모두CBT | 국가고시 실기시험 부시기!

가스기사 필답 2016 1 해설 페이지

가스기사 필답 2016-1

    1

    가스기사 필답 2016-1

    NH3의 특징적인 위험성에 대하여 4가지를 쓰시오

    1. 폭발범위 15~28%인 가연성 가스

    2. 허용농도 TLV-TWA 25ppm의 독성 가스

    3. 동 및 동합금에 대한 부식성을 나타냄

    4. 액체 암모니아가 피부에 노출되면 동상, 염증의 위험성 있음

    2

    가스기사 필답 2016-1

    도시가스 정압기 중 피셔(fisher)식 정압기의 2차 압력 이상 상승 원인 4가지를 쓰시오

    1. 가스 중 수분 동결

    2. 바이패스 밸브 누설

    3. 파일럿 서플라이 밸브 누설

    4. 메인밸브 완전차단 불량


    -

    상기외 피셔식 정압기 2차 압력 이상상승 원인

    1. 센터 스템과 메인 밸브의 접속 불량

    2. 메인 밸브의 밸브 폐쇄 무 <- 뭔말인지 모르겠음


    -

    피셔식 정압기 2차 압력 이상 저하 원인

    1. 정압기 능력 부족

    2. 필터 막힘

    3. 오리피스 녹 막힘

    4. 센터 스템 작동 불량

    5. 스트로크 조정 불량

    6. 다이어프램 파손

    3

    가스기사 필답 2016-1

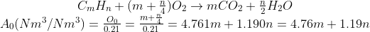
    탄화수소(CmHn) 1Nm3가 완전히 연소할 때 이론공기량(Nm3/Nm3)을 구하는 식을 완성하시오.

    4.76m + 1.19n


    /

    탄화수소(CmHn) 완전연소 반응식

    = CmHn + (m+n/4) O2 -> m CO2 + n/2 H2O


    이론공기량 계산식

    = O0/0.21 = (m+n/4) / 0.21


    m = (1/0.21) = 4.761

    n = [1/(0.21*4)] = 1.190


    문제이미지

    4

    가스기사 필답 2016-1

    LPG 공급방식에서 공기 혼합 가스(Air Direct Gas)의 목적 3가지를 쓰시오

    1. 발열량 조절

    2. 재액화 방지

    3. 연소효율 증대


    -

    4. 누설 시 손실 감소

    5

    가스기사 필답 2016-1

    아세틸렌, 프로판, 메탄, 수소의 위험도를 구하고, 위험도가 큰 것부터 작은 순으로 쓰시오.

    1. 위험도

    - 아세틸렌 31.4, 프로판 3.32, 메탄 2, 수소 17.75


    2. 순서

    - 아세틸렌 -> 수소 -> 프로판 -> 메탄


    -

    위험도 계산식

    H = U-L / L


    각 가스 공기 중 폭발범위

    - 수소(H2): 4~75%

    - 메탄(CH4): 5~15%

    - 프로판(C3H8): 2.2~9.5%

    - 아세틸렌(C2H2): 2.5~81%

    6

    가스기사 필답 2016-1

    프로판 1mol을 이론공기량으로 완전 연소시킬 때 혼합기체 중 프로판의 화학양론농도(x0)와 폭발범위 하한값(x1)을 쓰시오

    x0 : 4.03%

    x1: 2.22%


    -

    1. 프로판 화학양론농도(x0)

    x0 = 1 / [1 + (n/0.21)] * 100 = 0.21 / (0.21 + n) * 100 = 0.21 / 0.21+5 * 100 = 4.030


    2. 폭발범위 하한값(x1)

    x1 = 0.55 * x0 = 0.55 * 4.03 = 2.216


    7

    가스기사 필답 2016-1

    도시가스용 지상배관 중 건축물의 내, 외벽에 노출된 것으로 표면색상을 황색으로 아니할 수 있는 경우를 쓰시오

    바닥(2층 이상의 건물의 경우에는 각 층의 바닥)으로부터 1m 높이에 폭 3m의 황색띠를 2중으로 표시한 경우

    8

    가스기사 필답 2016-1

    공기액화분리장치에서 CO2를 제거해야 하는 이유를 설명하시오

    장치 내에서 탄산가스는 고형의 드라이아이스가 되어 밸브 및 배관을 폐쇄하여 장애를 발생시키므로 제거해야 한다

    9

    가스기사 필답 2016-1

    포기 문제 입니다

    X표시 해주세요

    가스기사 2016년 1회차 9번 문제

    314.97K

    10

    가스기사 필답 2016-1

    도시가스 제조 중 가스의 열량 조정방식 3가지를 쓰시오

    1. 유량비율 제어방식

    2. 캐스케이드 방식

    3. 서멀라이저 방식


    11

    가스기사 필답 2016-1

    도시가스 시설에 설치되는 정압기(governer)의 기능 3가지를 쓰시오

    1. 감압

    2. 정압

    3. 폐쇄

    12

    가스기사 필답 2016-1

    도시가스를 이용하는 온수보일러에서 난방수는 온도변화에 따라 그 체적이 증감하게 되며, 이로 인하여 보일러 내의 압력 변화가 발생된다. 이와 같이 체적 변화에 따라 팽창된 물의 체적을 흡수하여 장치의 파손을 방지하는 역할을 하는설비 명칭을 쓰시오.

    팽창탱크

    13

    가스기사 필답 2016-1

    기밀시험압력 5MPa, 안지름 50cm, 인장강도 500N/mm2인 스테인리스강을 사용한 초저온 용기의 동판 두께는 몇 mm인가?

    (단, 용접효율 60%, 부식여유 3mm이며 허용응력은 인장강도의 1/3.5를 적용한다.)

    16.71mm


    -

    1. 초저온용기의 최고충전압력: 초저온용기의 기밀시험압력(AP)은 최고충전압력(FP)의 1.1배이다.


    AP = 1.1FP

    FP = AP/1.1 = 5/1.1 = 4.55


    2. 동판 두께 계산


    첨부참조

    문제이미지

    14

    가스기사 필답 2016-1

    도시가스 배관은 누출을 방지하기 위하여 용접 시공방법에 따라 접합을 하는 것이 원칙이지만, 용접 접합을 실시하기 곤란한 경우에 대신 접합할 수 있는 방법 3가지를 쓰시오

    1. 플랜지 접합

    2. 기계적 접합

    3. 나사 접합

    15

    가스기사 필답 2016-1

    LPG 저장탱크 정상부에서 탱크 밑몉까지 지름이 작은 스테인리스관을 부착하여 이 관을 상하로 움직여 관내에서 분출하는 가스 상태와 액체 상태의 경계면을 찾아 액면을 측정하는 액면계 명칭을 쓰시오

    슬립튜브식 액면계