모두CBT | 국가고시 실기시험 부시기!

직8딴_대기환경기사_계산형(51~100) 해설 페이지

직8딴_대기환경기사_계산형(51~100)

    1

    직8딴_대기환경기사_계산형(51~100)

    저위발열량 13,000kcal/kg인 중유의 이론 습연소가스량(Sm3/kgSm^3/kg)과 이론 공기량(Sm3/kgSm^3/kg)을 구하시오. (Rosin식 이용)

    문제이미지

    2

    직8딴_대기환경기사_계산형(51~100)

    ☆☆☆

    프로페인의 고위발열량이 20,000kcal/Sm3kcal/Sm^3일 때 저위발열량(kcal/Sm3kcal/Sm^3)을 구하시오.

    문제이미지

    3

    직8딴_대기환경기사_계산형(51~100)

    다음 조건을 이용해 물음에 답하시오.

    ∙1,000℃에서 100℃로 냉각하기 전 가스 유량: 200m3/minm^3/min

      ∙물 흡수열량: 600kcal/kg       ∙배출가스 밀도: 1.3kg/m3kg/m^3

      ∙1,000℃에서의 엔탈피: 280kcal/kg  ∙100℃에서의 엔탈피: 20kcal/kg



     1. 냉각을 위한 물의 필요량(kg/min)  2. 냉각 후 혼합가스 유량(m3/minm^3/min)

    문제이미지

    4

    직8딴_대기환경기사_계산형(51~100)

    기체연료인 에탄이 아래와 같이 반응할 때 저위발열량(kcal)을 구하고 르샤틀리에의 원리에 따라 열을 가하면 에탄의 농도는 증가하는지 감소하는지 쓰시오.


    ∙25℃, 1기압 기준            ∙에탄 엔탈피: -20.24kcal/mol

    ∙이산화탄소 엔탈피: -94.05kcal/mol    ∙물 엔탈피: -57.8kcal/mol


     1. 저위발열량(kcal)값을 쓰시오.  2. 르샤틀리에 원리에 따른 에탄 농도는 ( )한다.

    저위발열량이란 진발열량으로 연료를 연소시켰을 때 생성되는 열량이다.

    주어진 문제의 양론식은 다음과 같다.

    C2H6(g)+3.5O2(g)>2CO2(g)+3H2O(g)C_2H_6(g) + 3.5O_2(g) -> 2CO_2(g) + 3H_2O(g)

    연료가 가지고 있는 에너지와 생성물이 가진 에너지의 차이 값이 진발열량이다.

    진발열량=생성열-반응열이므로 (2∙94.05)+(3∙57.8)-20.24=341.26kcal/mol

    주어진 값에서 절댓값을 적용하는 이유는 물질의 입장에서 처음에 가지고 있던 에너지를 열

    에너지의 형태로 방출하는 것이므로 음의 부호로 표시하는 것이며 열량을 계산할 때에는 절

    댓값으로 계산한다. 에탄의 농도가 증가하는지 감소하는지는 정반응이 우세한가 역반응이 

    우세한가를 파악해야 한다. 이 반응의 경우 연소반응이기 때문에 발열반응이며 발열반응은 

    정반응이 우세하기 때문에 에탄의 농도는 감소한다고 볼 수 있다.



    정답

    1. 341.26kcal  2. 감소

    5

    직8딴_대기환경기사_계산형(51~100)

    생성물의 발열량 Hf(kcal/mol)△H_f(kcal/mol) 이 아래와 같다면, CH4(g),C12H16(l)CH_4(g), C_{12}H_{16}(l)CH4(g),C12H26(l) CH_4(g), C_{12}H_{26}(l)

    둘 중 어느 것이 절댓값으로 발열량이 더 낮은지 계산하고 선택하시오.

    문제이미지
    문제이미지

    6

    직8딴_대기환경기사_계산형(51~100)

    stoke 침강속도식을 유도하시오.

