모두CBT | 국가고시 실기시험 부시기!

가스기사 필답 2015 1 해설 페이지

가스기사 필답 2015-1

    1

    가스기사 필답 2015-1

    포스겐에 대한 물음에 답하시오.

    1. 포스겐의 분자기호를 쓰시오

    2. 포스겐의 제조법과 반응식을 쓰시오

    1. COCl2

    2. 일산화탄소(CO)와 염소(Cl2)를 활성탄 촉매로 하여 제조

    2

    가스기사 필답 2015-1

    압축기에서 압축비가 증가할 때의 영향 3가지를 쓰시오

    1. 소요동력 증대

    2. 실린더 내 온도 상승

    3. 토출가스량 감소


    -

    4. 체적효율 저하

    3

    가스기사 필답 2015-1

    전기방식법 중 강제배류법의 장점 4가지를 쓰시오

    1. 효과범위가 넓음

    2. 전류의 조정이 용이

    3. 전식 방식이 가능

    4. 전철 휴지기간에도 방식 가능


    -

    5. 외부전원법에 비해 경제적

    6. 양극효과에 의한 간섭이 없음


    -

    단점


    1. 다른 매설금속체로의 장해에 대한 검토가 필요

    2. 전철의 신호장해에 대한 검토 필요

    3. 전원을 필요

    4

    가스기사 필답 2015-1

    가연성가스가 폭발할 위험이 있는 장소에 전기설비를 할 경우 위험의 정도에 따라 위험장소를 부류하는 등급 3가지를 쓰시오

    1. 0종장소

    2. 1종장소

    3. 2종장소

    5

    가스기사 필답 2015-1

    고압가스 냉동제조 기준 중 냉매가스 종류에 따라 제한하고 있는 금속재료를 쓰시오

    1. 염화메탄

    2. 프레온

    1. 염화메탄 - 알루미늄 합금

    2. 프레온 - 2%를 넘는 마그네슘을 함유한 알루미늄 합금


    -

    외의 냉매가스 종류에 따른 사용금속 제한


    3. 암모니아 - 동 및 동합금 (단, 동함유량 62% 미만 시 사용 가능)

    6

    가스기사 필답 2015-1

    운반하는 액화독성가스의 질량이 1000kg인 경우 갖추어야 할 보호구를 3가지 쓰시오

    1. 방독마스크

    2. 보호의

    3. 보호장갑


    -

    4. 보호장화

    5. 공기호흡기 (운반하는 독성가스의 양이 압축가스 100m3, 액화가스 1000kg 이상일 시) = 해당 문제에서는 갖추어야 할 보호구에 포함된다.

    7

    가스기사 필답 2015-1

    지상에 설치된 액화석유가스의 저장탱크 외벽이 화염에 의하여 국부적으로 가열될 경우 탱크의 파열을 방지하기 위한 폭발방지장치의 열전달 매체인 알루미늄박판("폭발방지제"라 함)은 알루미늄합금 박판에 일정간격 슬릿(slit)을 내고 잉것을 팽창시켜 어떤 모양으로 한 것인가?

    다공성 벌집형

    8

    가스기사 필답 2015-1

    유체가 누설되거나 이물질이 유입되는 것을 방지하기 위하여 기계설비에 사용되는 부품으로 고정부와 고정부 사이의 밀봉에 이용되는 것을 ( 1 ) 이라 하며, 고정부와 운동부 사이의 밀봉에 이용되는 것을 ( 2 )이라고 한다.

    괄호 안에 알맞은 용어를 쓰시오.

    1 - 개스킷(Gasket)

    2 - 글랜드 패킹(Gland packing)

    9

    가스기사 필답 2015-1

    액화석유가스 소형저장탱크의 내용적이 3000L일 때 저장능력은 얼마인가?

    (단, 액화석유가스의 비중은 0.47이다.)

    1198.5kg


    -

    W = 0.85*d*V

    = 0.85 * 0.47 &* 3,000

    = 1198.5kg


    -

    [액화가스 저장탱크] 저장능력은 0.9dV지만

    [소형저장탱크]의 충전량은 내용적의 85%이하이므로 0.85dV

    10

    가스기사 필답 2015-1

    가연성 및 독성가스 제조시설에 설치하는 가스누출검지 경보장치의 경보농도와 정밀도에 대하여 쓰시오.

    1. 가연성가스

    1-1. 경보농도: 폭발하한계의 1/4 잉하

    1-2. 정밀도: +-25% 이하


    2. 독성가스

    2-1. 경보농도: TLV-TWA 기준농도 이하

    2-2. 정밀도: +-30% 이하

    11

    가스기사 필답 2015-1

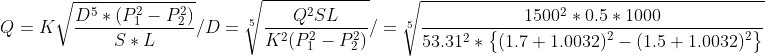
    도시가스용 반밀폐식 보일러를 설치할 때 자연배기식 단독배기통 방식의 배기통 높이를 계산하는 공식을 적고 각 인자에 대해 설명하시오

    공식 - 첨부참고

    h: 배기통의 높이(m)

    n: 배기통의 굴곡수

    l: 역풍방지장치 개구부 하단으로부터 배기통 끝의 개구부까지의 길이(m)

    Av: 배기통의 유효단면적(cm2)

    Q: 가스소비량(kcal/h)

    문제이미지

    12

    가스기사 필답 2015-1

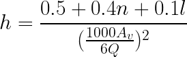
    비중이 0.5인 가스를 중압으로 길이 1km인 배관에 초압 1.7kgf/cm2, 종압1.5kgf/cm2으로 시간당 1500m3를 공급하고 있을 때 배관 안지름(cm)을 계산하시오.

    13.13cm

    문제이미지

    13

    가스기사 필답 2015-1

    도시가스 시설에 설치되는 정압기(governer)의 기능 3가지를 쓰시오.

    1. 감압

    2. 정압

    3. 폐쇄

    14

    가스기사 필답 2015-1

    액화산소용기에 액화산소가 60kg 충전되어 있다. 이때 용기 외부에서 액화산소에 대하여 50kcal/h의 열량이 주어진다면 남아 있는 액화산소량이 1/3로 되는데 걸리는 시간은?

    (단, 산소의 증발잠열은 1600cal/mol 이다.)

    1. 산소의 증발잠열 계산

    1600 / 32 = 50cal/g = 50kcal/kg

    2. 걸리는 시간 계산

    60*(2/3)*50

    / 50

    = 40시간

    15

    가스기사 필답 2015-1

    염소의 공업적 제조법 2가지를 반응식과 함께 쓰시오.

    1. 수은법에 의한 식염의 전기분해: 2NaCl + (Hg) -> Cl2 + 2Na (Hg)


    2. 격막법에 의한 식염의 전기분해: NaCl -> Na+ + Cl-