모두CBT | 국가고시 실기시험 부시기!

직8딴_위험물 산업기사_계산형(1~32) 해설 페이지

직8딴_위험물 산업기사_계산형(1~32)

    1

    직8딴_위험물 산업기사_계산형(1~32)

    ☆☆☆☆☆☆

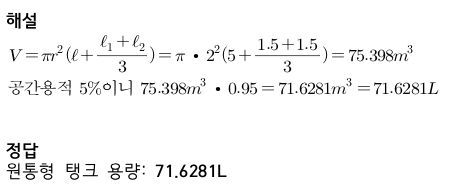
    횡으로 설치한 원통형 탱크 용량(L)을 구하시오.(탱크 공간용적: 5%)

    문제이미지


    문제이미지

    2

    직8딴_위험물 산업기사_계산형(1~32)

    ☆☆☆☆

    종으로 설치한 원통형 탱크 용량(m3m^3)을 구하시오.

    문제이미지


    문제이미지

    3

    직8딴_위험물 산업기사_계산형(1~32)

    다음 조건의 탱크일 때 횡형과 종형 모양의 탱크 용량(m3)을 구하시오.

    문제이미지
    문제이미지

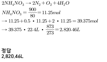
    4

    직8딴_위험물 산업기사_계산형(1~32)

    ☆☆

    옥외에 구조를 바꾼 종으로 설치한 원통형 탱크에 관한 물음에 답하시오.


    1. 용량(m3m^3)(탱크 공간용적: 10%)  2. 기술검토 여부  3. 완공검사 여부  4. 정기검사 여부

    문제이미지


    문제이미지

    5

    직8딴_위험물 산업기사_계산형(1~32)

    다음 조건을 이용해 제조소의 방화상 유효한 담(=방화벽) 설치 높이(m)를 구하시오.


    ∙제조소등의 외벽의 높이(a): 40m

    ∙인근 건축물 또는 공작물의 높이(H): 50m  

    ∙제조소등과 방화상 유효한 담과의 거리(d): 5m

    ∙제조소등과 인근 건축물 또는 공작물과의 거리(D): 10m

    ∙p: 0.15


    문제이미지

    6

    직8딴_위험물 산업기사_계산형(1~32)

    ☆☆☆

    공간용적이 있는 양쪽 볼록한 타원형 탱크 용량(m3m^3)의 최댓값, 최솟값을 구하시오.

    문제이미지


    문제이미지

    7

    직8딴_위험물 산업기사_계산형(1~32)

    ☆☆☆☆☆

    옥외저장소에 옥외소화전설비를 각각 3개와 6개 설치 시 필요한 수원의 양(m3m^3)을 구하시오.

    3:3개: 13.5m33=40.5m313.5m^3 * 3 = 40.5m^3  

    6:6개: 13.5m34=54m313.5m^3 * 4 = 54m^3


    해설

    수원의 수량은 옥외소화전의 설치개수(설치개수가 4개 이상인 경우는 4개의 옥외소화전) 13.5㎥를 곱한 양 이상이 되도록 설치할 것

    8

    직8딴_위험물 산업기사_계산형(1~32)

    ☆☆

    옥내저장소에 옥내소화전설비를 4개 설치 시 필요한 수원의 양(m3)을 구하시오.

    4*7.8m3 = 31.2m3 이상


    해설

    수원의 수량은 옥내소화전이 가장 많이 설치된 층의 옥내소화전 설치개수(설치개수가 5개 이상인 경우는 5개)에 7.8㎥를 곱한 양 이상이 되도록 설치할 것

    9

    직8딴_위험물 산업기사_계산형(1~32)

    옥외탱크저장소 2개에 휘발유 내용적 5천만L에 3천만L를 저장하고, 경유를 내용적 1억 2천만L의 탱크에 8천만L를 저장할 때 다음 물음에 답하시오.

    1. 작은 탱크 최대용량 2. 방유제 용량(공간용적 10%) 3. 중간에 설치된 설비 명칭

    1. 5천만∙0.95=4,750만   2. 1억2천만∙0.9∙1.1=1억1880만   3. 간막이 둑


    해설

    1. 탱크 공간용적은 탱크의 내용적의 100분의 5 이상 100분의 10 이하의 용적으로 한다.

    2. 방유제의 용량은 방유제 안에 설치된 탱크가 하나인 때에는 그 탱크 용량의 110% 이상, 2기 이상인 때에는 그 탱크 중 용량이 최대인 것의 용량의 110% 이상으로 할 것.

    3. 용량이 1,000만ℓ 이상인 옥외저장탱크의 주위에 설치하는 방유제에는 다음의 규정에 따라 당해 탱크마다 간막이 둑을 설치할 것

    10

    직8딴_위험물 산업기사_계산형(1~32)

    ☆☆

    옥외탱크저장소 방유제 안에 35만L, 15만L, 60만L 총 3개의 인화성탱크가 있다.

    방유제 저장용량(m3m^3)을 구하시오.

