모두CBT | 국가고시 실기시험 부시기!

직8딴_대기환경기사_계산형(151~200) 해설 페이지

직8딴_대기환경기사_계산형(151~200)

    1

    직8딴_대기환경기사_계산형(151~200)

    ☆☆

    원형 덕트 직경이 2배가 될 때 압력손실은 어떻게 변하는지 쓰시오.

    문제이미지

    2

    직8딴_대기환경기사_계산형(151~200)

    ☆☆

    다음 조건으로 회전수가 500rpm으로 변할 때 물음에 답하시오.


    ∙송풍량: 200m3/min200m^3/min  

    ∙회전수: 250rpm  

    ∙정압: 50mmH2O50mmH_2O  

    ∙동력: 5HP



    1. 정압mmH2OmmH_2O

    2. 동력(HP)

    3. 송풍량(m3/minm^3/min)

    문제이미지

    3

    직8딴_대기환경기사_계산형(151~200)

    ☆☆

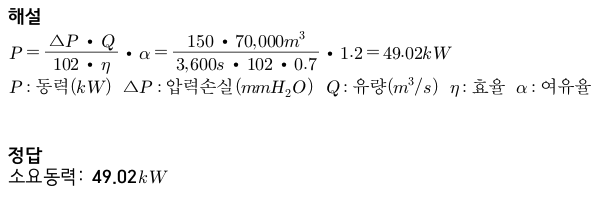
    다음 조건을 이용해 송풍기의 소요동력(kWkW)를 구하시오.


    ∙송풍기 효율: 70%  

    ∙가스 유량: 70,000m3/h70,000m^3/h  

    ∙압력손실: 150mmH2O150mmH_2O 

    ∙여유율: 1.2

    문제이미지

    4

    직8딴_대기환경기사_계산형(151~200)

    다음 조건을 이용해 송풍기의 소요동력(kW)을 구하시오. (단, 공기의 비중량: 1.3kg/m31.3kg/m^3)


    ∙송풍기 효율: 80% 

    ∙내경: 1m 

    ∙길이: 10m 

    ∙마찰계수: 0.25 

    ∙유량: 10m310m^3 

    문제이미지

    5

    직8딴_대기환경기사_계산형(151~200)

    ☆☆☆☆

    처리가스량 15,000Sm3/h15,000Sm^3/h , 압력손실 760mmH2O760mmH_2O, 1일 12시간 운전하는 집진기의 연간 동력비는 2,000만원이다. 처리가스량 50,000Sm3/h50,000Sm^3/h , 압력손실: 50mmHg일 때 이 장치의 연간 동력비(만원)를 구하시오.

    문제이미지

    6

    직8딴_대기환경기사_계산형(151~200)

    ☆☆☆☆☆

    보일러에서 중유(황함량: 5wt%)를 10ton/h로 연소시키고 있다. 배출가스를 NaOHNaOH 수용액을 이용해 황 처리할 시 필요 NaOHNaOH량(kg/h)를 구하시오.(황은 전부 SO2SO_2로 변환)

    문제이미지

    7

    직8딴_대기환경기사_계산형(151~200)

    ☆☆

    저위발열량 10,000kcal/kg의 중유를 100kg/h로 연소실에서 연소시킬 때 가로 1m, 세로 2m, 높이 1.5m인 연소실 열 발생률(kcal/m3hkcal/m^3 ‧h )을 구하시오.

    문제이미지

    8

    직8딴_대기환경기사_계산형(151~200)

    CO2CO_2 20%, NH3NH_3 55%, Air 25%와 흡착제가 흡수탑에 들어가서 CO2CO_2 40%, NH3NH_3 + Air 60% 배출가스와 NH3NH_3 흡착제로 배출된다. 이때 배출가스의 NH3NH_3 함량(%)를 구하시오.

    문제이미지

    9

    직8딴_대기환경기사_계산형(151~200)

    흡수탑 하부로 온도가 20℃, 1기압, NH3air300m3NH_3 - air 300m^3 의 유량으로 도입되며, 유량 중 NH3NH_3가 3% 함유되어 있다. 상부에서 물이 도입되어 향류접촉을 하고 있을 때 NH3NH_3 85%로 회수하려고 한다.


