모두CBT | 국가고시 실기시험 부시기!

가스기사 필답 2017 1 해설 페이지

가스기사 필답 2017-1

    1

    가스기사 필답 2017-1

    정압기를 평가 선정할 경우 각 특성이 사용조건에 적합하도록 정압기를 선정하여야 한다. 이때 정압기를 선정할 때 고려하여야 할 사항 4가지를 쓰시오

    1. 정특성

    2. 동특성

    3. 유량특성

    4. 작동 최소 차압


    -

    5. 사용 최대 차압

    2

    가스기사 필답 2017-1

    일반 도시가스사업 제조소 및 공급소의 가스발생설비 또는 가스정제설비를 자동으로 제어하는 장치, 비상용 조명설비 등에는 정전 등에 의하여 그 설비의 기능이 상실되지 않도록 설치하는 비상전력설비의 종류 4가지를 쓰시오.

    1. 자가발전

    2. 축전지 장치

    3. 엔진 구동발전

    4. 타처 공급전력


    -

    5. 스팀터빈 구동발전

    3

    가스기사 필답 2017-1

    실내에 설치되는 반밀폐식 보일러를 급배기 방식에 따라 2가지로 구분하시오.

    1. 자연 배기식 (CF 방식)

    2. 강제 배기식 (FE 방식)



    -

    자연 배기식 - 연소용 공기를 실내에서 취하고, 연소 배기가스를 배기통을 사용하여 자연 통풍력에 의해 실외로 배출하는 방식


    강제배기식 - 연소용 공기를 실내에서 취하고, 연소 배기가스를 배기팬을 사용하여 강제적으로 실외로 배출하는 방식

    4

    가스기사 필답 2017-1

    폭굉유도거리(DID)에 대하여 설명하시오

    최초의 완만한 연소가 격렬한 폭굉으로 발전될 때까지의 거리


    -

    폭굉유도거리 짧아지는 조건

    1. 정상 연소속도가 큰 혼합가스일수록

    2. 관 속에 방해물이 있을 때

    3. 압력 높을수록

    4. 점화원 에너지 클수록


    5

    가스기사 필답 2017-1

    도시가스 도매사업자의 제조소 및 공급소 밖의 배관에 긴급차단장치를 설치하는 규정에서 지역구분별 긴급차단장치 간 거리의 밀도지수에 대하여 설명하시오

    배관의 임의의 지점에서 길이 방향으로 1.6km, 배관 중심으로부터 좌우로 각각 폭 0.2km의 범위에 있는 가옥 수(아파트 등 복합건축물의 가옥 숫자는 건축물 안의 독립된 가구 수로 한다)를 말한다.

    6

    가스기사 필답 2017-1

    배관 호칭이 3/4B(안지름 2.2cm), 관 길이가 10m인 배관에 압력손실이 17mmH2O일 때 유량(kg/h)은 얼마인가?

    (단, 온도는 15'C이며, 이 온도에서의 가스 비중은 0.46이고, 밀도는 0.71kg/m3, 유량계수는 0.707이다.)

    6.93kg/h


    -

    1. 질량유량(kg/h은) 체적유량에(m3/h)에 유체의 밀도(ρ: kg/m3)를 곱한다.


    문제이미지

    7

    가스기사 필답 2017-1

    LPG 저장설비의 종류 3가지를 쓰시오

    1. 용기

    2. 저장탱크

    3. 소형 저장탱크


    -

    4. 마운드형 저장탱크

    8

    가스기사 필답 2017-1

    가연성 가스 검출기 중 접촉연소방식의 원리를 설명하시오

    열선(필라멘트)으로 검지된 가스를 연소시켜 생기는 온도변화에 전기저항의 변화가 비례하는 것을 이용한 것이다.

    9

    가스기사 필답 2017-1

    LPG기화기를 작동원리에 따라 분류할 때 "감압가열 기화방식"에 대하여 설명하시오.

    액체 상테의 LP가스를 액체 조정기 또는 팽창밸브를 통하여 감압하여 온도를 내려서 열교환기에 보내 대기 또는 온수 등으로 가열하여 기화하는 방식

    10

    가스기사 필답 2017-1

    다음에 설명하는 부식 명칭을 쓰시오.

    1. 결정입자가 선택적으로 부식되는 것으로 오스테나이트계 스테인리스강을 450~900'C로 가열하면 결정입계로 크롬탄화물이 석출되는 현상이다. 스테인리스강 용접부에 열 영향을 받는 경우에 잘 나타난다.


    2. 중유 및 연료유의 회분 중에 포함되어 있는 바나듐이 산소와 반응하여 오산화바나듐(V2O5)이 만들어지고, 이것이 고온전열면에 부착되어 고온부식을 일으키는 현상이다.


    3. 배관 및 밴드 등의 굴곡부, 펌프의 회전차 등 유속이 큰 부분이 부식성 환경에서 마모가 현저하게 진행되는 현상으로 황산의 이송배관에서 주로 발생된다.

    1. 입계부식

    2. 바나듐어택

    3. 이로전(Erosion)

    11

    가스기사 필답 2017-1

    가연성 및 독성 가스 제조시설에 설치하는 가스누출검지 경보장치의 경보농도와 정밀도에 대하여 쓰시오.

    1. 가연성 가스 - 경보농도: 폭발하한계 1/4 이하, 정밀도: ± 25% 이하

    2. 독성 가스 - 경보농도: TLV-TWA 기준농도 이하, 정밀도: ± 30% 이하

    12

    가스기사 필답 2017-1

    35'C의 상태에서 메탄이 내용적 40L의 용기에 15MPa의 상태로 충전되어 있을 때 질량을 계산하시오.

    3.77kg


    -

    PV=GRT

    G= PV/RT (1atm = 0.1MPa)

    문제이미지

    13

    가스기사 필답 2017-1

    용접부의 균열 발생부분을 검사하는 비파괴 검사법의 종류 4가지를 쓰시오.

    1. 음향검사

    2. 와류검사

    3. 침투탐상검사

    4. 자분탐상검사


    -

    5. 초음파탐상검사

    6. 방사선투과검사

    14

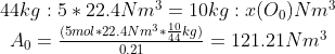
    가스기사 필답 2017-1

    다음 물음에 답하시오

    1. 프로판의 완전연소 반응식을 쓰시오.

    2. 프로판(C3H8)을 10kg을 완저연소할 때 이론공기량(Nm3)을 계산하시오.

    (단, 공기 중 산소 농도는 21% 이다.)

    1. C3H8 + 5O2 -> 3CO2 + 4H2O


    2. 121.21Nm3



    -

    이론공기량 계산 첨부 참조

    문제이미지

    15

    가스기사 필답 2017-1

    고압가스 제조시설에 설치하는 내부반응 감시장치의 종류를 3가지 쓰시오

    1. 온도감시장치

    2. 압력감시장치

    3. 유량감시장치


    -

    4. 가스의 밀도۰조성 등의 감시장치