    문제이미지

    7

    직8딴_대기환경기사_계산형(51~100)

    ☆☆☆

    다음 조건을 이용하여 물음에 답하시오.

    문제이미지
    문제이미지

    8

    직8딴_대기환경기사_계산형(51~100)

    가스 점도 0.0005g/cm∙s, 먼지 입경 40µm, 밀도 1.5g/cm3g/cm^3 , 60,000L/min을 처리하는 중력집진기가 있다. 집진기 폭은 3m, 높이는 5m, 길이 6m일 때 입자의 침강속도(mm/s)와 집진률(%)을 구하시오. 단, 레이놀즈와 별개로 층류로 가정한다.

    입자 침강속도: 26.11mm/s 집진률: 47%

    문제이미지

    9

    직8딴_대기환경기사_계산형(51~100)

    ☆☆

    10um10um 분진의 침강속도가 0.6cm/s일 때 100um100um 분진을 중력집진기로 100% 처리한다면 침강실 길이는 몇m로 해야 되는지 구하시오.(중력집진기 침강실 높이: 10m, 유입속도: 5m/s, 층류상태)

    문제이미지

    10

    직8딴_대기환경기사_계산형(51~100)

    ☆☆☆

    40um40um 분진의 침강속도가 1m/s일 때 20um20um 분진을 중력 집진기로 100% 처리한다면 침강실 높이는 몇m로 해야 되는지 구하시오.(중력 집진기 침강실 길이: 8m, 유입속도: 2m/s, 층류상태)

    문제이미지

    11

    직8딴_대기환경기사_계산형(51~100)

    중력집진장치의 조건이 아래와 같을 때, 집진효율을 구하고 효율이 만약 90%라면 집진기의 길이를 몇m 증가시켜야 하는지 구하시오(단수: 1)

    문제이미지
    문제이미지

    12

    직8딴_대기환경기사_계산형(51~100)

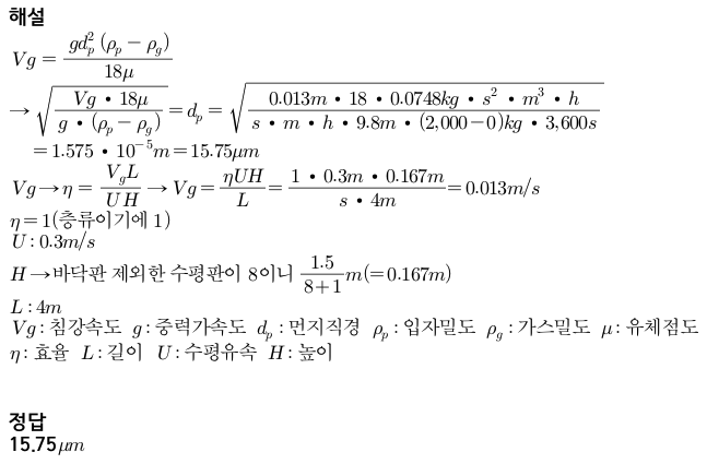
    중력집진장치가 바닥판을 제외한 수평판이 8개 설치되어 있고 길이 4m, 높이 1.5m이며 배출가스의 유속은 0.3m/sm/s 이며 밀도는 2.0g/cm3g/cm^3, 점도는 0.0748kg/mkg/m·hh, 침강실의 흐름은 층류이며 가스의 밀도는 무시한다. 먼지의 최소 입경(umum)을 구하시오.

    문제이미지

    13

    직8딴_대기환경기사_계산형(51~100)

    ☆☆☆

    다음 조건을 이용해 침강실 길이(m)를 구하시오.

    문제이미지

    침강실 길이: 4.3m

    문제이미지

    14

    직8딴_대기환경기사_계산형(51~100)

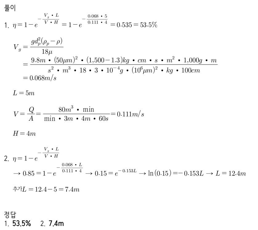
    다음 조건을 이용해 물음에 답하시오.