    601.1=66L=660m360만∙1.1=66만L=660m^3 이상


    해설

    1. 탱크 공간용적은 탱크의 내용적의 100분의 5 이상 100분의 10 이하의 용적으로 한다.

    2. 방유제의 용량은 방유제 안에 설치된 탱크가 하나인 때에는 그 탱크 용량의 110% 이상, 2기 이상인 때에는 그 탱크 중 용량이 최대인 것의 용량의 110% 이상으로 할 것.

    3. 용량이 1,000만ℓ 이상인 옥외저장탱크의 주위에 설치하는 방유제에는 다음의 규정에 따라 당해 탱크마다 간막이 둑을 설치할 것

    11

    직8딴_위험물 산업기사_계산형(1~32)

    옥외에 있는 위험물취급탱크로서 액체위험물(이황화탄소를 제외한다)을 취급하는 탱크가 10 0만L 1기, 50만L 2기, 20만L 3기 설치되어 있다. 이 중 50만L 1기를 다른 곳에 옮겨 방 유제 설치하고 나머지 탱크에 한 방유제 설치 시 방유제 총 용량(L)을 구하시오.

    정답

    50만L 1기를 아예 먼 곳으로 보낸 것으로 취급하여 결국 50만L는 1기이다.

    100만L∙0.5+(50만L∙1+20만L∙3)∙0.1=61만L 이상


    해설

    옥외에 있는 위험물취급탱크로서 액체위험물(이황화탄소를 제외한다)을 취급하는 것의 주위에는 다음의 기준에 의하여 방유제를 설치할 것

    1) 하나의 취급탱크 주위에 설치하는 방유제의 용량은 당해 탱크용량의 50% 이상으로 하 고, 2 이상의 취급탱크 주위에 하나의 방유제를 설치하는 경우 그방유제의 용량은 당해 탱크 중 용량이 최대인 것의 50%에 나머지 탱크용량 합계의 10%를 가산한 양 이상이 되게 할 것. 이 경우 방유제의 용량은 당해 방유제의 내용적에서 용량이 최대인 탱크 외 의 탱크의 방유제 높이 이하 부분의 용적, 당해 방유제 내에 있는 모든 탱크의 지반면 이상 부분의 기초의 체적, 간막이 둑의 체적 및 당해 방유제 내에 있는 배관 등의 체적 을 뺀 것으로 한다.

    ※윗 문제와 엄연히 다릅니다~! 옥외인지 옥내인지 저장소인지 취급탱크인지 잘 구별해야 되며 다 다른 기준이 있어요~!

    12

    직8딴_위험물 산업기사_계산형(1~32)

    ☆☆☆ 

    위험물 제조소 300m3300m^3100m3100m^3 탱크가 각각 1개씩 총 2개가 있다. 탱크 주위로 방유제를 만들 때 방유제 용량(m3m^3)은 얼마 이상으로 해야 하는지 쓰시오.

    160m3m^3

    

    해설

    3000.5+1000.1=160m3이상300 * 0.5 + 100 * 0.1 = 160m^3 이상


    옥외에 있는 위험물취급탱크로서 액체위험물(이황화탄소를 제외한다)을 취급하는 것의 주위에는 다음의 기준에 의하여 방유제를 설치할 것

    1) 하나의 취급탱크 주위에 설치하는 방유제의 용량은 당해 탱크용량의 50% 이상으로 하고, 2 이상의 취급탱크 주위에 하나의 방유제를 설치하는 경우 그 방유제의 용량은 당해 탱크 중 용량이 최대인 것의 50%에 나머지 탱크용량 합계의 10%를 가산한 양 이상이 되게 할 것. 이 경우 방유제의 용량은 당해 방유제의 내용적에서 용량이 최대인 탱크 외의 탱크의 방유제 높이 이하 부분의 용적, 당해 방유제 내에 있는 모든 탱크의 지반면 이상 부분의 기초의 체적, 간막이 둑의 체적 및 당해 방유제 내에 있는 배관 등의 체적을 뺀 것으로 한다. 

    13

    직8딴_위험물 산업기사_계산형(1~32)

    제조소 등에 설치하는 배출장소 체적이 150일 때 국소방식 최소 배출능력(m3/hm^3/h)을 구 하시오.

    해설

    배출설비는 국소방식으로 하여야 한다. 배출능력은 1시간당 배출장소 용적의 20배 이상인 것으로 하여야 한다. 다만, 전역방식의 경우에는 바닥면적 1㎡당 18㎥ 이상으로 할 수 있다 → 150

    ∙20=3,000m3/hm^3/h 이상


    정답

    3,000m3/hm^3/h

    14

    직8딴_위험물 산업기사_계산형(1~32)

    다음 물질이 물과 반응 시 발생 기체의 몰 수를 쓰시오.


    1. 과산화나트륨 78g   2. 수소화칼슘 42g

    1. 0.5몰  2. 2몰

    문제이미지

    15

    직8딴_위험물 산업기사_계산형(1~32)

    ☆☆☆

    400℃, 1기압에서 과산화나트륨 1kg 열분해 시 발생하는 산소 부피(L)를 구하시오.

