모두CBT | 국가고시 실기시험 부시기!

가스기사 필답 2019 3 해설 페이지

가스기사 필답 2019-3

    1

    가스기사 필답 2019-3

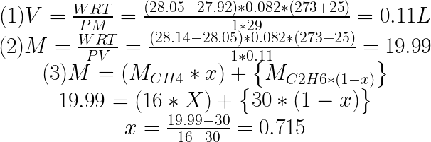
    1atm, 25'C의 상태에서 무게가 27.92g인 진공밸브에 건조공기가 유입되어 28.05g으로 되었고, 여기에 메탄과 에탄으로 이루어진 LP가스를 넣었을 때 28.14g이 되었다.

    LP가스 성분에 해당하는 메탄과 에탄의 몰분율(%)을 구하시오.

    (단, 공기의 평균 분자량은 29이다.)

    메탄 몰분율: 71.5%

    에탄 몰분율: 28.5%


    -

    (1) 진공밸브 체적(L) 계산

    (2) LP가스 분자량 계산

    (3) 에탄 몰분율 계산

    문제이미지

    2

    가스기사 필답 2019-3

    액화산소용기에액화산소가 50kg 충전되어 있다. 이때 용기 외부에서 액화산소에 대하여 5kcal/h의 열량이 주어진다면 액화산소량이 1/2로 감소되는 데 걸리는 시간은 얼마인가?

    (단, 산소의 증발잠열은 1600cal/mol 이다.)

    250시간


    -

    1. 증발잠열

    1600/32 = 50cal/g = 50kcal/kg


    2. 걸리는 시간


    [(50*1/2)*50] / 5 = 250시간

    3

    가스기사 필답 2019-3

    아크용접부 발생하는 결함의 종류 4가지를 쓰시오

    1. 오버랩

    2. 언더컷

    3. 기공

    4. 피트


    -

    5. 슬래그 섞임

    6. 스패터

    7. 용입 불량

    4

    가스기사 필답 2019-3

    2kgf/㎠۰a, 온도 25'C인 산소의 비중량(N/m3)을 계산하시오

    24.79N/m3


    -

    밀도는 단위체적(V)당 질량(G)이고, 표준상태가 아니므로 SI단위 이상기체 상태방정식 PV=GRT를 이용해 계산.


    -

    N = kg*m/s2

    문제이미지

    5

    가스기사 필답 2019-3

    도시가스 배관의 부식을 방지하기 위하여 시공한 전기방식시설의 방식전위 측정 및 시설점검에 대한 내용 중 ( ) 안에 해당되는 것을 각각 쓰시오.


    [보기]

    전기방식시설의 ( 1 )은[는] 1년에 1회 이상 점검하며, 외부전원법에 따른 전기방시설의 ( 2 ), 정류기의 출력, 전압, 전류, 배선의 접속상태, 계기류 확인 및 배류법에 따른 전기방식시설의 ( 3 ), 배류기의 출력, 전압, 전류, 배선의 접속상태, 계기류 확인은 ( 4 ) 개월에 1회 이상 점검한다.

    1. 관대지전위

    2. 외부전원점 관대지전위

    3. 배류점 관대지전위

    4. 3

    6

    가스기사 필답 2019-3

    자동제어계 특성 중 정특성과 동특성을 설명하시오

    정특성: 시간에 관계없는 정적인 특성으로 입력과 출력이 안정되었을 때의 일정한 관계를 유지하는 성질


    동특성: 시간적인 동작의 특성으로 입력을 변화시켰을 때 출력을 변화시키는 성질

    7

    가스기사 필답 2019-3

    도시가스 제조 및 공급시설 중 가스홀더의 기능에 대하여 4가지를 쓰시오.

    1. 가스수요의 시간적 변동에 대한 가스공급량 확보

    2. 공급설비 일시적 중단에 대하여 어느 정도 공급량 확보

    3. 공급가스의 성분 등 성질 균일화

    4. 소비지역 근처에 설치하여 피크 시의 공급, 수송효과 얻음

    8

    가스기사 필답 2019-3

    용접부에 대한 비파괴검사법 중 초음파탐상시험의 장점과 단점을 2가지씩 쓰시오

    - 장점

    1. 내부결함 검사 가능

    2. 검사비용이 저렴


    -단점

    1. 결함 형태 불명확

    2. 접촉매질 필요


    -

    기타 장/단점


    - 장점

    3. 용입부족 및 용입부의 결함을 검출할 수 있다

    4. 검사 결과를 신속하게 알 수 있다

    5. 이동성이 좋고, 검사자 및 주변인에 대한 장해가 없다


    - 단점

    3. 검출 능력은 결함과 초음파 빔의 방향에 따른 영향이 크다

    4. 검사절차에 대한 검사자의 지식이 필요하다

    5. 검사체의 내부 조직에 따른 영향을 받을 수 있다.