    NH3NH_3 1g당 물 100g을 제거한다면 주어진 표를 참고하여 필요한 물의 양은 얼마인지 계산하시오. (단, 공기 분자량은 29g/mol이며 밀도는 온도변화에 따른 변화를 적용하여야 한다.

    문제이미지
    문제이미지

    10

    직8딴_대기환경기사_계산형(151~200)

    기온 25℃, 압력 1atm일 때 수은(원자량: 200) 1kg 기화 시 체적(m3m^3) 구하시오.

    문제이미지

    11

    직8딴_대기환경기사_계산형(151~200)

    수소 2g, 염소 5g을 15L에 혼합시켰을 시 부분압력(mmHgmmHg, 25℃)을 구하시오.

    문제이미지

    12

    직8딴_대기환경기사_계산형(151~200)

    ☆☆☆

    다음 조건으로 관로의 풍속(m/s)을 구하시오.


    ∙직경: 5cm  

    ∙동점성 계수: 1.5 ‧105m2/s1.5 ‧ 10^{-5}m^2/s (20℃, 1atm 기준)  

    ∙레이놀즈 수: 30,000

    문제이미지

    13

    직8딴_대기환경기사_계산형(151~200)

    ☆☆

    다음 조건을 이용해 레이놀즈수를 구하시오.

    ∙중력집진기 높이: 3m    

    ∙중력집진기 폭: 3m      

    ∙가스유속: 1m/s

    ∙20°C, 1기압        

    ∙점성계수: 1.2 105kg/ms1.2 * 10^-5 kg/ m · s

    ∙밀도: 1.3kg/Sm31.3kg/Sm^3

    문제이미지

    14

    직8딴_대기환경기사_계산형(151~200)

    ☆☆☆☆

    다음 조건을 이용해 레이놀즈 수와 동점성계수(stoke)를 구하시오.


    ∙반경: 0.15m  

    ∙공기유속: 2m/s

    ∙유체 밀도: 1.2kg/m31.2kg/m^3

    ∙점도: 0.2cP

    문제이미지

    15

    직8딴_대기환경기사_계산형(151~200)

    ☆☆☆

    중력집진기와 관련된 다음 조건을 이용하여 레이놀즈 수를 구하고, 흐름상태를 판단하시오.


    ∙유량: 70m3/min70m^3/min

    ∙단수: 30

    ∙폭: 2m

    ∙높이: 2m

    ∙점도: 2 ‧105kg/m ‧s2 ‧ 10^{-5}kg/m ‧ s

    ∙밀도: 1kg/m31kg/m^3

    문제이미지

    16

    직8딴_대기환경기사_계산형(151~200)

    내경이 0.1m인 원형관 속에 밀도가 0.77g/cm3g/cm^3인 유체가 0.1m/s의 속도로 흐른다. 기 체의 점도가 5cP라면 이 유체의 레이놀즈수를 구하고 층류인지 난류인지 판별하시오.


    문제이미지

    17

    직8딴_대기환경기사_계산형(151~200)

    ☆☆

    다음 조건을 이용해 송풍기 유출 정압(kgf/cm2kg_f/cm^2 )을 구하시오.


    ∙입구 유속: 20m/s  

    ∙흡인 정압: 60mmH2O60mmH_2O  

    ∙출구 정압: 30mmH2O30mmH_2O

    문제이미지

    18

    직8딴_대기환경기사_계산형(151~200)

    이산화황이 굴뚝을 통해 배출된다. 다음 조건 이용해 수집하는 유량(L/min) 구하시오.


    ∙포집관 직경: 1cm  

    ∙길이: 100m  

    ∙수집시간: 5분  

    ∙펌프 온도: 150℃  

    ∙배출가스 온도: 150℃

    문제이미지

    19

    직8딴_대기환경기사_계산형(151~200)

    ☆☆

    다음 조건으로 전기집진기와 여과집진기를 병렬로 연결해 분진을 처리할 때 배출되는 분진의 양(g/h)을 구하시오.


