모두CBT | 국가고시 실기시험 부시기!

가스기사 필답 2019 2 해설 페이지

가스기사 필답 2019-2

    1

    가스기사 필답 2019-2

    도시가스 공급시설에 대한 시공감리대상 4가지를 쓰시오.

    1. 일반도시가스사업자 및 도시가스사업자 외의 가스공급시설설치자의 배관(그 부속시설을 포함한다)

    2. 나프타부생가스۰바이오가스제조사업자 및 합성천연가스 제조사업자의 배관(그 부속시설을 포함한다)

    3. 가스도매사업자의 가스공급시설

    4. 일반도시가스사업자, 나프타부생가스۰바이오가스제조사업자, 합성천연가스 제조사업자 및 도시가스사업자 외의 가스공급시설 설치자의 가스공급시설 중 주요공정 시공감리대상의 시설을 제외한 가스공급시설


    -

    5. 시행규칙 제 21조 1항에 따른 시공감리의 대상이 되는 사용자 공급관(그 부속시설을 포함한다)


    도법 시행규칙 제23조 제4항


    -

    도법 ㅋㅋ 포기 ㅋㅋ

    2

    가스기사 필답 2019-2

    다음과 같은 조성을 가지는 부탄증열 제조가스의 진발열량(kcal/m3)을 계산하시오.

    (단, 수증기의 응축잠열은 0.6kcal/g 이다.)


    조성 : mol(%) : 발열량(kcal/m3)

    H2 : 37 : 3050

    O2 : 1 : -

    N2 : 35 : -

    CO : 5 : 3030

    CO2 : 6 : -

    CH4 : 6 : 9540

    C4H10 : 10 : 32000

    4575.08kcal/m3


    -

    0. 진발열량 = 총발열량 - 수증기 응축잠열


    1. 총발열량 계산: 가연성분에 해당하는 가스의 발열량에 몰비를 곱하여 합산

    HL = (3050*0.37) + (3030*0.05) + (9540 * 0.06) + (32000 * 0.1) = 5052.4kcal/m3


    2. 각 가연성분의 연소 반응식

    수소 : H2 + 1/2O2 -> H2O

    일산화탄소: CO + 1/2O2 -> CO2

    메탄: CH4 + 2O2 -> CO2 + 2H2O

    부탄: C4H10 + 6.5O2 -> 4CO2 + 5H2O


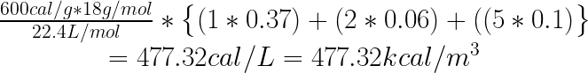
    3. 수증기 응축잠열 계산

    * 각 가연성분이 연소 시 생성되는 수증기 몰 수를 모두 합하면 8mol이고, 수증기의 응축잠열 0.6cal/g = 600kcal/g 이다.

    식은 첨부 참조


    4. 진발열량 계산

    5052.4 - 477.32 = 4575.08kcal/m3



    문제이미지

    3

    가스기사 필답 2019-2

    공기와 혼합된 아세틸렌의 폭발하한계는 2.5%이다.

    표준상태에서 혼합기체 1㎥ 중 아세틸렌의 폭발하한계에 해당하는 중량은 얼마인가?

    0.03kgf


    -

    1. 공기와 아세틸렌의 혼합기체 1㎥중 아세틸렌의 부피(㎥) 계산

    V = 혼합기체체적 * 폭발하한계 = 1㎥ * 0.025 = 0.025㎥


    2. 표준상태(0'C, 1기압)에서의 아세틸렌의 중량 계산

    22.4㎥ : 26kgf = 0.025㎥ : x kgf

    x = (26/22.4) * 0.025 = 0.03

    4

    가스기사 필답 2019-2

    용기에 충전하는 시안화수소에 첨가하는 안정제의 종류 2가지를 쓰시오

    1. 황산

    2. 아황산가스

    5

    가스기사 필답 2019-2

    내용적 20L의 LP가스 배관공사를 끝내고 나서 수주 880mm의 압력으로 공기를 넣어 기밀시험을 실시했다.

    기밀시험 소요시간 12분이 경과한 후 배관에 부착된 자기압력계를 보니 수주620mm의 압력을 나타내내었다. 이 경우 기밀시험 개시 시의 몇 %의 공기가 누설되었는가?

    (단, 기밀시험 실시 중 온도변화는 무시하고, 1기압은 1.033kgf/cm2 이다.)

    2.5%


    -

    1. 처음상태의 기밀시험 공기체적(V1) 표준상태 환산(V0)

    P0V0 = P1V1

    V0 = P1V1 / P0 = (0.088 + 1.033)*20 / 1.033

    = 21.7


    2. 12분 후 공기체적 표준상태 환산(V0`)

    P0`V0` = P2V2

    `V0 = P2V2 / P0` = (0.062 + 1.033)*20 / 1.033

    = 21.2


    3. 누설량 계산

    (V0 - V0` / V) * 100 = [(21.7 - 21.2) / 20] * 100

    = 2.5%

    6

    가스기사 필답 2019-2

    액화석유가스용 차량에 고정된 탱크 내부에 설치하는 폭발방지제의 재료 기준에 대하여 쓰시오

    1. 폭발방지제는 알루미늄 합금 박판에 일정 간격으로 슬릿(slit)을 내고 이것을 팽창시켜 다공성 벌집형으로 한다


    2. 폭발방지제는 두께 114mm 이상으로 하고, 설치 시에는 2~3% 압축하여 설치한다.


    3. 후프링의 재질은 기존탱크의 재질과 같은 것 또는 이와 동등 이상의 것으로서 액화석유가스에 대하여 내식성을 가지며, 열적 성질이 탱크 동체의 재질과 유사한 것으로 한다.