    ∙함진가스 유량: 80m3/min80m^3/min ∙침강실 폭: 3m∙침강실 높이: 4m

    ∙침강실 길이: 5m ∙입자 밀도: 1,500kg/m31,500kg/m^3 ∙입자 직경: 50um50um

    ∙점성도: 3 ‧104g/cm ‧s3 ‧10^-4g/cm ‧s



    1. 집진효율(%)

    2. 집진효율 85%가 되기 위한 추가 침강실 길이(m)

    문제이미지

    15

    직8딴_대기환경기사_계산형(51~100)

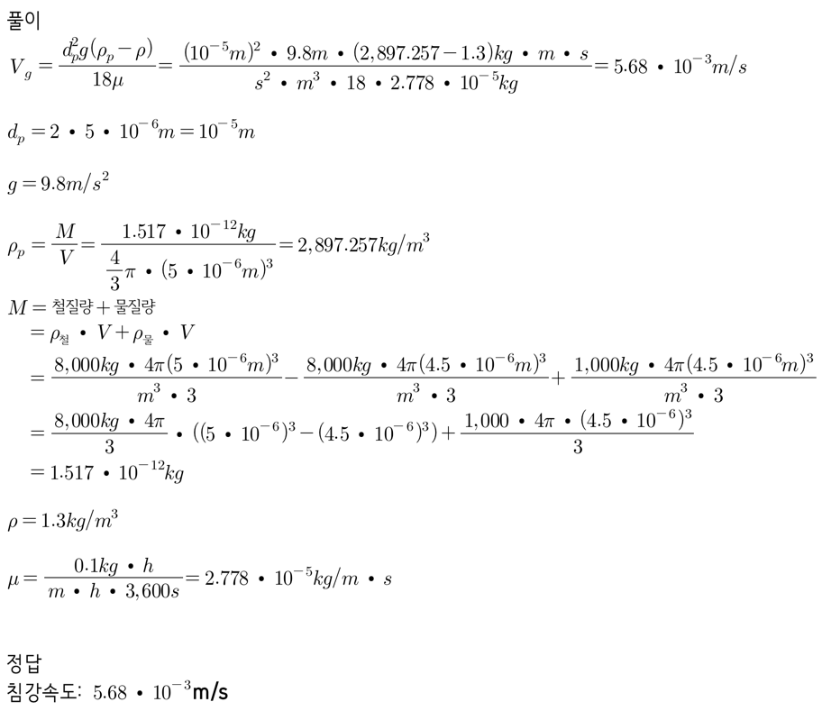
    다음 조건을 이용해 쇠구슬의 침강속도(m/s)를 구하시오.


    ∙쇠구슬 반경: 5um5um ∙쇠구슬 내부반경: 4.54.5μmμm(물로 채워짐)∙층류영역

    ∙쇠 밀도: 8,000kg/m38,000kg/m^3 ∙점도: 0.1kg/m∙h

    문제이미지

    16

    직8딴_대기환경기사_계산형(51~100)

    높이가 10m 되는 곳에 직경 100umum의 분진이 있다. 주변 풍속이 3m/s일 때, 이 분진은 이 지점으로부터 몇m 떨어진 곳으로 낙하하는지 구하시오. (단, 같은 종류의 10μm 분진의 침강속도는 0.45cm/s 이다.)

    문제이미지

    17

    직8딴_대기환경기사_계산형(51~100)

    다음 조건을 이용해 50μmμm 입자 100%처리하려할 때 침강실 길이(m)를 구하시오.


    ∙침강실 폭: 8m  ∙침강실 높이: 5m  ∙함진가스량: 15m3/s15m^3/s  ∙침강속도: 0.2m/s

    문제이미지

    18

    직8딴_대기환경기사_계산형(51~100)

    ☆☆

    다음 조건을 이용해 이론적 중력 집진기 길이(m)를 구하시오.