    ∙전기집진기 집진율: 99%  

    ∙여과집진기 집진율: 95%  

    ∙입구 분진농도: 5g/Sm35g/Sm^3

    ∙전기집진기 유입유량: 10,000Sm3/h10,000Sm^3/h

    ∙여과집진기 유입유량: 30,000Sm3/h30,000Sm^3/h

    문제이미지

    20

    직8딴_대기환경기사_계산형(151~200)

    ☆☆☆☆

    유해가스와 물이 일정 온도에서 평형상태에 있다. 기상 유해가스 분압이 40mmHg40mmHg일 때 수중 유해가스 농도가 2.5kmol/m32.5kmol/m^3이면 헨리상수(atm ‧m3/kmolatm ‧ m^3/kmol)을 구하시오.

    문제이미지

    21

    직8딴_대기환경기사_계산형(151~200)

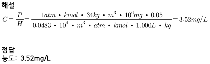
    온도 20℃에서 H2SH_2S헨리상수 0.0483 ‧104 ‧m3 ‧atm/kmol0.0483 ‧ 10^4  ‧ m^3  ‧ atm/kmol 이고, 몰비가 0.05, 압력 1atm1atm일 때 농도(mg/L)를 구하시오.

    문제이미지

    22

    직8딴_대기환경기사_계산형(151~200)

    ☆☆

    아래의 표는 온도에 따른 각 물질의 용해도이다. 아래의 표를 보고 20℃,1기압에서의 H2SH_2S의 헨리상수(atm ‧m3/kmolatm ‧ m^3/kmol)를 구하시오.

    문제이미지
    문제이미지

    23

    직8딴_대기환경기사_계산형(151~200)

    ☆☆

    다음 조건으로 기액분리면에서의 농도(kmol/m3m^3)를 구하시오.

    문제이미지
    문제이미지

    24

    직8딴_대기환경기사_계산형(151~200)

    ☆☆☆

    다음 조건을 이용해 청소시간 간격(min)을 구하시오.


    ∙유량: 10m3/s10m^3/s

    ∙먼지농도: 160g/m3160g/m^3

    ∙먼지밀도: 800kg/m3800kg/m^3

    ∙제거율: 90%

    ∙중력 침강실 침전먼지 부피: 0.6m30.6m^3

    문제이미지

    25

    직8딴_대기환경기사_계산형(151~200)

    ☆☆☆

    다음 조건으로 방류 시 방류시간 간격(h)을 구하시오.


    ∙처리효율: 70%

    ∙오염물 농도: 2g/m32g/m^3

    ∙유량: 1,000m3/h1,000m^3/h

    ∙세정액량: 2m32m^3

    ∙세정액 농도: 10g/L

    문제이미지

    26

    직8딴_대기환경기사_계산형(151~200)

    ☆☆

    다음 표를 이용해 집진기의 총 집진효율(%)을 구하시오.

    문제이미지
    문제이미지

    27

    직8딴_대기환경기사_계산형(151~200)

    ☆☆

    다음 조건을 이용해 사이클론 중심에서 반경 0.6m인 곳으로 유입된 입자속도(m/s)를 구하시오.


    ∙사이클론 직경: 2m  

    ∙외부선회류 내측반경: 0.5m  

    ∙외부선회류 외측반경: 0.8m

    ∙함진가스량: 1.5m3/s1.5m^3/s

    문제이미지

    28

    직8딴_대기환경기사_계산형(151~200)

    공기 중 CO2CO_2 가스의 부피가 5% 넘으면 인체에 해롭다. 600m3600m^3 크기갖는 방에서 문을 닫고 85% 탄소를 가진 숯을 최소 몇kg 태우면 해로운 상태가 되는지 구하시오.(공기 중 CO2CO_2 부피는 고려하지 않는다, 완전혼합, 표준상태 기준)

    문제이미지

    29

    직8딴_대기환경기사_계산형(151~200)

    ☆☆☆☆

    500m3 크기의 방 안에서 5명이 담배를 피우고 있다. 1시간 동안 5명이 총 10개비의 담배를 피울 때 담배 1개비당 1.5mg의 포름알데히드(HCHO)가 발생한다면 1시간 뒤 방 안의 포름알데히드 농도(ppm)을 구하시오.(포름알데히드는 완전혼합 되고, 담배 피기 전 농도는 0이며 실내온도 25°C이다.)

