모두CBT | 국가고시 실기시험 부시기!

가스기사 필답 2018 1 해설 페이지

가스기사 필답 2018-1

    1

    가스기사 필답 2018-1

    액화석유가스를 저장하기 위하여 지상에 설치된 원통형 탱크에 흙과 모래를 사용하여 덮은 저장탱크의 명칭을 쓰시오

    마운드형 저장탱크

    2

    가스기사 필답 2018-1

    차량에 고정된 탱크로 산소를 운반할 때 휴대하여야 할 소화기의 능력 단위와 비치 개수에 대하여 설명하시오

    1. 능력단위: BC용 B-8 이상 또는 ABC용 B-10 이상

    2. 비치 개수: 차량 좌우 각각 1개 이상

    3

    가스기사 필답 2018-1

    가연성가스의 제조설비, 저장설비의 전기설비는 방폭성능을 가지는 것을 설치하여야 한다. 방폭전기 기기의 종류 4가지를 쓰시오

    1. 내압 방폭구조

    2. 유입 방폭구조

    3. 압력 방폭구조

    4. 본질안전 방폭구조


    -

    5. 특수 방폭구조

    6. 안전증 방폭구조

    4

    가스기사 필답 2018-1

    전기방식 설계를 위해 시설물에 대한 전위 측정 결과 구조물(배관)의 자연전위 -550mV, 가전극에서 방식하였을 때 전위는 -600mV, 가전극에서 흐른 전류는 20mA, 완전방식 전위는 -850mV로 하였을 때 Mg anode의 수량은?

    (단, Mg 양극 접지 저항치는 50옴, Fe와 Mg의 전위차는 0.8V 이다.)

    8개


    -

    포기한 문제로 풀이 생략

    5

    가스기사 필답 2018-1

    도시가스 정압기 중 피셔(Fisher)식 정압기의 2차 압력 이상 저하 원인 4가지를 쓰시오

    1. 필터 막힘

    2. 정압기 능력 부족

    3. 주 다이어프램 파손

    4. 스트로크 조절 불량


    -

    5. 센터 스템의 작동 불량

    6. 파일럿의 오리피스의 녹 막힘


    -

    # 피셔식 정압기 2차압력 이상 상승 원인


    1. 가스 중 수분 동결

    2. 바이패스 밸브류 누설

    3. 메인밸브 완전차단 불량

    4. 센터 스템과 메인밸브 접속 불량

    5. 파일럿 서플라이 밸브 누설

    6. 메인 밸브의 밸브 폐쇄 무

    6

    가스기사 필답 2018-1

    산소를 압축하는 왕복동 압축기의 안전밸브 유효분출면적(cm2)을 계산할 때 필요한 인자 4가지를 쓰시오.

    1. 시간당 분출가스량(kg/h)

    2. 분출압력(kgf/cm2۰a)

    3. 가스분자량

    4. 분출 직전 가스의 절대온도(K)

    7

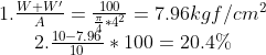
    가스기사 필답 2018-1

    부유 피스톤형 압력계에 있어서 실린더 지름이 4cm, 추와 피스톤의 무게 합계가 100kgf 일 때 이 압력계에 접속된 부릉동관 압력계의 읽음이 10kgf/cm2 일 때 부르동관 압력계의 오차(%)는 얼마인가?

    20.4%


    -

    1. 참값 계산


    2. 오차(%) 계산


    첨부 참조

    문제이미지

    8

    가스기사 필답 2018-1

    액화석유가스(LPG)의 변성가스 공급방식을 설명하시오.

    부탄을 고온의 촉매로서 분해하여 메탄, 수소, 일산화탄소 등의 연질가스로 변성시켜 공급하는 방법으로

    재액화 방지 외에 특수한 용도에 사용하기 위하여 변성한다.

    9

    가스기사 필답 2018-1

    고압가스설비 중에서 반응기 또는 이와 유사한 설비로서 현저한 발열반응 또는 부차적으로 발생되는 2차 반응에 의하여 폭발 등의 위해가 발생할 가능성이 큰 반응설비 4가지를 쓰시오.