    ∙입자 직경: 60μm60μm

    ∙유속: 2m/s

    ∙침강속도: 0.15m/s

    ∙집진기 높이: 1.6m

    ∙제거율: 100%

    ∙층류영역

    문제이미지

    19

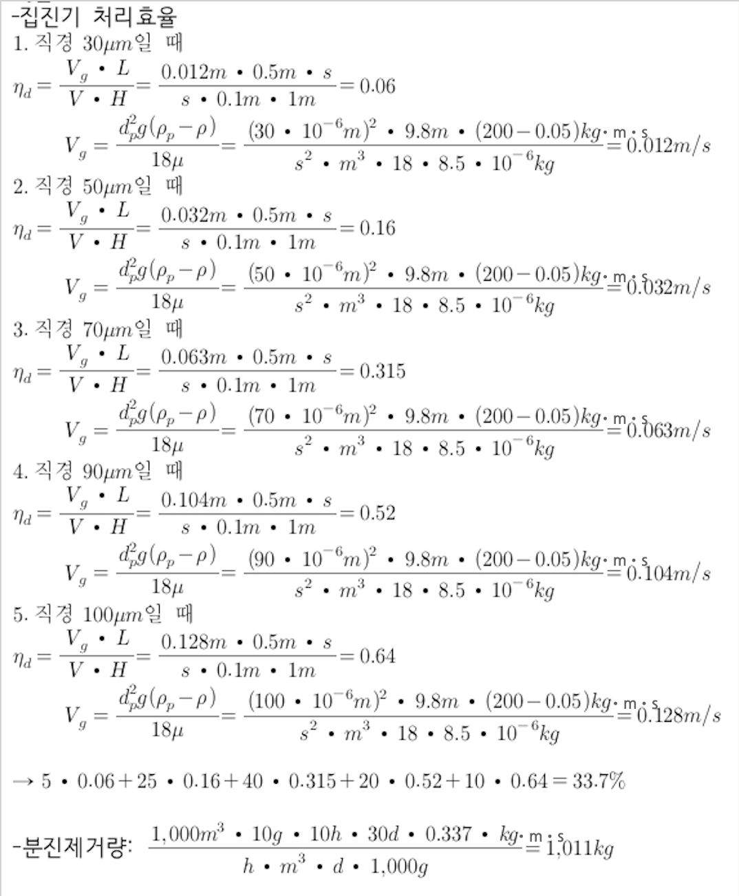
    직8딴_대기환경기사_계산형(51~100)

    1,000m3/h1,000m^3/h 분진(농도: 10g/m310g/m^3)을 배출하는 공장에서 중력집진기를 이용해 처리하려 한다. 입자 모양이 구형이라 가정 시 집진기 처리효율(%)과 분진제거량(kg)을 구하시오.

    문제이미지

    집진기 처리효율: 33.7% 분진제거량: 1,011kg

    문제이미지

    20

    직8딴_대기환경기사_계산형(51~100)

    빙정석(Na3AlF6Na_3AlF_6)에서 알루미늄 200kg/d을 추출하려 한다. 이때 불소를 제거하기 위해 불소제거 공정을 설치하는데 불소배출제한이 10ppm이라면 제거율을 최소 몇%로 해야되는지 쓰시오. (압력: 1atm, 배출가스량: 1,500Sm3/min1,500Sm^3/min, 온도 50°C)

    문제이미지

    21

    직8딴_대기환경기사_계산형(51~100)

    ☆☆☆☆☆☆

    처리가스 먼지농도 2,000mg/Sm32,000mg/Sm^3 인 것을 3개의 집진장치를 직렬로 연결해 처리하려 한다. 각각 집진률은 70%, 50%, 90%일 때 배출 먼지농도(mg/Sm3mg/Sm^3 )를 구하시오.

