흡입 방법에 의한 - 실내 대기, 흡입란 취부, 풍로

    7

    2025년 3회 1

    27. 보통 금속과 고무로 되어 있고 회전축의 동적실로 사용되는 것으로 바깥쪽 부분은 하우징에 고정시키고 안쪽 부분은 회전축에 부착하여 스프링으로 두 실 부분을 단단히 지지하는 기밀요소는?

    회전링, 고정링, 스프링 = 메카니컬 씰(Mechanical Seal)

    8

    2025년 3회 1

    9

    2025년 3회 1