    1. 메탄올합성반응탑

    2. 암모니아 2차 개질로

    3. 저밀도폴리에틸렌중합기

    4. 에틸렌제조시설의 아세틸렌수첨탑


    -

    5. 산화에틸렌제조시설의 에틸렌과 산소 또는 공기와의 반응기

    6. 사이클로헥산제조시설의 벤젠수첨반응기

    7. 석유정제에 있어서 중유직접수첨탈황반응기 및 수소화분해반응기

    10

    가스기사 필답 2018-1

    액화석유가스 및 도시가스를 상뇽하는 연소기에서 발생하는 이상 현상 중 리프팅(lifting)에 대한 물음에 답하시오


    1. 리프팅 현상을 설명하시오

    2. 리프팅이 발생할 때 가스의 분출속도와 연소속도의 관계에 대하여 설명하시오

    1. 불꽃이 염공에 접하여 연소하지 않고 염공을 떠나 공간에서 연소하는 현상

    2. 가스의 분출속도가 연소속도보다 클 때 발생한다

    11

    가스기사 필답 2018-1

    동일한 온도에서 13L의 용기 2개 중 하나는 수소가 53atm۰g, 나머지 하나에는 질소가 63atm۰g의 압력으로 충전되어 있다.

    2개의 용기를 호스로 연결한 후 밸브를 개방하여 수소와 질소가 평형에 도달하였을 때 수소의 용적 비율(%)은 얼마인가 계산하시오.

    45.76%


    -

    1. 수소의 몰 수 계산

    n1 = P1V1 = (53+1) * 13 = 702


    2. 질소의 몰 수 계산

    n2 = P2V2 = (63+1) * 13 = 832


    3. 수소의 용적 비율(%) 계산

    수소의 용적 비율(%) = (n1 / n1+n2) * 100

    = (702 / 702+832) * 100 = 45.76 %

    12

    가스기사 필답 2018-1

    배관의 자유팽창량을 미리 계산하여 자유팽창량의 1/2만큼 배관을 짧게 단절한 후 강제 배관을 하여 신축을 흡수하는 방법의 명칭은 무엇인가?

    상온 스프링 (cold spring)

    13

    가스기사 필답 2018-1

    가스도매사업의 저장설비 중 저장능력 3톤인 저장탱크 외면과 사업소 경계까지의 유지하여야 하는 거리에 대한 물음을 답하시오.

    (단, 유지하여야 하는 거리 계산 시 적용하는 상수 C는 0.576으로 한다.)


    1. 유지하여야 할 거리를 계산하시오

    2. 유지하여야할 거리는 얼마인가 기준에 의하여 설명하시오

    1. 43.44m

    2. 계산식에서 얻은 거리가 50m 미만에 해당되므로 유지거리는 50m 이상이 되어야 한다.


    -

    1. 유지 거리 계산

    첨부참조


    2. 가스도매사업 사업소 경계와의 거리 기준

    - 액화천연가스(기화된 천연가스를 포함)의 저장설비와 처리설비는 그 외면으로부터 사업소 경계까지 다음 계산식에서 얻은 거리(그 거리가 50m 미만의 경우에는 50m) 이상을 유지한다.

    문제이미지

    14

    가스기사 필답 2018-1

    고압가스 제조시설의 사업소 밖 배관장치에는 압력 또는 유량의 이상변동 등 이상상태가 발생한 경우에 그 상황을 경보하는 장치를 설치하여야 한다.

    경보장치가 울리는 경우에 해당하는 내용 중 ( ) 안에 알맞은 숫자나 용어를 쓰시오.


    1. 배관 안의 압력이 상용압력의 ( ) 배를 초과한 때

    2. 배관 안의 압력이 정상운전 시의 압력보다 ( ) % 이상 강하한 때

    3. 배관 안의 유량이 정상운전 시의 유량보다 ( ) % 이상 변동한 때

    4. ( )의 조작회로가 고장난 때 또는 폐쇄된 때

    1. 1.05

    2. 15

    3. 7

    4. 긴급차단밸브

    15

    가스기사 필답 2018-1

    에어졸 제조 시 측정하는 불꽃길이 시험에 대하여 설명하시오

    1. 버너와 시료의 간격은 15cm로 한다

    2. 버너의 불꽃길이를 4.5cm 이상 5.5cm 이하로 조절하고

    시료의 하부가 버너의 불꽃 상부 3분의 1을 통과하도록 설치한 다음

    시료를 분사하여 불꽃길이 시험장치에서 불꽃의 길이를 측정한다.

    해당 시험을 3회 반복해 얻은 불꽃길이의 평균치를 시료의 불꽃길이로 한다.


    -

    첨부 출처: nabakem.com


    -

    저는 포기한 문제입니다

    문제이미지