    문제이미지

    22

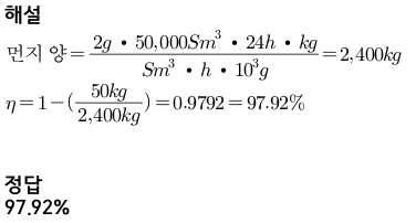
    직8딴_대기환경기사_계산형(51~100)

    집진장치로 유입되는 먼지농도가 2g/Sm32g/Sm^3이고 입구 가스량이 50,000m3/h50,000m^3/h, 출구에서 하루에 50kg의 먼지가 배출이 된다면 집진율은 얼마 이상이 되어야 하는가? (단, 집진장치는 하루 종일 가동한다. 주어진 조건 이외에 다른 것들은 무시한다.)

    문제이미지

    23

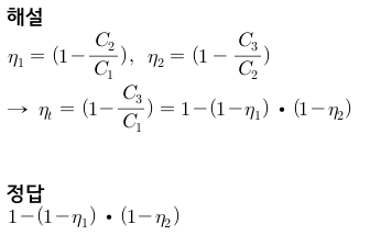
    직8딴_대기환경기사_계산형(51~100)

    직렬로 집진장치가 연결되어 있다. 다음 제시된 그림을 보고 총괄집진효율을 계산하시오. (계산과정에는 C1, C2, C3가 반드시 포함되어야 하며, 계산과정을 쓰시오.)

    문제이미지
    문제이미지

    24

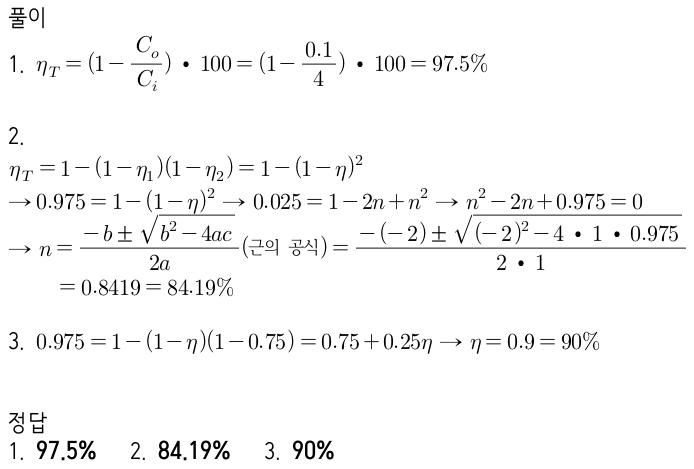
    직8딴_대기환경기사_계산형(51~100)

    ☆☆☆

    회사 발생가스 중 먼지농도 4g/m34g/m^3 이며 배출허용기준인 0.1g/m30.1g/m^3 에 맞춰 배출하려 할 때 다음 물음에 답하시오.


    1. 집진기 1개를 이용해 배출허용기준에 맞춰 배출하려할 시 집진기효율(%)

    2. 집진기 2개를 직렬연결해 배출허용기준에 맞춰 배출할 시 집진기효율(%)(집진기 2개 효율 같음)

    3. 집진기 2개를 직렬연결해 배출허용기준에 맞춰 배출하려할 시 2번째 집진기효율이 75%였다면 다른 집진기 효율(%)

    문제이미지

    25

    직8딴_대기환경기사_계산형(51~100)

    ☆☆☆☆☆☆☆☆☆

    20개 여과포를 사용한 여과집진기에서 집진율 85%, 입구 먼지농도 10g/Sm310g/Sm^3 이다. 가동 중 1개의 여과포에 구멍이 생겨 전체 처리가스량의 1/10이 그대로 통과되었다면 출구 먼지농도(g/Sm3g/Sm^3)를 구하시오.

    해설

    처리가스량 1/10이 그냥 통과되니 입구먼지농도의 1/10도 그냥 통과된다.

    그래서 여과포 처리된 것 + 그냥 통과된 것(=1g/Sm31g/Sm^3)이 출구 먼지농도이다.