    산소 부피: 354.02L

    문제이미지

    16

    직8딴_위험물 산업기사_계산형(1~32)

    과산화나트륨 1kg이 400℃, 1기압에서 물과 반응 시 생성 기체의 부피(L)를 구하시오.

    354L

    문제이미지

    17

    직8딴_위험물 산업기사_계산형(1~32)

    과산화나트륨 2kg이 표준상태에서 물과 반응 시 생성 산소의 부피(L)를 구하시오.

    287.18L

    문제이미지

    18

    직8딴_위험물 산업기사_계산형(1~32)

    리튬 2몰과 물이 반응할 때 생기는 가연성 기체 부피(L)를 구하시오

    해설

    2Li+2H2O>2LiOH+H22Li + 2H_2O -> 2LiOH + H_2

    가연성기체:H21(22.4L)가연성기체 : H_2 1몰(22.4L)


    22.4L

    19

    직8딴_위험물 산업기사_계산형(1~32)

    ☆☆☆

    질산암모늄 구성성분 중 질소와 수소, 산소의 함량(wt%)을 구하시오.

    질소: 35wt%  수소: 5wt%   산소: 60%

    문제이미지

    20

    직8딴_위험물 산업기사_계산형(1~32)

    ☆☆☆☆

    질산암모늄 900g 열분해 시 600°C, 1기압에서 발생 기체 총 부피(L)를 구하시오.


    문제이미지

    21

    직8딴_위험물 산업기사_계산형(1~32)

    ☆☆

    질산암모늄 1몰 열분해 시 400°C, 기압에서 발생하는 수증기 부피(L)를 구하시오.


    문제이미지

    22

    직8딴_위험물 산업기사_계산형(1~32)

    ☆☆☆

    850mmHg850mmHg , 27℃에서 100kg 이황화탄소가 완전연소 시 발생독가스 체적(m3m^3)을 구하시오.

    발생 독가스 체적: 57.97m3m^3

    문제이미지

    23

    직8딴_위험물 산업기사_계산형(1~32)

    ☆☆☆

    이황화탄소(CS2CS_2) 5kg이 모두 증기로 변할 때 1기압, 60℃에서 부피(L)를 구하시오

    1,798.64L

    문제이미지

    24

    직8딴_위험물 산업기사_계산형(1~32)

    질산(98중량%, 비중: 1.5, 100mL)을 질산(70중량%, 비중: 1.4)으로 바꾸려면 물 몇 g을 첨가해야 하는지 구하시오.

    물 60g 첨가

    문제이미지

    25

    직8딴_위험물 산업기사_계산형(1~32)

    메탄올 300g을 산화시키면 포름알데히드와 물이 발생한다. 이때 발생하는 포름알데히드 g수를 구하시오.

    281.25g

    문제이미지

    26

    직8딴_위험물 산업기사_계산형(1~32)

    황린 25kg 연소 시 필요한 공기 부피(m3m^3)을 구하시오.(공기 중 산소: 21vol%)

    107.53m3m^3

    문제이미지

    27

    직8딴_위험물 산업기사_계산형(1~32)

    ☆☆☆☆☆☆☆

    다음 물음에 답하시오.


    1. 염소산칼륨 완전열분해 반응식

    2. 염소산칼륨 25kg이 표준상태에서 완전분해 시 생성 산소 부피(m3m^3)


    문제이미지

    28

    직8딴_위험물 산업기사_계산형(1~32)

    ☆☆

    공기 중 산소 부피비 21%이고, 아세톤 300g이 완전연소했을 때 물음에 답하시오.


    1. 아세톤의 완전연소 반응식   2. 필요 이론 공기량(L)   3. 발생 탄산가스 부피(L)


    문제이미지

    29

    직8딴_위험물 산업기사_계산형(1~32)

    ☆☆☆

    표준상태에서 탄화칼슘(64g)이 물과 반응 시 발생하는 기체를 연소 시 필요한 산소 부피(L)를 구하시오.


    문제이미지

    30

    직8딴_위험물 산업기사_계산형(1~32)

    ☆☆☆☆

    표준상태에서 트리에틸알루미늄(228g)이 물과 반응 시 반응식과 발생 기체의 부피(L)를 구하시오.


    문제이미지

    31

    직8딴_위험물 산업기사_계산형(1~32)

    ☆☆☆

    표준상태에서 인화알루미늄(290g)이 물과 반응 시 발생 기체의 부피(L)를 구하시오.


    문제이미지

    32

    직8딴_위험물 산업기사_계산형(1~32)

    ☆☆

    벤젠(C6H6C_6H_6) 20g이 모두 증기로 변할 때 1기압, 100℃에서 부피(L)를 구하시오.


    문제이미지

    33

    직8딴_위험물 산업기사_계산형(1~32)

    ☆☆

    30℃ 물 10kg로 주수소화 시 100℃ 수증기로 흡수하는 열량(kcal)을 구하시오.


    문제이미지