모두CBT | 국가고시 실기시험 부시기!

농작업보건기사 예상문제 11 해설 페이지

농작업보건기사 예상문제 11

    1

    농작업보건기사 예상문제 11

     NIOSH 연구결과 농작업자는 직업관련 스트레스가 높은 부류 에 속한다는 연구 결과가 있다. 농업인이 농작업 관련 받는 스트 레스 요인 3가지를 쓰시오.

    1. 자본과 노동(경영)의 일원화

    2. 사적영역과 공적영역간의 혼재

    3. 가계 수입의 불안정성

    4. 육체적 노동과 정신적 노동의 수행

    5. 기후나 재해 등에 대한 민감성

    6. 신체적 건강이 곧 생산성과 직결

    7. 직업에 대한 낮은 사회적 평가 및 고립, 소외

    8. 농가부채 및 경제적 악순환

    9. 위험한 물리환경 등에 노출

    10. 조직이 없는 개미군단

    2

    농작업보건기사 예상문제 11

    스트레스를 인간에게 처음 적용한 Cannon은 스트레스를 3가지 단계로 나누어 설명하였다. Cannon이 규정한 스트레스의 3단 계를 쓰시오.  

    1. 경고 단계

    2. 저항 단계

    3. 고갈(탈진) 단계

    3

    농작업보건기사 예상문제 11

    환경요인 중 피부를 통한 열방출에 주요한 영향을 미치고 있는 4가지의 온열인자를 쓰시오.

    1. 기온

    2. 기습

    3. 기류

    4. 복사열

    4

    농작업보건기사 예상문제 11

    온열질환의 종류 중 땀을 많이 흘린 후 수분만을 보충하여 생기는 염분부족으로 발생하며, 작업 시 가장 많이 사용하는 근육에 1~3분간 지속적이고 반복적인 격렬한 유동성 경련이 오는 특징을 가지는 온열질환은?

    - 열경련

    5

    농작업보건기사 예상문제 11

    석면에 노출 시 호흡기계의 폐포에 침착하게 되어, 폐포에 상처를 주게되고 폐는 산소와 이산화탄소의 교환기능을 수행하지 못하게 됨으로서 숨이 가빠져 정상적인 생활을 할 수 없다. 석면 노출 시 유해한 건강영향 중 대표적인 것 2가지를 쓰시오.

    1. 폐암

    2. 악성중피종

    3. 석면폐증

    6

    농작업보건기사 예상문제 11

    석면 취급 작업장에서 장기간 근무할 경우 석면으로 인해 발 생할 수 있는 직업병의 명칭을 2가지 쓰시오.

    1. 폐암

    2. 악성중피종

    3. 석면폐증

    7

    농작업보건기사 예상문제 11

    석면 노출 시 호흡기계의 폐포에 침착하여 폐포에 상처를 줌으로서 폐기능 저하에 심각한 영향을 끼친다. 석면에 1주일 정도의 매우 짧은 기간동안 매우 적은 양에 노출되더라도 발병할 수 있는 석면질환은 무엇인가?

    - 악성중피종

    8

    농작업보건기사 예상문제 11

    자외선이 생물학적으로 인체에 미치는 주요 부위는 눈과 피부이다. 빛의 파장에 대한 생리적 활동의 변화를 그래프로 나타낸 것을 무엇이라 하는가?

    - 작용 스펙트럼

    9

    농작업보건기사 예상문제 11

    자외선의 종류 중 홍반 발생력은 약하고 색소 생성은 중간 정도이나 직접적인 피부 그을림 현상이 나타나고, 피부노화를 촉진하는 자외선 파장은 무엇이라 하는가?

    - 자외선 A (장파장)

    10

    농작업보건기사 예상문제 11

    농작업 안전관리 단계 중 비용 발생은 크나 효과는 확실한 안전관리 단계를 3가지 쓰시오.

    1. 위험요인 제거

    2. 위험요인 밀폐

    3. 위험요인 차단


    (비용은 저렴하나 개인 특성에 따라 효과가 불확실한 안전관리 단계 : 작업방법개선, 개인보호구 착용)

    11

    농작업보건기사 예상문제 11

    농작업 재해 작업방법 개선 방식 중 적정한 두둑 폭과 고랑폭은 인체 부담을 경감시킨다. 성인의 수평면 최대 작업 범위 기준 적정한 두둑판의 넓이는얼마 이하인가?

    - 50cm이하

    12

    농작업보건기사 예상문제 11

    손목 부위의 근골격계 질환의 예방을 위한 전지가위의 작업 방법 개선방법 3가지를 쓰시오.

    1. 손잡이가 긴 전지가위 사용

    2. 전동식 전지가위 사용

    3. 스프링 가위 사용

    4. 핸들 모양 ( 피스톨그립) 사용

    13

    농작업보건기사 예상문제 11

    전류에 의해 인체에 미치는 영향으로 전격의 위험을 결정하는 주요인자 4가지를 쓰시오.

    1. 통전전류의 크기

    2. 통전경로

    3. 통전시간

    4. 전원의 종류

    5. 주파수 및 파형


    14

    농작업보건기사 예상문제 11

    우리나라에서 사용하고 있는 전압을 크기에 따라 저압/고압/특별고압으로 구분하는데 '교류'일 때 전압을 써 넣으시오.

    문제이미지

    1. 600

    2. 600

    3. 7000

    4. 7000

    15

    농작업보건기사 예상문제 11

    우리나라에서 사용하고 있는 전압을 크기에 따라 저압/고압/특별고압으로 구분하는데 '직류'일 때 전압을 써 넣으시오.

    문제이미지

    1. 750

    2. 750

    3. 7000

    4. 7000

    문제이미지

    16

    농작업보건기사 예상문제 11

    인체에 흐르는 통전전류의 크기를 더욱 증가하게 되면 전류의 일부가 심장부분을 흐르게 되며, 심장은 정상적인 맥도을 하지 못하고 불규칙한 세동을 일으켜 혈액순환이 곤란해지고 심장이 마비되는 현상을 초래하는 경우를 무엇이라 하는가?

    - 심실세동

    17

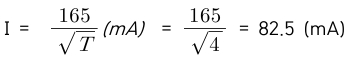
    농작업보건기사 예상문제 11

    Dalziel의 심실세동전류와 통전시간과의 관계식에 의하면 인체 전격시의 통전시간이 4초이었다고 했을 때 심실세동전류의 크기 는 얼마(mA)인가?

    문제이미지

    18

    농작업보건기사 예상문제 11

    과전류 보호장치는 반드시 접지선 이외의 전로에 (1)로 연결하여 과전류 발생 시 전로를 자동으로 차단하도록 설치 할 것.

    1. 직렬

    19

    농작업보건기사 예상문제 11

    감전에 의해 호흡이 정지한 후에 인공호흡을 즉시 실시하면 소생할 수 있는데, 감전에 의한 호흡정지 후 3분 이내에 올바른 방법으로 인공호흡을 실시하였을 경우 소생율을 몇 %인가?

    - 75%

    문제이미지

    20

    농작업보건기사 예상문제 11

    통전 경로별 위험도가 큰 순서대로 쓰시오.

    문제이미지
    문제이미지