    여과포 처리된 것은 9(1-0.85)=1.35g/Sm31.35g/Sm^3이다.

    그래서 출구 먼지농도는 1.35+1=2.35g/Sm31.35+1=2.35g/Sm^3 이다.


    정답

    출구 먼지농도: 2.35g/Sm3 2.35g/Sm^3

    26

    직8딴_대기환경기사_계산형(51~100)

    ☆☆

    사이클론에서 처리가스량에 대해 외기 유입이 없을 때 집진율 80%였다면 외기 5% 유입 발생 시 유출농도(g/m3g/m^3)를 구하시오.

    (먼지 통과율은 누입 없을 때의 2배, 유입농도: 50g/m350g/m^3)

    문제이미지

    27

    직8딴_대기환경기사_계산형(51~100)

    ☆☆

    분진을 제거하고 있는 공장에서 주어진 표 및 운전 조건을 보고 사이클론의 총 집진효율을 구하시오.

    효율 공식은 다음과 같이 정의 된다.

    문제이미지
    문제이미지

    28

    직8딴_대기환경기사_계산형(51~100)

    불소 허용기준이 10mg/m310mg/m^3인데 회사에서 불화규소(SiF4SiF_4)가 30ppm 배출되고 있다. 허용기준에 맞춰 배출하려면 불소 처리율을 얼마로 해야 되는지 구하시오.

    문제이미지

    29

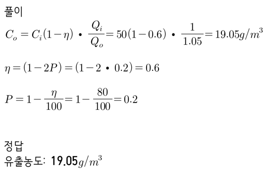
    직8딴_대기환경기사_계산형(51~100)

    ☆☆

    다음 조건을 이용해 2차 집진기의 집진효율(%)을 구하시오


    ∙입구 분진농도: 10g/m310g/m^3  ∙1차 집진기 집진효율: 90%  ∙출구 분진농도: 0.2g/m30.2g/m^3

    문제이미지

    30

    직8딴_대기환경기사_계산형(51~100)

    충전탑을 이용해 80ppm HClHCl을 처리하고자 한다. 충전탑 높이가 4m, 기상총괄이동단위높이가 1m일 때 유출 HClHCl농도(mg/m3mg/m^3)를 구하시오.

    문제이미지

    31

    직8딴_대기환경기사_계산형(51~100)


    ☆☆

    충전탑 설계를 위한 Pilot Plant를 만들어 측정가스 흡수한 결과가 다음과 같다. 처리율 98%가 된다면 충전탑의 높이(m)를 구하시오.


    ∙처리율: 75%

    ∙액가스비: 3L/m33L/m^3

    ∙공탑 속도: 1.5m/s

    ∙초기 충전층 높이: 1m

    ∙충전재: Berl Saddle

    문제이미지

    32

    직8딴_대기환경기사_계산형(51~100)

    충전탑을 사용해서 배출가스 중 HF를 NaOH 수용액과 향류 접촉시켜 흡수율 90%로 HF를 제거한다. 동일 조작 조건에서 흡수율을 95%로 향상시키기 위해서 이론적으로 충전탑의 높이를 몇 배로 하면 되는지 구하시오.(단, 이 경우 흡수액 상 HF의 평형분압은 없다고 가정)

    1.3배

    문제이미지

    33

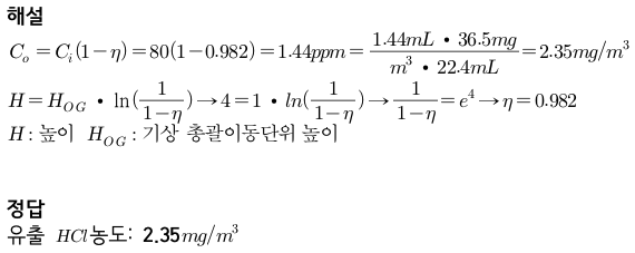
    직8딴_대기환경기사_계산형(51~100)

    염화수소를 함유하는 배가스를 충전탑으로 처리하고자 할 때, 기상총괄이동 단위 높이가 

    0.6m이고 충전탑 입구에서 염화수소 농도가 200ppm, 배출되는 염화수소 농도가 4ppm일 때 충전탑의 높이를 구하시오.