    문제이미지

    30

    직8딴_대기환경기사_계산형(151~200)

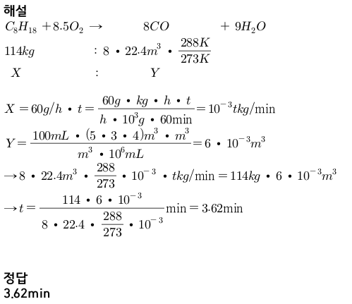
    연소실 크기가 5m 3m 4m인 공간에서 연료 C8H18C_8H_{18} 이 연소하였는데 탄소가 시간 당 60g이 불완전 연소하여 모두 일산화탄소가 되었다. 최초 일산화탄소 농도는 0이였고 장치이상으로 전부 불완전연소되었다. 최종적으로 일산화탄소가 100ppm으로 되었다면 이 때 기계를 얼마나(분) 작동시켰는지 구하시오. (단, 공기의 밀도는 온도에 따라 보정하여야 하며 방의 온도는 15℃이다.)

    문제이미지

    31

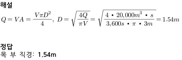
    직8딴_대기환경기사_계산형(151~200)

    20,000m3/h20,000m^3/h 배출가스를 물을 이용해 처리하려 한다. 목 부의 유속은 3m/s인 경우 목 부 직경(m)을 구하시오.

    문제이미지

    32

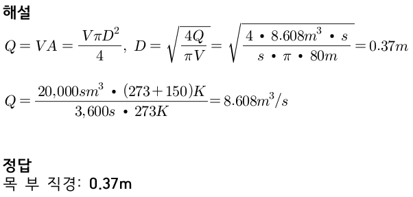
    직8딴_대기환경기사_계산형(151~200)

    20,000sm3/h20,000sm^3/h 배출가스를 물을 이용해 처리하려 한다. 배출가스 온도 150℃, 목 부의 유속은 80m/s이고, 액가스비 1L/m31L/m^3 일 때 목 부 직경(m)을 구하시오.

    문제이미지

    33

    직8딴_대기환경기사_계산형(151~200)

    24.2

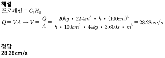
    0°C, 1atm이며 100cm2 단면적인 원통 후드에서 프로페인이 20kg/h 배출될 때 배출속도(cm/s)를 구하시오.

    문제이미지

    34

    직8딴_대기환경기사_계산형(151~200)

    ☆☆☆

    충전탑을 사용하여 배가스 중 염화수소를 처리하기 위한 기상총괄이동단위높이(HOG)는 1m로 할 때, 기상총괄이동단위수(NOG)를 구하고, 충전탑의 높이를 구하시오.(단, 탑의 효율은 95%이다.)

    문제이미지

    35

    직8딴_대기환경기사_계산형(151~200)

    ☆☆

    250m3250m^3 부피갖는 공장에서 HCHOHCHO(포름알데하이드)가 발생해 농도가 0.5ppm이다. 0.01ppm까지 낮추기 위해 25m3/min25m^3/min 유량 갖는 공기청정기를 이용하려고 한다. 0.01ppm까지 낮추기 위한 소요시간(분)을 구하시오.(처리율: 100%, 초기HCHO농도: 0ppm)

    문제이미지

    36

    직8딴_대기환경기사_계산형(151~200)

    우리나라 월별 물질 농도표이다. 다음 물음에 답을 하시오.

