모두CBT | 국가고시 실기시험 부시기!

산업안전산업기사 필답∙작업 계산형(1번 ~ 23번) 해설 페이지

산업안전산업기사 필답∙작업 계산형(1번 ~ 23번)

    1

    산업안전산업기사 필답∙작업 계산형(1번 ~ 23번)

    ☆☆

    다음 조건으로 강도율을 구하시오.

      ∙근로자수: 100명  ∙1일 8시간씩 연 300일 근무   ∙장해등급 14급: 1명

      ∙사망 2명      ∙휴업일수: 37일

    강도율: 62.84

    문제이미지

    2

    산업안전산업기사 필답∙작업 계산형(1번 ~ 23번)

    ☆☆☆

    다음 조건으로 강도율을 구하시오.

       ∙도수율: 12      ∙연재해건수: 11건      ∙재해자수: 15명

       ∙총 휴업일수: 150일  ∙1일 9시간씩, 연간 250일 근무   

    강도율: 0.11

    문제이미지

    3

    산업안전산업기사 필답∙작업 계산형(1번 ~ 23번)

    ☆☆☆☆☆☆

    다음 조건으로 도수율을 구하시오.

    ∙근로자수: 500명 ∙연재해발생건수: 4건 ∙사상자: 9명 ∙1인당 연근로시간: 3,000시간

    도수율: 2.67

    문제이미지

    4

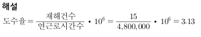
    산업안전산업기사 필답∙작업 계산형(1번 ~ 23번)

    다음 조건으로 도수율을 구하시오.

    ∙재해건수: 15건    ∙요양손실일수: 8,000일 

    ∙재해휴업일수: 300일   ∙연근로시간: 4,800,000시간

    도수율: 3.13

    문제이미지

    5

    산업안전산업기사 필답∙작업 계산형(1번 ~ 23번)

    ☆☆☆

    다음 조건으로 종합재해지수, 도수율과 강도율을 구하시오.

    ∙평균근로자수: 500명 ∙재해건수: 연간 20건 ∙근로손실일수: 150일 ∙휴업일수: 70일

    ∙근무시간: 1일 8시간 ∙근무일수: 연간 300일 ∙잔업시간: 인당 연간 50시간

    종합재해지수: 1.67 도수율: 16.33 강도율: 0.17

    문제이미지

    6

    산업안전산업기사 필답∙작업 계산형(1번 ~ 23번)

    다음 조건으로 근로자 1명에게 평생동안 몇 건의 요양재해가 발생하는지 구하시오.

    ∙연평균근로자: 800명 ∙요양재해건수: 50건 ∙인당 연평균잔업시간: 100시간

    평생 요양재해발생건수: 3건

    문제이미지

    7

    산업안전산업기사 필답∙작업 계산형(1번 ~ 23번)

    다음 조건으로 총요양근로손실일수를 구하시오.

    ∙강도율: 0.8 ∙인당 연근로시간: 2,400시간 ∙재해건수: 10건 ∙근로자수: 300명

    총요양근로손실일수: 576일

    문제이미지

    8

    산업안전산업기사 필답∙작업 계산형(1번 ~ 23번)

    다음과 같은 신체장해등급 판정자가 나왔을 때 요양근로손실일수를 구하시오

    ∙사망: 2명 ∙1급: 1명 ∙2급: 1명 ∙3급: 2명 ∙9급: 1명 ∙10급: 4명

    요양근로손실일수: 48,400일

    문제이미지

    9

    산업안전산업기사 필답∙작업 계산형(1번 ~ 23번)

    다음과 같은 조건에서 휴업재해율을 구하시오

    ∙사업장 내 생산설비에 의한 휴업재해자수: 10명

    ∙통상 출퇴근 재해에 의한 휴업재해자수: 50명

    ∙총 휴업재해일수: 300일  

    ∙임금근로자수: 1,000명  

    ∙총요양근로손실일수: 500일

    휴업재해율: 1


    해설


    휴업재해율 =휴업재해자수임금근로자수 \dfrac {휴업재해자수} {임금근로자수} * 100 = 101000 \dfrac {10} {1000} * 100 = 1


    휴업재해자수란 근로복지공단 휴업급여 지급받은 재해자수이다. 다만, 질병에 의한 재해와 사업장 밖의 교통사고(운수업, 음식숙박업은 사업장 밖의 교통사고도 포함)∙체육행사∙폭력행위∙통상의 출퇴근으로 발생한 재해는 제외한다.

    10

    산업안전산업기사 필답∙작업 계산형(1번 ~ 23번)

    정전용량 15pF인 도체가 메탄가스와 존재할 경우 폭발 가능한 최소 대전전위(V)를 구하시오. (단, 메탄의 착화최소에너지는 0.2mJ)

    5,163.98V

    문제이미지

    11

    산업안전산업기사 필답∙작업 계산형(1번 ~ 23번)

    ☆☆

    이황화탄소의 폭발범위가 1.25~44%일 때 위험도를 구하시오.

