모두CBT | 국가고시 실기시험 부시기!

가스기사 필답 2017 3 해설 페이지

가스기사 필답 2017-3

    1

    가스기사 필답 2017-3

    U자관 마노미터를 사용하여 오리피스에 걸리는 압력차를 측정하였다.

    마노미터 속의 유체는 비중 13.6인 수은이며, 오리피스를 통하여 흐르는 유체는 비중이 1인 물이다.

    마노미터의 읽음이 50cm일 때 오리피스에 걸리는 압력차는 몇 gf/cm2 인가?

    630gf/cm2


    -

    △P = (s2-s1)*h

    = (13.6-1) * 50

    = 630gf/cm2

    2

    가스기사 필답 2017-3

    도시가스 시설에 적용되는 제 1종 보호시설에 대한 설명 중 ( ) 안에 알맞은 숫자를 넣으시오


    1. 사람을 수용하는 건축물(가설건축물은 제외)로서 사실상 독룁된 부분의 연면적이 ( )m2 이상인 것


    2. 예식장, 장례식장 및 전시장, 그 밖에 이와 유사한 시설로서 ( ) 명 이상을 수용할 수 있는 건축물


    3. 아동, 노인, 모자, 장애인 그 밖에 사회복지사업을 위한 시설로서 ( ) 명 이상을 수용할 수 있는 건축물

    1. 1,000

    2. 300

    3. 20

    3

    가스기사 필답 2017-3

    아세틸렌 제조설비 중 아세틸렌이 접촉하는 부분에 사용하는 재료는 구리 함유량이 62%를 초과하는 것을 사용해서는 안 되는 이유에 대해 반응식을 쓰고 설명하시오.

    1. 반응식: C2H2 + 2CU -> CU2C2 + H2


    2. 이유: 구리와 접촉 반응하여 폭발성의 동 아세틸드(CU2C2)를 생성하여 폭발의 위험성이 있기 때문에

    4

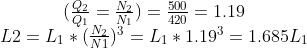
    가스기사 필답 2017-3

    20'C 상태에서 공기의 엔탈피 변화량이 4000kcal/kg 일 때 엔트로피 변화량(kcal/kg۰K)는 얼마인가?

    13.65 kcal/kg۰K


    -

    첨부 참조

    문제이미지

    5

    가스기사 필답 2017-3

    고압가스 일반제조시설에서 가연성가스를 압축하는 압축기와 충전용 주관과의 사이, 아세틸렌을 압축하는 압축기의 유분리기와 고압건조기와의 사이, 암모니아 또는 메탄올 합성탑 및 정제탑과 압축기와의 사이의 배관에 설치하는 장치를쓰시오.

    역류방지밸브

    6

    가스기사 필답 2017-3

    아크용접부에 발생하는 결합의 종류 4가지를 쓰시오

    1. 피트

    2. 기공

    3. 언더컷

    4. 오버랩


    -

    5. 슬래그 섞임(slag inclusion)

    6. 스패터(spatter)

    7. 용입 불량


    pit / blow hole / undercut / overlap

    7

    가스기사 필답 2017-3

    비파괴 검사법 중 방사선 투과 검사(RT)의 특징 4자리를 쓰시오

    1. 내부결함 검출 가능

    2. 방호에 주의

    3. 고가의 장치

    4. 기록 결과 유지


    -

    5. 고온부, 두께가 큰 곳은 부적당

    6. 선에 평핸한 크랙 등은 검출 불가

    8

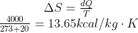
    가스기사 필답 2017-3

    원심식 송풍기에서 송풍량이 420m3/h 에서 500m3/h로 변경될 때 다음의 물음에 답하시오


    1. 회전수 변경률을 구하시오

    2. 축동력 변경률을 구하시오.

    1. 회전수: 1.19배

    2. 축동력: 1.69배


    -

    첨부참조

    문제이미지

    9

    가스기사 필답 2017-3

    다음 가스가 누설되었을 때 사용하는 시험지와 반응(변색) 에 대하여 쓰시오


    포스겐(COCl2) = 1. 시험지 / 2. 반응색

    시안화수소(HCN) = 3. 시험지 / 4. 반응색

    일산화탄소 (CO) = 5. 시험지 / 6. 반응색

    아세틸렌(C2H2) = 7. 시험지 / 8. 반응색

    포스겐 - 1. 하리슨 시약지 / 2. 유자색

    시안화수소 - 3. 초산벤지딘지 / 4. 청색

    일산화탄소 - 5. 염화팔라듐지 / 6. 흑색

    아세틸렌 - 7. 염화제1구리착염지 / 8. 적갈색


    -

    포하유

    시초청

    일염흑

    아일적

    10

    가스기사 필답 2017-3

    조정압력이 3.3kPa 이하인 일반용 액화석유가스용 압력조정기의 안전장치에 대한 물음에 답하시오

    1. 작동표준압력?

    2. 작동개시압력?

    3. 작동정지압력?

    4. 노즐지름 3.2mm 이하일 때 분출용량?

    1. 7.0kPa

    2. 5.6 ~ 8.4kPa

    3. 5.04 ~ 8.4 kPa

    4. 140L/h 이상

    11

    가스기사 필답 2017-3

    연소에 필요한 공기를 송풍기로 압입하여 연소하는 전1차 공기식 연소방식의 특징 2가지를 쓰시오.

    1. 압력조정기 설치 필요

    2. 구조가 복잡하다


    -

    3. 버너를 어떤 방향으로도 설치할 수 있다

    4. 가스가 갖는 에너지의 70% 정도를 적외선으로 전환할 수 있다

    5. 고온의 노 내부에 버너를 설치할 수 없다


    -

    2-1. 구조가 복잡하고 가격이 비싸다

    12

    가스기사 필답 2017-3

    직동식 정압기에서 2차 압력이 설정압력보다 낮을 때 작동원리에 대해 설명하시오

    정압기 스프링 힘이 다이어프램을 받치고 있는 힘보다 커서 다이어프램에 연결된 메인밸브를 안 열리게 하여 가스의 유량이 증가하게 되며

    2차 압력을 설정압력으로 유지되도록 작동한다.



    13

    가스기사 필답 2017-3

    LP가스의 연소 특징 4가지를 쓰시오

    1. 발화온도가 높다

    2. 연소속도가 느리다

    3. 폭발범위 좁다

    4. 타 연료에 비해 발열량이 크다


    -

    5. 연소 시 공기량이 많이 필요하다

    14

    가스기사 필답 2017-3

    지름이 동일한 배관을 직선으로 연결할 때 사용하는 이음재 종류 4가지를 쓰시오

    1. 소켓

    2. 니플

    3. 유니온

    4. 플랜지

    15

    가스기사 필답 2017-3

    터보형 압축기에서 맥동과 진동이 발생하여 불안전 운전이 되는 서징(Surging) 현상의 발생원인 2가지를 쓰시오

    1. 토출측 저항 증가

    2. 사용측 부하 급격한 감소


    -

    서징 현상 방지법


    1. 우상이 없는 특성으로 한다

    2. 방출밸브 설치

    3. 베인 컨트롤

    4. 회전수 변화

    5. 교축밸브를 기계에 가까이 설치