    9

    가스기사 필답 2019-3

    금속재료에 대한 열처리는 일반적으로 4가지로 구별할 때 각각을 설명하시오

    1. 담금질(quenching): 재료를 적당한 온도로 가열하여 물 등에 급속냉각 시키는 것으로 강도, 경도가 증가하며 소입이라 한다.

    2. 불림(normalizing): 거친 결정조직을 미세화하여 조직을 균일하게 하고 조직의 변형을 제거하기 위하여 균일하게 가열한 후 공기 중에서 냉각하는 방법으로 소준이라고도 한다.

    3. 풀림(annealing): 가공 중에 생긴 내부응력을 제거하거나 가공 경화된 재료를 연화시켜 상온가공을 용이하게 할 목적으로 노 중에서 가열하여 서서히 냉각시키는 방법으로 소둔이라고도 한다.

    4. 뜨임(tempering): 담금질 또는 냉간가공된 재료의 내부응력을 제거하며 재료에 연성이나 인장강도를 부여하기 위하여 담금질 온도보다 낮은 온도에서 재가열한 후 공기 중에서 서랭시키는 방법으로 소려라고도 한다.

    10

    가스기사 필답 2019-3

    펌프에서 발생하는 워터 해머링(water hammering)을 방지하는 방법 4가지를 쓰시오

    1. 관내 유속을 낮게 한다

    2. 압력조절용 탱크를 설치

    3. 펌프에 플라이휠 설치

    4. 밸브를 펌프 토출구 가까이 설치


    -

    워터해머링 (= 수격작용)

    : 펌프에서 물을 압송하고 있을 때 펌프가 급히 멈춘 경우 관내의 유속이 급변하면 물에 심한 압력변화가 생기는 작용

    11

    가스기사 필답 2019-3

    가스용 폴리에틸렌관(PE배관)은 온도가 40도 이상이 되는 장소에 설치하지 앟는 것이 원칙이지만 어떤 조치를 하면 온도가 40도 이상이 되는 장소에 설치할 수 있는가?

    파이프 슬리브 등을 이용하여 단열조치한 경우

    12

    가스기사 필답 2019-3

    염소는 건조한 상태에서는 강재에 대하여 부식성이 없으나, 수분이 존재하면 철을 심하게 부식시킨다.

    수분 존재 시 철을 부식시키는 이유와 화학반응식을 쓰시오.

    이유: 염소가 수분과 접촉 시 염산을 생성하여 이것이 철과 반응하여 염화제1철(FeCl2)을 생성하면서 부식이 발생한다.


    화학반응식

    Cl2 + H2O -> HCl + HClO

    Fe + 2HCl -> FeCl2 + H2

    13

    가스기사 필답 2019-3

    액화석유가스용 세이프티 커플링은 그 커플링의 안전성, 편리성 및 호환성을 확보하기 위하여 암커플링은 호스가 분리되었을 경우 ( 1 ) 에, 수커플링은 ( 2 )에 설치할 수 있는 구조로 한다.

    ( ) 안에 알맞은 위치를 쓰시오.

    1. 자동차 충전구쪽

    2. 충전기쪽

    14

    가스기사 필답 2019-3

    도시가스 사업자가 가스공급시설에 대하여 정기적으로 받아야 하는 안전성평가 중 위험성인지를 평가할 때 선정하는 위험성 평가기법 12가지 중 4가지를 쓰시오.

    1. 체크리스트 기법

    2. 결함수분석기법

    3. 사건수분석기법

    4. 원인결과분석기법


    -

    5. 상대위험순위결정기법

    6. 사고예상질문분석기법

    7. 이상위험도분석기법

    8. 작업자 실수분석기법

    9. 예비위험분석기법

    10. 공정위험분석기법

    11. 위험과 운전분석기법

    12. 1~11까지와 같은 수준 이상의 기술적 평가기법


    -

    영어로 써도 되는지는 모르겠는데 나오면 제가 써볼게요

    (Checklist, FTA, ETA, FMECA, HAZOP 등등)

    15

    가스기사 필답 2019-3

    [보기]에서 설명하는 싸이클 명칭을 쓰시오


    [보기]

    - 외연기관으로써 가솔린엔진보다 열 효율이 높고 소음, 진동이 적다

    - 목재, 화석연료, 천연가스, 폐가스 등을 열우너으로 사용한다.

    - 밀폐된 실린더 내에 열을 가해 팽창시키고, 냉각에 의해 압축을 하는 기관이다.

    - 수소나 헬륨을 작동유체로 사용하며, 역사이클은 저온용 가스냉동기의 기본 사이클에 해당된다.

    스털링 사이클


    -

    2개의 정온과정과 2개의 정적과정으로 이루어진 사이클로 외연기관의 이론적인 사이클이다.