    문제이미지

    34

    직8딴_대기환경기사_계산형(51~100)

    ☆☆

    배출가스 온도 200°C, 표준산소농도 5%, 60mg/m360mg/m^3 배출허용기준을 갖는 X물질이 450mg/Sm3450mg/Sm^3, 실측 산소농도 10%로 배출된다. 배출허용기준을 만족시키기 위한 최저 집진효율(%)을 구하시오.

    문제이미지

    35

    직8딴_대기환경기사_계산형(51~100)

    다음 조건을 이용해 피토관에서의 유속(m/s)을 구하시오.


    ∙배기가스 온도: 150℃  

    ∙비중: 0.9  

    ∙액주거리: 7mm  

    ∙피토관 계수: 0.9  

    ∙밀도: 1.3kg/sm31.3kg/sm^3

    문제이미지

    36

    직8딴_대기환경기사_계산형(51~100)

    ☆☆

    다음 조건으로 유량(m3/minm^3/min)을 구하시오.


    ∙배기가스 온도: 120℃

    ∙동압: 15mmH2O15_{mm}H_2O

    ∙피토관 직경: 1.2m

    ∙피토관 계수: 0.85

    ∙정압: 10mmH2O10_{mm}H_2O

    ∙밀도: 1.3kg/sm31.3kg/sm^3

    문제이미지

    37

    직8딴_대기환경기사_계산형(51~100)

    ☆☆☆

    대기오염물질 입자상물질 농도를 측정하고자 흡습관법, 경사마노미터, 피토관, 건식가스미터를 이용해 다음 값을 얻었다. 물음에 답하시오.

    문제이미지
    문제이미지

    38

    직8딴_대기환경기사_계산형(51~100)

    공장 배출가스 자가측정 기록이다. 물음에 답하시오.(물 포화수증기압은 15mmHg)

    문제이미지
    문제이미지

    39

    직8딴_대기환경기사_계산형(51~100)

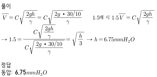
    피토관 경사마노미터 확대율이 10배, 동압이 30이다. 유속을 1.5배 증가시킬 때 동압(mmH2OmmH_2O)을 구하시오.

    문제이미지

    40

    직8딴_대기환경기사_계산형(51~100)

    ☆☆☆

    다음 조건으로 1시간 뒤 여과된 먼지층 두께(mm)를 구하시오.


    ∙여과면적: 1.5m21.5m^2

    ∙먼지농도: 2g/m32g/m^3

    ∙배기가스량: 100m3/min100m^3/min

    ∙처리율: 100%

    ∙집진 먼지층 밀도: 1g/cm31g/cm^3

    문제이미지

    41

    직8딴_대기환경기사_계산형(51~100)

    ☆☆☆☆☆☆☆☆

    백필터에서 먼지부하가 350g/m2350g/m^2일 때마다 부착먼지를 간헐적으로 탈락시키려 한다. 유입가스 중 먼지농도 10g/m310g/m^3이고, 겉보기 여과속도 1cm/s, 집진율 99%일 때 부착먼지 탈락시간 간격(=탈진주기) (분)를 구하시오.

    문제이미지

    42

    직8딴_대기환경기사_계산형(51~100)

    다음 조건을 이용해 분진을 완전히 제거할 수 있는 최소입경(μmμm)을 구하시오.

    ∙중력 침강실 길이: 5m

    ∙중력 침강실 높이: 2m

    ∙바닥 포함 평행판 개수: 8개

    ∙유속: 0.2m/s

    ∙입자 밀도: 1,600kg/m31,600kg/m^3

    ∙점도:2105kg/m ‧s2‧10^-5kg/m ‧s

    ∙층류상태

    문제이미지

    43

    직8딴_대기환경기사_계산형(51~100)

    ☆☆

    다음 조건을 이용해 분진을 완전히 제거할 수 있는 최소입경(μm)을 구하시오.