    4. 지지봉은 KS D 3507(배관용 탄소강관)에 적합한 것(최저 인장강도 294N/mm2)으로 한다.


    5. 그 밖의 지지구조물 부품의 재질은 안전확보상 충분히 기계적 강도 및 액화석유가스에 대한 내식성을 가지는 것으로 한다.


    -

    고압가스 운반차량의 시설۰기술 기준 (KGS GC207)


    -

    법령이라 축약하면 안됨


    -


    전체 암기는 포기하고 내용에서 포인트 몇개 외워가겠ㅅ브니다.

    (알루미늄 합금 박판, 슬릿, 다공성 벌집형, 두께 114mm이상, 설치 시 2~3% 압축, 후프링 재질, 지지봉: 배관용 탄소강관, 그 밖의 지지구조물 재질)

    7

    가스기사 필답 2019-2

    레이저 메탄가스 검지기(detector)는 최대 ( 1 )m의 거리에서 ( 2 )ppm۰m의 메탄가스를 ( 3 ) 초 이내에 검출해낼 수 있는 장비이다.

    ( ) 안에 알맞은 숫자를 넣으시오.

    1: 150

    2: 300

    3: 0.2

    8

    가스기사 필답 2019-2

    압축기에서 압축비가 증가하면

    ( 1 ) 저하

    ( 2 ) 효율 저하

    ( 3 ) 온도 상승이 발생하므로

    ( 4 ) 압축으로 중각단에 냉강기를 설치한다.


    ( ) 안에 알맞은 용어를 쓰시오.

    1. 성능

    2. 체적

    3. 토출가스

    4. 다단


    -

    압축비 증가 시 영향

    1. 소요동력 증대

    2. 실린더 내 온도 상승 (토출가스 온도 상승)

    3. 체적효율 저하

    4. 토출가스량 감소 (성능저하 발생)

    9

    가스기사 필답 2019-2

    다음에 설명하는 전기방식법의 명칭은 무엇인가?


    [보기]

    지중 또는 수중에 설치된 양극(anode)금속과 배설매관(cathode: 음극) 등을 전선으로 연결하여 양극금속과 매설배관 등 사이의 전지작용(고유 전위차)에 의하여 전기적 부식을 방지하는 방법이다.

    희생양극법

    10

    가스기사 필답 2019-2

    가연성가스 제조설비에는 그 설비에서 발생한 정전기가 점화원으로 되는 것을 방지하기 위하여 정전기 제거설비를 설치할 때 접지 저항치 총합은 얼마로 하여야 하는가?

    (단, 피뢰설비를 설치한 설비이다.)

    10 옴 이하


    -

    제조설비 정전기 제거설비 설치 기준


    1. 탑류, 저장탱크, 열교환기, 회전기계, 벤트스택 등은 단독으로 접지한다.

    다만, 기계가 복잡하게 연결되어 잇는 경우 및 배관 등으로 연속되어 있는 경우에는 본딩용 접속선으로 접속하여 접지할 수 있다.


    2. 본딩용 접속선 및 접지접속선은 단면적 5.5mm2 이상인 것 (단선은 제외한다)을 사용하고 경납붙임, 용접, 접속금구 등을 활용하여 확실히 접속한다.


    3. 접지 저항치는 총합 100옴 (피뢰설비를 설치한 것은 총합 10옴) 이하로 한다.

    11

    가스기사 필답 2019-2

    고압가스 특정제조시설의 배관을 기밀시험할 때 산소를 사용하면 안 되는 이유를 설명하시오.

    산소는 강력한 조연성 가스이므로 기밀시험을 하는 배관 내부에 석유, 유지류 등이 있을 경우 산소와 접촉 반응하여 인화, 폭발의 위험성이 있기 때문이다.

    12

    가스기사 필답 2019-2

    방폭전기기기의 폭발등급에 대한 물음에 답하시오


    1. 가연성가스의 폭발등급 및 이에 대응하는 방폭전기기기의 폭발등급은 내압 방폭구조는 최대 안전틈새 범위에 따라 3가지로 분류하며, 본질안전 방폭구조는 ( )로 3가지로 분류한다.

    ( ) 안에 알맞은 말을 쓰시오.


    2. 본질안전 방폭구조의 폭발등급을 분류할 때 기준이 되는 가스는 무엇인가?

    1. 최소점화전류비의 범위(mm)


    2. 메탄

    13

    가스기사 필답 2019-2

    나프타(naphtha)의 가스화에 따른 물음에 답하시오


    1. PONA가 무엇을 의미하는 것인지 쓰시오

    2. PONA 중 어느 것이 많거나 적을 때 가스의 생성에 유리한가?

    1.

    P: 파라핀계 탄화수소

    O: 올레핀계 탄화수소

    N: 나프텐계 탄화수소

    A: 방향족 탄화수소


    2. 파라핀계 탄화수소가 많을 때 가스화 효율이 높아지며

    올레핀계, 나프텐계, 방향족 탄화수소가 적을수록 가스 생성에 유리하다.

    14

    가스기사 필답 2019-2

    내용적 650m3인 저장탱크에 질소가 5.5MPa로 저장되어 있을 때 저장능력을 계산하시오.

    36400m3


    -

    질소가 저장탱크에 압력 5.5MPa로 저장되어 있다는 것은 압축가스 상태라는 것이므로, 압축가스 저장능력 산정식을 이용하여 계산한다.


    -

    Q = (10P+1) * V = (10*5.5+1) * 650 = 36,400m3

    15

    가스기사 필답 2019-2

    방폭전기기기에서 갈바닉 절연을 설명하시오.

    본질안전 전기기기 또는 본질안전 관련 전기기기 내부의 2개 회로 사이에 직접적인 전기적 접속 없이 신호 또는 전력이 전달되도록 한 구조.