    위험도: 34.2

    문제이미지

    12

    산업안전산업기사 필답∙작업 계산형(1번 ~ 23번)

    ☆☆☆

    기체의 조성비가 수소 30%, 메탄 45%, 에탄 25%일 때 메탄의 위험도와 혼합기체의 폭발하한값과 폭발상한값을 구하시오.(단, 수소 폭발범위: 4~75vol%, 메탄 폭발범위: 5~15vol%, 에탄 폭발범위: 3~12.5vol%이다.)

    메탄 위험도: 2  혼합기체 폭발하한값: 4.03%  혼합기체 폭발상한값: 18.52%

    문제이미지

    13

    산업안전산업기사 필답∙작업 계산형(1번 ~ 23번)

    25℃, 1기압에서 CO의 농도가 15ppm이다. 이는 몇 mg/m3인지 구하시오.

    17.18mg/m3

    문제이미지

    14

    산업안전산업기사 필답∙작업 계산형(1번 ~ 23번)

    ☆☆

    숫돌 표면속도 2,500m/min이고, 연삭기 숫돌 스펙이 150*30*16일 때, 숫돌회전수(rpm)을 구하시오.

    숫돌회전수: 5,305.16rpm

    문제이미지

    15

    산업안전산업기사 필답∙작업 계산형(1번 ~ 23번)

    ☆☆☆☆

    1,000rpm으로 회전하는 롤러의 앞면 롤러의 지름이 50cm인 경우 앞면 롤러의 표면속도

    (m/min)와 관련 규정에 따른 급정지거리(cm)를 구하시오.

    표면속도: 1,570.8m/min  급정지거리: 62.83cm

    문제이미지

    16

    산업안전산업기사 필답∙작업 계산형(1번 ~ 23번)

    광전자식 방호장치가 설치된 마찰클러치식 기계 프레스에서 급정지 시간이 400ms인 경우 안전거리(mm)를 구하시오.

    안전거리: 640mm

    문제이미지

    17

    산업안전산업기사 필답∙작업 계산형(1번 ~ 23번)

    ☆☆

    둥근톱 두께가 1mm일 때 분할날 두께(mm)와 분할날 두께 관련 공식을 구하시오.

    분할날 두께: 1.1mm 공식: 1.1t₁ ≦ t₂ < b (t₁:톱 두께, t₂:분할날 두께, b:치진 폭)


    해설

    분할날의 두께는 둥근톱 두께의 1.1배 이상일 것 → 1∙1.1=1.1mm

    1.1t₁ ≦ t₂ < b (t₁:톱 두께, t₂:분할날 두께, b:치진 폭)

    18

    산업안전산업기사 필답∙작업 계산형(1번 ~ 23번)

    ☆☆☆☆

    보행금지 표지판 배경반사율 80%, 관련 그림 반사율 20%일 때 대비(%)를 구하시오.

    대비: 75%

    문제이미지

    19

    산업안전산업기사 필답∙작업 계산형(1번 ~ 23번)

    화물의 최대중량(kg)을 구하시오.(단, 지게차 중량(G): 1,000kg, a: 1m, b: 1.5m)

    문제이미지

    화물의 최대중량: 1,500kg


    해설

    W∙a ≤ G∙b → W∙1 ≤ 1,000∙1.5 → W ≤ 1,500

    W: 화물 중량               

    G: 지게차 중량

    a: 앞바퀴에서 화물 중심까지의 최단거리   

    b: 앞바퀴에서 지게차 중심까지의 최단거리

    M1: 화물 모멘트(=W∙a)          

    M2: 지게차 모멘트(=G∙b)

    20

    산업안전산업기사 필답∙작업 계산형(1번 ~ 23번)

    ☆☆☆

    그림과 같이 50kN의 중량물을 와이어 로프를 이용하여 상부에 60°의 각도가 되도록 들어 올릴 때, 로프 하나에 걸리는 하중(T)은 약 몇kN인지 구하시오.

    문제이미지

    28.87kN

    문제이미지

    21

    산업안전산업기사 필답∙작업 계산형(1번 ~ 23번)

    ☆☆

    와이어로프 현재지름이 9mm이고, 공칭지름은 10mm이다. 사용가능 여부와 이유를 쓰시오.

    법적 와이어로프 사용금지 기준: 지름의 감소가 공칭지름의 7%를 초과하는 것

    지름 감소율=(10-9)/10=0.1=10% 즉, 3% 더 초과

    따라서 사용 불가능!

    22

    산업안전산업기사 필답∙작업 계산형(1번 ~ 23번)

    건구온도 30℃, 습구온도 35℃일 때의 옥스포드(Oxford) 지수(℃)를 구하시오.

    해설

    Oxford 지수=0.85∙습구온도+0.15∙건구온도=0.85∙35+0.15∙30=34.25℃


    정답

    34.25℃

    23

    산업안전산업기사 필답∙작업 계산형(1번 ~ 23번)

    ☆☆

    10시간 설비 가동 시 설비고장으로 1시간 정지했을 때 설비고장 강도율(%)을 구하시오.

    설비고장 강도율: 10%

    문제이미지