    ∙중력 침강실 길이: 10m

    ∙중력 침강실 높이: 2m

    ∙유속: 1.5m/s

    ∙입자 밀도: 1,600kg/m31,600kg/m^3

    ∙점도: 2 ‧105kg/m ‧s2 ‧ 10^-5kg/m ‧ s

    ∙층류상태

    문제이미지

    44

    직8딴_대기환경기사_계산형(51~100)

    다음 조건을 이용해 사이클론의 유효회전수를 구하시오.

    ∙유입구 높이: 0.5m

    ∙원통부 높이: 3m

    ∙원추부 높이: 1m

    ∙유출구 높이: 1.5m

    ∙집진기 폭: 5m

    문제이미지

    45

    직8딴_대기환경기사_계산형(51~100)

    ☆☆☆☆☆☆☆

    다음 조건을 이용해 물음에 답하시오.


    ∙원심력 집진기 직경: 1m

    ∙가스 처리량: 3m3/s3m^3/s (1atm, 300K 기준)

    ∙입자 밀도: 1.5g/cm31.5g/cm^3

    ∙점도: 1.85 ‧105kg/m ‧s1.85 ‧ 10^-5kg/m ‧ s

    ∙입구 높이: 0.5m

    ∙입구 폭: 0.25m

    ∙유효회전수: 5

    ∙공기 밀도: 1.3kg/m31.3kg/m^3


    1.유입속도(m/s)

    2.절단입경(μmμm)

    문제이미지

    46

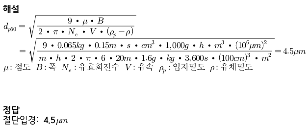
    직8딴_대기환경기사_계산형(51~100)

    ☆☆☆

    다음 조건을 이용해 절단입경(μmμm)을 구하시오.


    ∙유입구 폭: 0.15m  

    ∙원심분리기 유효회전수: 6

    ∙입자밀도: 1.6g/cm31.6g/cm^3

    ∙배기가스 유속: 20m/s

    ∙가스 점성도: 0.065kg/m∙h(300K 기준)

    ∙공기밀도 무시

    문제이미지

    47

    직8딴_대기환경기사_계산형(51~100)

    다음 조건에서 사이클론을 이용한 부분집진효율(%)을 구하시오.


    ∙유입 폭: 0.5m

    ∙유효회전수: 5회

    ∙입구유입속도: 10m/s

    ∙먼지 직경: 10μm10μm  

    ∙먼지 밀도: 1.5g/cm31.5g/cm^3

    ∙가스 점도: 1.8 ‧104g/cm ‧s1.8 ‧ 10^-4g/cm ‧ s

    ∙가스 밀도 고려 안 한다.

    문제이미지

    48

    직8딴_대기환경기사_계산형(51~100)

    ☆☆ 

    다음 조건으로 원심력 집진기를 이용해 분진 처리를 하려 한다. Lapple식을 이용해 총 집

    진효율(%)을 구하시오

    문제이미지
    문제이미지

    49

    직8딴_대기환경기사_계산형(51~100)

    ☆☆☆

    사이클론에서 가스 유입속도를 2배 증가시키고, 입구 폭을 2배로 늘리면 50% 효율로 집진되는 입자 직경, 즉 Lapple의 절단입경(dp50d_{p50})은 처음에 비해 어떻게 변화되는지 쓰시오.

    문제이미지

    50

    직8딴_대기환경기사_계산형(51~100)

    다음 조건으로 여과집진기에서 필요한 여과재 면적(m2m^2)를 구하시오.

    ∙유량: 4.72106cm3/s4.72 * 10^6 cm^3/s

    ∙공기여재비: 4:1


    문제이미지