모두CBT | 국가고시 실기시험 부시기!

가스기사 필답 2025 3 해설 페이지

가스기사 필답 2025-3

    1

    가스기사 필답 2025-3

    정압기를 평가۰선정할 경우 각 특성이 사용조건에 적합하도록 정압기를 선정하여야 한다. 이때 고려하여야 할 사항 4가지를 쓰시오.

    1. 정특성

    2. 동특성

    3. 유량특성

    4. 사용최대차압


    -

    5. 작동최소차압

    2

    가스기사 필답 2025-3

    그린 메탄올이 기존에 있는 메탄올과 다른 점을 설명하시오.

    바이오 메탄올과 그린 수소를 재생 이산화탄소와 합성 반응시켜 생산되는 e-메탄올로 기존 메탄올보다 온실가스 배출량이 적다.

    3

    가스기사 필답 2025-3

    포스겐에 대한 물읍에 답하시오.


    1. 중화제 종류 2가지를 쓰시오.

    2. 액체 중화제와의 반응식을 쓰시오.

    1.

    - 가성소다 수용액

    - 소석회


    2.

    COCl2 + 4NaOH -> Na2CO3 + 2NaCl + 2H2O

    4

    가스기사 필답 2025-3

    수소추출설비 제조기준에 정한 용어의 뜻에 대한 명칭을 각각 쓰시오.


    1. 내압시험압력 및 기밀시험압력의 기준이 되는 압력으로서 사용 상태에서 해당 설비 등의 각부에 작용하는 최고사용압력이다.

    2. 화염이 있다는 신호가 오지 않는 상태에서 연소안전제어기가 가스의 공급을 허용하는 최대 시간이다.

    3. 수소추출설비의 비상정지 또는 화염검지실패 등이 발생하여 수소추출설비를 안전하게 정지하고, 이후 수동으로만 운전을 복귀시킬 수 있도록 하는 것이다.

    4. 위험 부분으로의 접근, 외부 분진의 침투 또는 물의 침투에 대한 외함의 방진보호 및 방수보호 등급이다.

    1. 상용압력

    2. 안전차단시간

    3. 로크아웃(lockout)

    4. IP 등급

    5

    가스기사 필답 2025-3

    고정식 압축도시가스 자동차 충전시설에서 압축가스설비의 인입 배관 및 압축장치의 입구측 배관에 설치하는 것의 명칭을 쓰시오.

    역류방지장치 (또는 역류방지밸브)


    -

    역류방지장치 설치(KGS FP651)

    6

    가스기사 필답 2025-3

    고압가스설비 중에서 반응기 또는 이와 유사한 설비로서 현저한 발열반응 또는 부차적으로 발생되는 2차 반응에 의하여 폭발 등의 위해가 발생할 가능성이 큰 특수반응설비 4가지를 쓰시오.

    1. 메탄올합성 반응탑

    2. 암모니아 2차 개질로

    3. 저밀도폴리에틸렌 중합기

    4. 에틸렌 제조시설의 아세틸란 수첨탑


    -

    5. 산화에틸렌 제조시설의 에틸렌과 산소 또는 공기와의 반응기

    6. 사이클로헥산 제조시설의 벤젠 수첨 반응기

    7. 석유정제에 있어서 중유 직접 수첨 탈황 반응기 및 수소화분해 반응기

    7

    가스기사 필답 2025-3

    용기에 의한 액화석유가스 사용시설에서 자연기화방식에 따른 저장능력 산정에서 용기 설치수량을 구하는 식을 완성하시오.

    용기설치수량 = 필요가스량(kg/h) / 용기 1개당 가스발생능력(kg/h) * 2(예비용기)


    -

    강제기화방식


    용기설치수량 = [필요가스량(kg/h) * 1일 평균사용시간(h) / 용기 1개장 저장능력(kg)] * 2(예비용기

    8

    가스기사 필답 2025-3

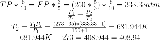
    최고충전압력이 게이지압력 250atm인 고압가스 용기에 산소를 35'C에서 게이지압력 150atm으로 충전하였다. 이후 주변 온도가 상승하여 용기 안전밸브가 작동하였을 온도는 몇 'C인가?

    408.94


    -


    문제이미지

    9

    가스기사 필답 2025-3

    온도변화에 의하여 배관에서 발생하는 열응력을 제거하는 이음 종류 4가지를 쓰시오.

    1. 루프형

    2. 슬리브형

    3. 벨로스형

    4. 상온 스프링


    -

    5. 스위블형

    6. 볼 조인트

    10

    가스기사 필답 2025-3

    공기액화 분리장치에서 액체 공기를 정류할 때 액체 아르곤은 액체 산소와 액체 질소 중 어느 쪽에 포함될 가능성이 더 높으니 선택하고, 그 이유를 답란에 쓰시오.

    1. 선택: 액체 산소

    2. 이유

    : 공기의 성분 가지 비점은 산소 -183'C, 아르곤 -186'C, 질소 -196'C이므로 산소와 아르곤은 비점이 비슷하여 액체 산소에 포함될 가능성이 더 높다.

    11

    가스기사 필답 2025-3

    고압가스설비에 설치하는 압력계에 대한 물음에 답하시오.


    1. 압력계의 최고눈금은 상용압력의 얼마인가?

    2. 국가표준기본법에 의한 제품인증을 받은 압력계를 2개 이상 비치하여야 하는 사업소의 1일에 처리할 수 있는 가스의 용적은 얼마인가?

    3. 충전용 주관의 압력계 기능 검사 주기는 얼마인가?

    1. 1.5배 이상 2배 이하

    2. 100㎥ 이상

    3. 매월 1회 이상



    12

    가스기사 필답 2025-3

    도시가스 제조공정 중 가스화 방식에 의한 분류 4가지를 쓰시오.

    1. 열분해 공정

    2. 접촉분해 공정

    3. 수소화분해 공정

    4. 부분연소 공정


    -

    5. 대체천연가스(SNG) 공정


    13

    가스기사 필답 2025-3

    액화석유가스를 저장하기 위하여 지상에 설치된 원통형 탱크에 흙과 모래를 사용하여 덮은 저장탱크의 명칭을 쓰시오.

    마운드형 저장탱크


    14

    가스기사 필답 2025-3

    가스용 폴리에틸렌관(PE배관)의 두께는 그 배관의 안전성을 확보하기 위하여 사용하는 가스의 압력에 따른 SDR값을 각각 쓰시오.


    1. 0.4 MPa 이하:

    2. 0.25 MPa 이하:

    3. 0.2 MPa 이하:

    1. 0.4 MPa 이하: SDR 11 이하

    2. 0.25 MPa 이하: SDR 17 이하

    3. 0.2 MPa 이하: SDR 21 이하


    -

    SDR = D(외경) / t(최소두께)

    15

    가스기사 필답 2025-3

    # 포기 문제로 그림, 풀이 생략


    내경 10cm 배관으로 그림과 같이 설치된 펌프에서 1.4m3/min으로 물을 송출할 때 1지점과 2지점에 에너지방정식을 적용하여 동력(kW)을 구하시오.

    (단, 종단 위치는 대기압에 노출되어 있고, 손실수두는 무시하며, 수조의 수위는 항상 일정하게 유지한다.)

    4.57kW