모두CBT | 국가고시 실기시험 부시기!

16년 1회 오답노트 해설 페이지

16년 1회 오답노트

    1

    16년 1회 오답노트
    문제이미지

    (1) 앵커쇄클

    (2) 체인링크

    (3) 삼각요크

    (4) 볼크레비스

    (5) 현수애자

    (6) 소켓 크레비스

    (7) 압축형 인류 클램프

    2

    16년 1회 오답노트
    문제이미지

    심타공법: 접지봉을 지표에서 타입하는 방법으로 접지봉을 직렬 접속

    병렬접지공법: 독립접지봉을 여러개 묻고 각 접지봉을 병렬로 연결

    3

    16년 1회 오답노트
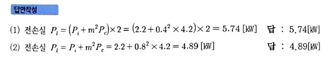
    문제이미지

    2대 운영은 0.4 부하율로 구해서 x2 해주면 되고

    1대 운영은 부하 분담이 하나가 짊어져야해서 0.8 부하가 된다

    문제이미지

    4

    16년 1회 오답노트
    문제이미지

    (1)내부적인 원인에 의한 이상전압, 섬락\

    (2) 섬락전압

    (3) 초호각

    5

    16년 1회 오답노트

    가공전선로 설계시 부하계수란 무엇인가?

    합성하중과 전선자중에 대한 비

    6

    16년 1회 오답노트

    전기설비에 지락 등의 고장이 발생한 경우에, 해당 전기설비에 사람 등이 접촉하여 발생하는 간접접촉의 감전예방 보호방법 5가지를 쓰시오.

    전원의 자동차단

    2급 기기의 사용

    비도전성 장소

    비접지 국부 등전위본딩

    전기적 분리


    에 의한 보호

    7

    16년 1회 오답노트

    감전의 위험이 있는 전기시설의 부위에는 전기의 가압 여부를 식별할 수 있는 활선 표시 장치 등을 각 상에 부착하도록 권장하고 있다. 이 활선 표시 장치의 권장 설치장소 3곳을 쓰시오.

    수전점 개폐기의 전원측 및 부하측 각 상

    분기회로 개폐기의 전원측 및 부하측 각 상

    변압기 전원측 및 부하측 각 ㅅ ㅏㅇ

    8

    16년 1회 오답노트

    송전방식에는 교류송전과 직류송전방식이 있다. 직류송전방식의 장점 3가지

    절연계급을 낮출 수 있다.

    무효전력 및 송전손실이 없다.

    역률이 1이라 효율이 좋다.

    리액턴스, 위상각이 없어 안정도 좋다.

    9

    16년 1회 오답노트

    자동화재탐지설비 중 부착높이 15m 이상 20m 미만에 적용하는 감지기 종류 3가지

    [이연복 아니고 불]

    이온화식 1종

    연기복합형

    불꽃감지기

    10

    16년 1회 오답노트

    시퀀스 참고