모두CBT | 국가고시 실기시험 부시기!

가스기사 필답 2017 2 해설 페이지

가스기사 필답 2017-2

    1

    가스기사 필답 2017-2

    독성 가스가 충전된 용기를 차량에 적재하여 운반할 때 갖추어야 할 보호구 4가지를 쓰시오

    1. 방독마스크

    2. 보호의

    3. 보호장갑

    4. 보호장화


    -

    독성 액화가스 1000kg 이상인 경우 - 공기호흡기

    2

    가스기사 필답 2017-2

    산소 충전용기에 대한 물음에 답하시오


    1. 공업용 용기의 도색

    2. 의료용 용기의 도색

    3. 안전밸브의 종류

    1. 공업용 - 녹색

    2. 의료용 - 백색

    3. 안전밸브 - 파열판식

    3

    가스기사 필답 2017-2

    다음 설명 중 ( ) 안에 알맞은 공통적인 용어를 쓰시오.

    [보기]

    지하에 매설된 가스배관을 도복장으로 부식을 방지하려고 할 때 다른 금속체와 접촉되어 ( )을[를] 혈성하는 경우가 있다. 이와 같은 가능성이 있는 장소에서는 방식테이프를 감거나 절연 피복한 재료를 사용하거나 해서 다른 금속체와의 접촉을 피하는 것이 좋다. ( )은[는] 주로 환경의 차에 의해서 일어나고, 긴 관로의 경우 전위차도 크게 되는 경향이 있으므로 관로를 적당히 절연시켜 ( )의[이] 형성을 방지하여 방식효과를 높을 수 있다.

    매크로셀


    -

    매크로셀(Macro Cell) 부식

    - 금속 표면에서 양극, 음극의 부위가 각각 변화하므로 양극와 음극의 위치가 확정적이지 않아서 전면 부식이 발생하는 현상이다. 이때 구성하는 전지를 매크로 셀(Macrol Cell)이라 한다.

    4

    가스기사 필답 2017-2

    독성가스의 허용농도는 해당 가스를 성숙한 흰쥐 집단에게 대기 중에서 1시간 동안 계속하여 노출시킨 경우 14일 이내에 그 흰쥐의 2분의 1 이상이 죽게 되는 반치사 농도로 100만분의 5000 이하를 독성가스로 분류하는 이것의 명칭을 영문약자로 쓰시오.

    LC 50

    5

    가스기사 필답 2017-2

    무색의 독성가스로 마늘 냄새가 나며 납산 배터리 및 전자 화합물 재료 등으로 쓰이는 액화가스는?

    아르신(AsHs)

    6

    가스기사 필답 2017-2

    연소기구에서 발생하는 블로 오프(blow off)에 대하여 설명하시오.

    불꽃 주변의 기류에 의하여 불꽃이 염공에서 떨어져 연소하다 꺼져버리는 현상

    7

    가스기사 필답 2017-2

    가연성 가스의 연소범위(폭발범위)를 설명하시오.

    공기에 대한 가연성 가스의 혼합농도의 백분율(vol%)로서 폭발하는 최고농도를 폭발상한계, 최저농도를 폭발하한계라 하며, 그 차이를 폭발범위라 한다.

    8

    가스기사 필답 2017-2

    과류 차단 안전기구가 부착된 콕의 종류 2가지를 쓰시오

    1. 퓨즈 콕

    2. 상자 콕

    9

    가스기사 필답 2017-2

    카바이드를 물과 반응시켜 아세틸렌을 제조하는 발생기의 종류 3가지를 쓰시오

    1. 주수식

    2. 침지식

    3. 투입식

    10

    가스기사 필답 2017-2

    LPG제조, 저장, 사용시설에 사용하는 배관재료의 구비조건 4가지를 쓰시오

    1. 절단가공 용이할 것

    2. 관내 가스유통 원활한 것

    3. 토양 등에 대하여 내식성을 가지는 것

    4. 충격하중에 견디는 강도를 가질 것


    -

    5. 관의 접합이 용이하고, 가스의 누설을 방지할 수 있을 것

    6. 내부의 가스압력과 외부로부터의 하중에 견디는 강도를 가질 것

    11

    가스기사 필답 2017-2

    입상 높이 20m인 곳에 프로판(C3H8)을 공급할 때 압력손실은 몇 Pa인가?

    (단, C3H8의 비중은 1.65이다.)

    164.73Pa


    -

    H=1.293(S-1)h

    = 1.293(1.65-1) * 20 = 16.81 mmH2O


    = 16.81mmH2O = 16.81kgf/m2


    = 16.81kgf/m2 * 9.8㎨ = 164.728 kgf*m/s2/m2

    = 164.728N/m2 = 164.728Pa

    12

    가스기사 필답 2017-2

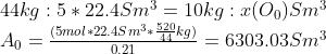
    액비중이 0.52인 프로판 1m3를 완전연소하기 위한 이론공기량은 몇 Sm3인가 계산하시오.

    (단, 공기 중 산소는 21vol%이다.)

    6303.03Sm3


    -

    1. 프로판 완전연소 반응식: C3H8 + 5O2 -> 3CO2 + 4H2O


    2. 이론공기량 계산

    - 첨부 참조

    - 프로판 액비중 0.52 = (1000L = 520kg) = (1000Sm3 = 520kg)

    문제이미지

    13

    가스기사 필답 2017-2

    다음 물음에 답하시오


    1. 액봉 현상을 설명하시오

    2. 방지법을 설명하시오

    1. 액봉현상: 액화가스 배관을 사용하지 않을 때 액화가스가 충만한 상태로 밸브를 폐쇄해 놓은 경우 주변의 온도상승에 의하여 액화가스 팽창으로 인한 압력 상승으로 배관이 파열되는 현상


    2. 액봉현상 방지법

    2-1. 드레인밸브 설치

    2-2. 릴리프밸브 설치

    14

    가스기사 필답 2017-2

    LPG 저장설비실 및 가스설비실에는 누출된 가스가 머물지 아니하도록 자연환기설비를 설치할 때 외기에 면하여 설치된 환기구의 통풍가능면적의 합계는 바닥면적 1m2 마다 ( )cm2 이상 확보하여야 한다.

    ( ) 안에 알맞은 숫자는?

    300

    15

    가스기사 필답 2017-2

    회전수가 비교적 늦기 때문에 200m3/h 이하의 소용량에 적합하고, 도시가스를 저압으로 사용하는 일반 수용가에서 주로 사용하며 가격이 저렴하고 유지관리가 비교적 쉽지만 대용량의 것을 설치 면적이 크게 필요로 하는 가스계량기 형식을 쓰시오

    막식 가스미터


    -

    막식 가스미터 = 다이어프램식 가스미터