    문제이미지
    문제이미지

    37

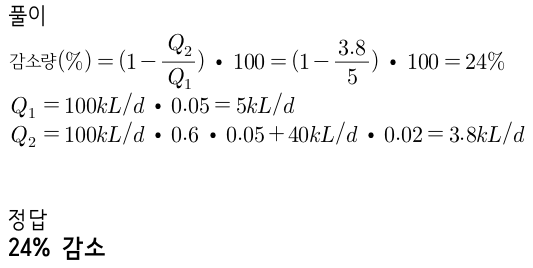
    직8딴_대기환경기사_계산형(151~200)

    ☆☆

    황 함량 5% B-C유(비중: 0.95, 황함량과 무관) 100kL/d를 사용하는 보일러에 황함량 2% B-C유를 40%섞어 사용 시 SO2SO_2 배출량은 몇% 감소하는지 구하시오.(기타 연소조건 동일, 황은 연소 시 전량 로 SO2SO_2 변환)

    문제이미지

    38

    직8딴_대기환경기사_계산형(151~200)

    저위발열량 10,000kcal/kg, 중유 사용량 10kg/h, 연소효율 80%, 부피 5m3, 벽 열손실량 100kcal/hr인 보일러가 있다. 공기 중 필요 연소공기량 14Sm3/kg, 연료 비열 1kcal/kg∙°C, 공기 비열 0.5kcal/Sm3°C, 연료와 공기 모두 20°C에서 80°C로 예열할 시 열 발생률(kcal/m3∙h)을 구하시오.

    문제이미지

    39

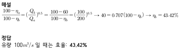
    직8딴_대기환경기사_계산형(151~200)

    ☆☆

    원심력 집진기 제거효율 변화는 100na100nb\frac {100-n_a} {100-n_b} = (QbQa)0.5(\frac {Q_b} {Q_a})^{0.5} 을 이용해 구할 수 있다. 유량 200m3/s200m^3/s일 때 효율이 60%이라면 유량 100m3/s100m^3/s일 때는 효율이 몇%인지 구하시오.

    문제이미지

    40

    직8딴_대기환경기사_계산형(151~200)

    ☆☆

    다음 조건을 이용해 흡수되는 규불산 양(kmol/h)을 구하시오.


    ∙가스배출량: 22,000Sm3/h22,000Sm^3/h  

    HFHF농도: 3,000ppm  

    SiF4SiF_4농도: 1,500ppm  

    ∙흡수율: 100%

    문제이미지

    41

    직8딴_대기환경기사_계산형(151~200)

    배가스 양이 500Sm3/h 이고, HClHCl800mL/Sm3800mL/Sm^3으로 배출되며 순환수의 pH는 7인 순환수 5m3를 이용하여 염화수소를 흡수시킬 때, 8시간 가동 후 순환수의 pH를 구하시오.(단, 염화수소는 물에 90%만 해리된다.)

    문제이미지

    42

    직8딴_대기환경기사_계산형(151~200)

    ☆☆☆

    굴뚝 배기량 1,000m3/h1,000m^3/h , HF농도 500ppm일 때 20m320m^3 물을 순환 사용하는 수세탑 설치해 5시간 운영 시 순환수 pH를 구하시오.(물 증발손실: 0, 제거율: 100%)

    문제이미지

    43

    직8딴_대기환경기사_계산형(151~200)

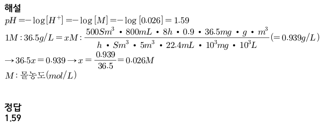
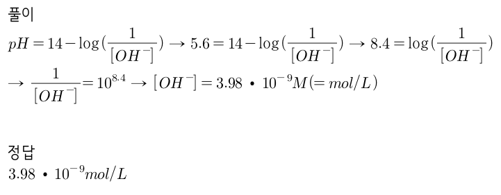
    빗물 pH 5.6일 때 빗물의 [OHOH^-]이온 농도(mol/L)를 구하시오.

    문제이미지

    44

    직8딴_대기환경기사_계산형(151~200)

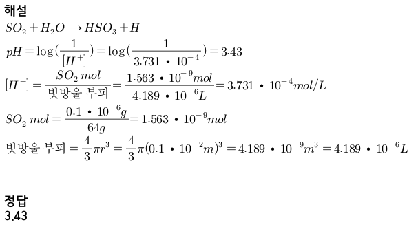
    구형인 산성비 빗방울 반경이 0.1cm이며, 빗물의 비중은 1g/cm3이다. SO2 0.1㎍이 빗물에 흡수되었다면 이 빗물의 pH를 구하시오.(단, SO2는 모두 HSO3와 반응하고 HSO3는 전량 해리된다.)

