모두CBT | 국가고시 실기시험 부시기!

가스기사 필답 2020 1 해설 페이지

가스기사 필답 2020-1

    1

    가스기사 필답 2020-1

    직동식 정압기에서 2차 압력이 설정압력보다 낮을 때 작동원리에 대해 설명하시오.

    2차측 가스 사용량이 증가하여

    정압기 스프링 힘이 다이어프램을 받치고 있는 힘보다 커서

    다이어프램에 연결된 메인밸브를 열리게 하여

    가스의 유량이 증가하에 되며

    2차압력을 설정압력으로 유지되도록 작동한다.

    2

    가스기사 필답 2020-1

    불활성화(inerting)작업에 대하여 설명하시오.

    가연성 혼합가스에 불활성 가스(아르곤, 질소 등)등을 주입하여 산소의 농도를 최소산소농도(MOC)이하로 낮추는 작업으로 이너팅 또는 퍼지작업이라고도 한다.

    3

    가스기사 필답 2020-1

    도시가스 공급방식 중 공급압력에 따른 종류 가지를 쓰시오.

    1. 저압 공급방식: 0.1MPa 미만

    2. 중압 공급방식: 0.1MPa 이상 1MPa 미만

    3. 고압 공급방식: 1MPa 이상

    4

    가스기사 필답 2020-1

    전양정 25m, 유량 1.2m3/min인 펌프로 물을 이송하는 경우 이 펌프의 축동력(PS)을 계산하시오.

    (단, 펌프의 효율은 85%이다.)

    7.84PS


    -

    1. 물의 비중량은 1000kgf/m3, 유량(Q)의 단위는 초당 유량으로 변환하여 적용.

    1.2 / 60 = 0.02m3/s


    2. 첨부참조

    문제이미지

    5

    가스기사 필답 2020-1

    금속재료에 인장응력이 작용하면 균열이 발생하고 부식이 발생한다.

    이와 같이 금속재료에 발생하는 응력부식의 방지대책 4가지를 쓰시오.

    1. 잔류응력 제거

    2. 합금조성 변화

    3. 재료 두께 크게한다

    4. 환경의 유해성분 제거

    6

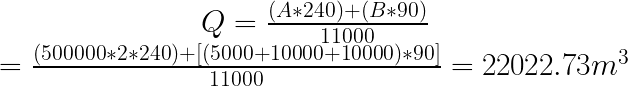
    가스기사 필답 2020-1

    도시가스 사용시설에 연소기가 다음과 같이 설치되어 있을 때 월사용예정량(m3)을 계산하시오.


    [보기]

    명칭 : 가스소비량 : 설치 수


    산업용 보일러 : 500,000kcal/h : 2

    취사용 밥솥 : 5,000kcal/h : 1

    취사용 국솥 : 10,000kcal/h : 1

    취사용 튀김기 : 10,000kcal/h : 1

    22022.73m3


    -

    공식 첨부참조


    -

    가스소비량 합계 방법(KGS FU551 도시가스 사용시설 기준)

    찾아서 한번 읽어보세요


    산업용, 비산업용 구분할 수 있어야 합니다 (공식의 A와 B)

    문제이미지

    7

    가스기사 필답 2020-1

    폭굉유도거리가 짧아지는 조건 4가지를 쓰시오

    1. 정상연소속도가 큰 혼합가스일수록

    2. 관 속에 방해물이 있을 때

    3. 압력이 높을수록

    4. 점화원 에너지 클수록

    8

    가스기사 필답 2020-1

    탄화수소를 원료로 도시가스를 제조하는 방법 중 대체천연가스 공정에서 가스화하는 공정 3가지를 쓰시오

    1. 수증기 개질 공정

    2. 부분연소 공정

    3. 수첨분해 공정


    -

    대체천연가스(SNG)또는 합성천연가스라고 부른다

    9

    가스기사 필답 2020-1

    LPG공급방식에서 공기 혼합가스(Air direct gas)를 공급하는 목적 3가지를 쓰시오

    1. 발열량 조절

    2. 재액화 방지

    3. 연소효율 증대


    -

    4. 누설 시 손실 감소

    10

    가스기사 필답 2020-1

    공기액화분리장치에서 CO2를 제거해야 하는 이유를 설명하시오

    장치 내에서 탄산가스는 고형의 드라이아이스가 되어 밸브 및 배고나을 폐쇄하여 장애를 발생시키므로

    11

    가스기사 필답 2020-1

    고압가스 충전용기 중 용접용기를 제조할 때 용기의 종류에 따른 부식 여유 두께(mm)를 쓰시오


    [보기]

    - 암모니아 충전하는 용기

    1. 내용적이 1000L 이하인 것

    2. 내용적이 1000L를 초과한 것


    - 염소를 충전하는 용기

    1. 내용적이 1000L 이하인 것

    2. 내용적이 1000L를 초과한 것

    1. 1mm

    2. 2mm


    3. 3mm

    4. 5mm

    12

    가스기사 필답 2020-1

    단열된 밀폐공간에서 2.1m3에 101kPa 상태로 공기가 5kg 채워졌을 때 온도는 몇'C인가?

    23.41'C


    -

    PV = GRT

    T = PV/GR

    = (101+101.325)*2.1

    / 5 * (8.314/29)

    = 23. 41

    13

    가스기사 필답 2020-1

    용접부에 대한 방사선투과시험을 할 때 개인의 방사선 피폭을 막기 위하여 휴대하여야 하는 장비는 무엇인가?

    가이거 계수기


    -

    가이거 계수기


    이온화 방사선을 측정하는 장치

    휴대하기 간편하여 방사능 측정장비로 널리 사용되고 있다.

    불활성 기체를 담은 가이거-뮐러 계수관을 이용하여 알파 베타입자, 감마선과 같은 방사능에 의해 불활성 기체가 이온화되는 정도를 표시하여 방사능을 측정한다.

    14

    가스기사 필답 2020-1

    냉동능력 산정 기준 산식 R = V/C 에서 주어진 조건별로 "V"를 계산하는 공식을 쓰고 설명하시오


    [보기]

    1. 다단압축방식, 다원냉동방식


    2. 회전피스톤형 압축기

    1. VH + 0.08VL


    2. 60 * 0.785tn (D2 - d2)

    15

    가스기사 필답 2020-1

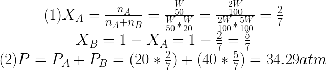
    온도가 일정한 상태에서 용기 내에 A와 B의 혼합기체가 동일한 질량으로 충전되어 있다. 이 용기 내의 압력은 얼마인가?

    (단, 이 온도에서 A의 증기압은 20atm, B의 증기압은 40atm, A의 분자량은 50, B의 분자량은 20으로 하고 라울의 법칙이 성립한다.)

    34.29atm


    -

    (1) 각 성분의 몰뷴율 계산


    (2) 용기 내의 압력 계산


    첨부참조


    문제이미지