    문제이미지

    45

    직8딴_대기환경기사_계산형(151~200)

    ☆☆☆☆☆

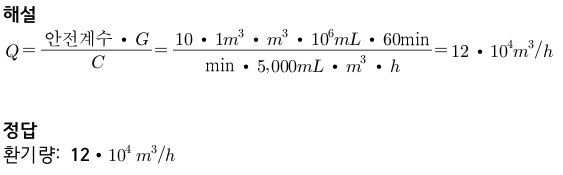
    오염가스 배출량 4,500m3/h4,500m^3/h이고, 오염가스 중 HF농도 45ppm이며 이를 수산화칼슘용액으로 침전제거하려고 할 때 5일 동안 사용한 수산화칼슘 양(kg)을 구하시오.(HF는 90% 물에 흡수, 하루 9시간 운전)

    문제이미지

    46

    직8딴_대기환경기사_계산형(151~200)

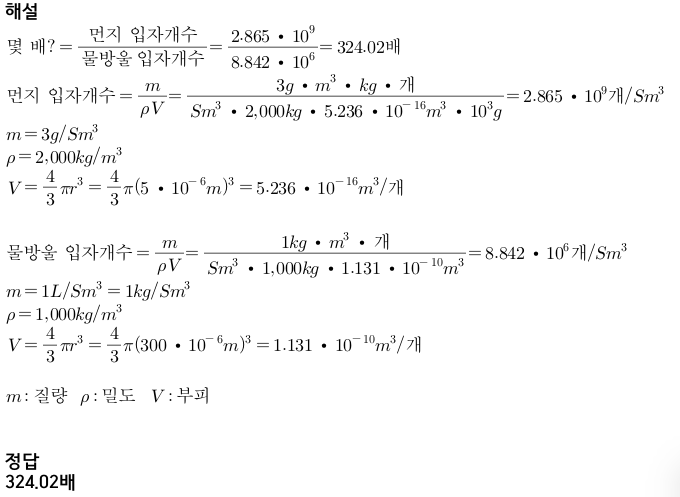
    액가스비 1L/Sm3인 세정집진기로 반경 5µm, 농도 3g/Sm3, 비중 2인 구형입자를 처리하려 한다. 물방울 반경 300µm일 때 먼지 입자개수는 물방울 입자개수의 몇 배인지 구하시오.

    문제이미지

    47

    직8딴_대기환경기사_계산형(151~200)

    ☆☆

    다음 조건을 이용해 물음에 답하시오.


    ∙직경: 5µm5µm  

    ∙질량: 1kg  

    ∙입자밀도: 1.5g/cm31.5g/cm^3


    1. 비표면적(m2/kgm^2/kg)

    2. 입자 개수(유효숫자 3자리)

    문제이미지

    48

    직8딴_대기환경기사_계산형(151~200)

    ☆☆

    밀도 1.4g/cm31.4g/cm^3 , 비표면적 4,500m2/kg4,500m^2/kg인 구형입자 직경이 2배가 될 때 비표면적(m2/kgm^2/kg)을 구하시오.

    문제이미지

    49

    직8딴_대기환경기사_계산형(151~200)

    입자의 밀도가 1.5g/cm3, 비표면적 5,000m2/kg일 때 동일한 조건에서 직경을 두 배로 하면 비표면적은 어떻게 되는지 쓰시오.

    문제이미지

    50

    직8딴_대기환경기사_계산형(151~200)

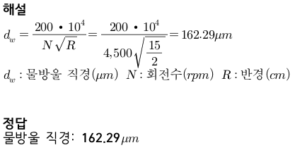
    ☆☆☆

    회전식 세정집진기에서 직경이 15cm인 회전판이 4,500rpm으로 회전할 때 형성되는 물방울 직경(µmµm)을 구하시오.

    문제이미지